还没有笔记
选中页面文字后点击「高亮」按钮添加
📜 [原文1]
继 Heston, Korajczyk, and Sadka (2010) 之后,我们在我们论文中使用的数据集上计算了订单不平衡、波动率和价差的日内时间序列。图 A. 6 是美国市场和中国市场中不同度量的 fVR 的箱线图。我们发现,在两个市场中,波动率和价差都存在显著的周期性,这与我们在 5.2.2 节中关于价格影响的结果以及波动率和价差的变动与交易量变动相关的事实(Heston, Korajczyk, and Sadka, 2010)相一致。然而,我们没有发现订单不平衡周期性的显著证据。我们关于这三种不同度量的结果都与 Heston, Korajczyk, and Sadka (2010) 的结果一致。
这段话是论文附录部分的一个引言,旨在通过分析除交易量之外的其他几个重要金融市场微观结构变量,来拓展和验证论文核心发现的稳健性。作者们明确指出,他们的研究方法和发现可以与领域内一篇重要的参考文献——Heston, Korajczyk, and Sadka (2010)——的结果进行对比和印证。
假设我们有一个波动率的日内时间序列,共有480个数据点(每分钟一个数据,共8小时)。我们计算其总方差为100。然后,我们使用论文中的模型,发现由“日内周期性成分”(如开盘、收盘、午间等特定频率)解释的方差为25。那么,频率方差比(fVR)就是 25 / 100 = 25%。如果一个完全随机的时间序列,其fVR接近于0(在本文模型中是0.2%)。一个高达25%的fVR值就表明波动率具有非常强的周期性。相比之下,如果订单不平衡的总方差也是100,但其周期性成分解释的方差只有0.5,那么fVR就是 0.5 / 100 = 0.5%,这个值非常接近基准,因此可以判断其周期性不显著。
假设在上午9:31这一分钟内,某只股票的交易情况如下:
这个正值表示在这一分钟内,买方力量稍强。研究人员会计算每一分钟的这个值,形成一个时间序列,然后分析这个序列是否存在周期性。作者的结论是,这个序列的波动看起来更像是随机的,没有像交易量那样固定的高低峰模式。
本段将论文的核心分析框架(fVR)应用到了交易量之外的三个关键金融变量上:订单不平衡、波动率和价差。研究发现,在美国和中国市场,波动率和价差都表现出与交易量类似的强日内周期性,而订单不平衡则没有显著的周期性模式。这些发现与领域内的经典文献结果一致,从而增强了论文结论的可靠性和普适性。
本段的存在有三个主要目的:
想象一个城市的交通状况。
想象你在观察一个蜂巢。
📜 [原文2]

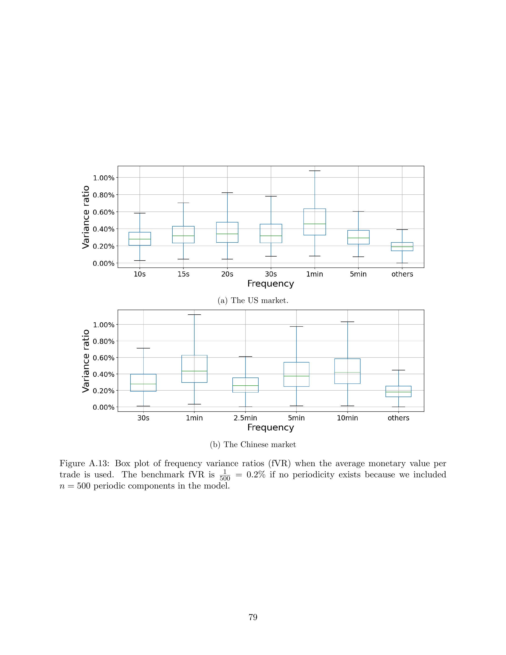
图 A.6:不同度量的频率方差比 (fVR) 的箱线图。如果没有周期性存在,基准 fVR 为 $\frac{1}{500}=0.2 \%$,因为我们在模型中包含了 $n=500$ 个周期性成分。
这部分是对图A.6的描述和解释。虽然我们无法直接看到图片,但可以通过文字描述来完全理解其内容和含义。
假设图A.6中,美国市场波动率的箱线图显示:
我们看到,即使是fVR最低的股票(1%),其值也远高于 0.2% 的基准。整个箱体都“悬浮”在基准线之上。这提供了强有力的视觉证据,表明波动率普遍存在显著的日内周期性。
假设图A.6中,中国市场订单不平衡的箱线图显示:
在这个假设的例子中,中位数 0.18% 非常接近甚至略低于 0.2% 的基准。箱子的下半部分完全低于基准线,上四分位数也仅仅比基准高出一点点。这表明,对于大多数股票而言,订单不平衡的周期性强度与随机噪声无法区分。
图A.6的说明文字提供了理解该图的关键信息。它是一个比较不同金融度量(订单不平衡、波动率、价差)周期性强度的箱线图,Y轴为频率方差比(fVR)。最关键的信息是提供了一个 0.2% 的“无周期性”基准线,该基准由模型中使用的周期性成分数量($n=500$)决定。通过比较各个度量的fVR分布与这个基准线的相对位置,可以直观地判断它们的周期性是否显著。
这部分文字的存在是为了服务于图A.6,使其能够自我解释。其目的如下:
想象一个才艺比赛,有500个评委($n=500$)。
想象你在用一个非常灵敏的收音机调频。
📜 [原文3]
作为稳健性检验,对于每只股票和每个交易日,我们将日内交易量数据在第 95 百分位数进行缩尾处理,以减少极端数据对 fVR 的影响。图 A.7 显示了缩尾处理后 fVRs 的箱线图。周期性保持稳健。在美国市场的 1 分钟和 30 秒频率以及中国市场的 10 分钟、5 分钟和 1 分钟频率下,上四分位数条略高于缩尾处理前。这一结果表明,由于极端数据带来的噪声减少,一些股票获得了更高的 fVRs。
这部分内容进行了一项稳健性检验 (Robustness Check),目的是验证论文之前关于交易量周期性的主要发现,是否会因为数据中的极端值(异常高的交易量)而产生偏差。
假设某股票某日,每10分钟的交易量数据如下(共6个数据点):
[100, 120, 90, 500, 110, 130]
可以看到,那个异常高的500被“拉回”到了与其他数据点相当的水平,而其他数据点保持不变。
假设一个简化的时间序列 V = [10, 100, 10, 100, 10, 1000]。这个序列有明显的“一低一高”的模式,但最后一个点1000是一个极端异常值。
本段通过对日内交易量数据进行95百分位数缩尾处理,进行了一项关键的稳健性检验。结果显示,在去除了极端高交易量值的影响后,原先发现的交易量周期性依然存在且稳健。更有趣的是,对于部分股票,去除这些被视为“噪声”的极端值后,其周期性强度指标fVR反而有所提升,这进一步确证了其内在周期性模式的真实性和强度。
想象一下你在听一场交响乐,但现场有一个小孩偶尔会尖叫一声。
想象你在看一幅画,画的是规律的海浪(周期性)。但是,有几滴非常大、非常黑的墨水不小心溅到了画布上(极端值)。
📜 [原文4]

图 A.7:2019-2021年所有股票的频率方差比 (fVR)——由选定频率解释的方差与去趋势时间序列总方差之比——的箱线图。对于每只股票和每个交易日,日内交易量序列在第 95 百分位数处进行截断。所有其他频率被归入“其他”类别。如果没有周期性存在,基准 fVR 为 $\frac{1}{500}=0.2 \%$,因为我们在模型中包含了 $n=500$ 个周期性成分。
这部分是对图A.7的详细说明。图A.7是上一段描述的稳健性检验结果的视觉呈现。
假设在美国市场1分钟频率下:
这个 0.5% 的微小提升,就对应了原文中“上四分位数条略高于缩尾处理前”的描述。这表明,在排名前25%的股票中,去除极端值后,其1分钟周期的信号变得更强了。
假设模型分析了500个频率,作者重点关注了5个频率:60分钟、30分钟、10分钟、5分钟、1分钟。
在图A.7中,就会有一个对应“其他”的箱线图,其分布反映了所有股票的这个 2%(以及类似计算出的值)的大小。通常“其他”类别的fVR会很低,说明大部分周期性由少数几个关键频率主导。
图A.7的文字说明详细定义了这个图的内容和目的。这是一个基于“缩尾”处理后的交易量数据生成的fVR箱线图,旨在检验论文核心发现的稳健性。说明中复述了fVR的定义、解释了频率的分组方式,并再次提供了0.2%的参考基准。这张图是论证论文结论不受极端值影响的关键证据。
想象你在给一群人拍照,要评估他们身高排列的“规律性”(周期性)。
想象一条平整的公路(去趋势后的时间序列),上面每隔一段距离就有一个减速带(周期性信号)。你要评估这些减速带设置的“规律程度”(fVR)。
📜 [原文5]
更普遍地,人们可以使用我们的框架来系统地研究 ETF 市场中的周期性,这留待未来的工作。
这句话是本节内容的一个简短收尾,同时起到了承上启下、展望未来的作用。
假设一个追踪沪深300指数的ETF。在A股市场,下午14:57是集合竞价决定收盘价的关键时刻。套利者可能会在这个时间点前后进行大量的ETF买卖和对应的一篮子股票的买卖,以锁定收盘价的套利机会。如果这种行为普遍存在,那么使用本文的框架去分析该ETF的交易量,就可能会在接近收-盘的3分钟或5分钟频率上,发现一个非常强的周期性尖峰,其fVR值会显著高于一天中其他时间。
著名的MSCI指数通常在每年的2月、5月、8月、11月的月底进行季度性调整。在调整生效日的当天,尤其是收盘前,所有追踪该指数的被动型基金(包括大量ETF)都必须执行交易,以匹配新的指数成分和权重。这会导致相关股票和ETF在这些特定日子的尾盘出现巨大的交易量。虽然这不是一个“日内”周期,但如果把研究的时间尺度扩展,本文的框架也可以用来识别这种“季度性”或“事件性”的周期行为。作者提到研究ETF,暗示了他们的框架可以被灵活运用于不同场景。
本句是一个结论性和前瞻性的陈述。它总结道,本文所建立的用于分析周期性的分析框架具有普适性,并特别指出,将此框架应用于研究ETF市场的日内交易模式是一个有价值且待探索的未来研究方向。
[直觉心-智模型]
想象你发明了一把非常精良的“瑞士军刀”(本文的分析框架)。
这番话既总结了工具的牛逼之处,又指明了其更高级的用途,提升了这把刀的价值。
想象你是一位天文学家,刚刚设计并建造了一台功能强大的新型望远镜(本文的分析框架)。
这个展望让听众对你的望远镜(研究框架)的未来潜力充满期待。
📜 [原文6]
我们遵循与第 4 节相同的方法论,通过分别用成交股数和成交金额替代交易笔数来估计强度系数。
这是附录G部分的开篇,旨在说明本节的研究目的和方法。本节将进行另一项重要的稳健性检验,核心是考察当交易量的定义改变时,论文的主要结论是否依然成立。
假设在上午10:00-10:01这一分钟内,发生了两笔交易:
在这一分钟内:
可以看到,一笔大单(交易2)使得成交股数和成交金额变得巨大,但交易笔数仍然很小。如果正文的周期性是由大量类似“交易1”这样的小笔交易驱动的,那么当换成用成交股数或成交金额来衡量时,周期性就可能被类似“交易2”这样的大单的随机出现所掩盖。
本段是附录G的引言,清晰地陈述了本节的研究任务:将论文正文(第4节)所使用的分析框架,应用到另外两种衡量交易量的指标——成交股数和成交金额上。此举的目的是检验论文关于交易笔数周期性的核心结论,在改变交易量的度量维度后是否依然成立。
想象你在分析一个超市的繁忙程度。
想象你在分析一条河流的水流情况。
📜 [原文7]
图 A.8 A.9 显示了所有股票中具有最强强度系数的前三个频率。与图 3 相比,我们可以观察到在选定频率上显示出周期性的股票数量显著减少。
这部分开始呈现使用新交易量度量(成交股数和成交金额)进行分析后的第一个核心结果,并通过与正文图3的对比来凸显差异。
假设我们分析“股票X”在2021年某一天的数据:
这种柱高的“显著减少”,直观地证明了当考量交易的实际“规模”时,周期性的普遍性大大降低了。
本段呈现了使用成交股数(图A.8)和成交金额(图A.9)作为交易量度量后的第一个关键发现。与使用交易笔数(图3)的结果相比,在这些新度量下,那些经典的日内周期(如30分钟、1分钟等)能排进各股票周期性强度前三名的“股票数量”出现了“显著减少”。这初步表明,交易笔数所揭示的强烈周期性,在很大程度上是一种“交易频率”或“决策频率”上的现象,而当切换到衡量交易“规模”的指标时,这种周期性的普遍性就大打折扣了。
继续用超市的例子:
继续用河流的例子:
📜 [原文8]

图 A.8:当使用成交股数时,2019-2021 年间所有股票中,就估计的强度系数而言,每个频率作为前三强频率出现的次数。

图 A.9:当使用成交金额时,2019-2021 年间所有股票中,就估计的强度系数而言,每个频率作为前三强频率出现的次数。
这部分是图A.8和图A.9的图注,对这两张图的内容进行了精确的描述。
这两个图注精确地定义了图A.8和图A.9的内容。它们分别基于成交股数和成交金额,展示了各个日内频率在多大程度上成为股票周期性强度“前三强”的统计结果。这些图是与基于交易笔数的图3进行对比的关键证据,用于论证当交易量的度量从“频率”转向“规模”时,周期性的普遍性会显著下降。
想象一个音乐排行榜。
想象你在分析不同类型文章在社交媒体上的传播力。
📜 [原文9]
此外,图 A.10 A.11 分别显示了成交股数和成交金额的 fVRs。在美国市场,所有选定频率的 fVRs 仅为 1-2% 左右,显著低于图 4 中的数值。同样,在中国市场,1 分钟和 5 分钟频率的平均 fVRs 从 10% 下降到约 3%,而 30 秒、2.5 分钟和 10 分钟频率的 fVRs 仅为 1-2% 左右。
这些结果意味着成交股数和成交金额的周期性弱于交易笔数。
这部分呈现了使用新交易量度量后的第二个核心结果,这次是从频率方差比 (fVR) 的角度进行分析,并直接给出了数值上的对比,最后得出了一个明确的结论。
想象你分析一只股票的日内交易。
本段通过对比fVR值,进一步强化了附录G的核心论点。分析显示,无论是美国还是中国市场,当交易量的度量从交易笔数转向成交股数或成交金额时,由关键日内周期所能解释的方差比例(fVR)都出现了显著的、数量级上的下降。这与之前关于强度系数的发现相辅相成,共同证明了成交股数和成交金额的周期性远弱于交易笔数。
继续用超市的例子:
继续用河流的例子:
📜 [原文10]

图 A.10:当使用成交股数时的频率方差比 (fVR) 箱线图。如果没有周期性存在,基准 fVR 为 $\frac{1}{500}=0.2 \%$,因为我们在模型中包含了 $n=500$ 个周期性成分。

图 A.11:当使用成交金额时的频率方差比 (fVR) 箱线图。如果没有周期性存在,基准 fVR 为 $\frac{1}{500}=0.2 \%$,因为我们在模型中包含了 $n=500$ 个周期性成分。
这部分是图A.10和图A.11的图注,对这两张呈现fVR结果的图表进行了说明。
这两个图注清晰地说明了图A.10和图A.11是分别基于成交股数和成交金额计算的fVR箱线图。它们通过重申0.2%的基准线,为读者提供了与论文其他fVR图进行比较的统一标准。这两张图是上一段文字论述的视觉化证据,旨在直观展示当交易量度量从交易笔数切换到交易“规模”时,周期性的强度(fVR)会发生大幅下降。
想象你在评估不同类型电视节目的“规律性”。
想象你在分析一个城市的用电量。
📜 [原文11]
这些结果意味着成交股数和成交金额的周期性弱于交易笔数。
这句话是前面所有关于成交股数和成交金额分析的最终结论。它是一个高度浓缩的判断,综合了图A.8, A.9, A.10, A.11所揭示的所有证据。
这句话的深层含义:
这个结论对理解日内周期性的来源至关重要。它强有力地暗示,我们在金融市场观察到的那种近乎普适的、强烈的日内周期性,主要是一种“行为频率”上的现象,而不是“资本流动规模”上的现象。
想象一只股票的一天:
这句话是附录G的点睛之笔。它基于前面详实的图表和数据分析,给出了一个简洁而深刻的结论:成交股数和成交金额这两个衡量交易“规模”的指标,其日内周期性强度,显著弱于衡量交易“频率”的交易笔数指标。
想象你在分析社交媒体上的“热度”。
想象你在分析一个城市的“交通活动”。
📜 [原文12]
最后,与图 5 和图 6 类似,图 A. 12 和图 A. 13 中关于每笔交易平均成交金额的结果也显示,该度量的周期性证据非常薄弱。
这部分是附录G的最后一项分析,引入了一个新的、衍生的交易量度量——“每笔交易平均成交金额”,并对其周期性进行了考察。
某股票在连续三分钟内的数据:
本段作为附录G的收尾,通过分析“每笔交易平均成交金额”这一新指标,对周期性问题进行了最后的探索。结果(体现在图A.12和A.13中)显示,这个衡量平均交易规模的指标,几乎没有任何显著的日内周期性。这进一步佐证了本节的核心观点:日内周期性主要体现在交易的“频率”(交易笔数)上,而不是交易的“规模”(无论是总规模还是平均规模)上。
继续用超市的例子:
继续用河流的例子:
📜 [原文13]

图 A.12:当使用每笔交易平均成交金额时,2019-2021 年间所有股票中,就估计的强度系数而言,每个频率作为前三强频率出现的次数。

图 A.13:当使用每笔交易平均成交金额时的频率方差比 (fVR) 箱线图。如果没有周期性存在,基准 fVR 为 $\frac{1}{500}=0.2 \%$,因为我们在模型中包含了 $n=500$ 个周期性成分。
这部分是图A.12和图A.13的图注,对这两张分析“每笔交易平均成交金额”的图表进行了说明。
这两个图注精确地描述了图A.12和A.13的内容,它们是附录G中最后一组分析的结果呈现。图A.12通过强度系数排名,图A.13通过fVR分布,共同展示了“每笔交易平均成交金额”这一指标几乎没有可辨识的日内周期性。这些图是“周期性证据非常薄弱”这一结论的直接视觉证据。
继续用社交媒体的例子:
继续用城市交通的例子:
📜 [原文14]
在 Ravenpack 数据集中,我们只能访问到 2012-2022 年美国市场和 2015-2022 年中国市场的 Ravenpack 新闻数据。Ravenpack 数据集中的每个样本都包含几列,包括一个毫秒级的时间戳和它所提及的公司。
这一段是附录H的引言,开始介绍一个全新的数据源——Ravenpack新闻数据,并描述其基本属性。附录H的整体目标是详细解释论文正文中可能使用到的“新闻数据”是如何被处理和构建的。这部分内容对于保证研究的可复现性至关重要。
| timestamp | company_name | event_type | relevance |
|---|---|---|---|
| 2021-10-26T13:30:05.456Z | Apple Inc. | earnings-announcement | 100 |
| 2021-10-26T14:02:10.128Z | Microsoft Corp | product-release | 95 |
在这个例子中,第一行数据告诉我们,在UTC时间2021年10月26日13:30:05.456,有一条关于“苹果公司”的“财报发布”类型的新闻,其相关度评分为100(最高)。
有了这样的数据,研究者就可以构建一个“新闻到达”的时间序列。例如,对于苹果公司(AAPL)这只股票,研究者可以统计在每个交易日内的每一分钟,有多少篇关于苹果公司的新闻被发布。
然后,就可以用本文的谱分析框架来研究这个“新闻频率”序列是否存在日内周期性。比如,公司发布新闻的时间是不是也有规律可循?(虽然这部分不是本附录的重点,但这是数据能做的事情)。
本段作为附录H的开场白,介绍了本节将要详细说明处理方法的“Ravenpack新闻数据”。它清晰地交代了该数据的来源、作者可访问的时间和市场范围,以及其核心的数据结构——包含毫秒级时间戳和所提及的公司信息。
想象你要研究“谣言”对一个学校学生情绪的影响。
想象你是一位需要分析实时军事情报的指挥官。
📜 [原文15]
为了找到与每只股票相关的已发布新闻文章数量,我们分别使用美国 Wharton Research Data Services 和中国 Wind 数据库提供的股票-公司对应表,通过公司名称将新闻文章与股票进行匹配 $\sqrt{35}$ 然而,这三个数据集中公司名称的确切格式不尽相同,因此我们使用以下流程对其进行处理。
这段话描述了整个数据处理任务的核心目标和面临的主要挑战,并预告了接下来的解决方案。
本段清晰地陈述了数据处理的核心任务(将新闻与股票匹配)和核心困难(三大数据源之间公司名称格式不统一)。为了解决这个困难,作者借助了WRDS和Wind这两个权威数据库作为桥梁,并预告了接下来将描述一套专门设计的名称处理与匹配流程。
想象你要给全校每个学生(用学号标识)派发他的个人快递。
想象你是一位历史学家,在整理大量古籍(Ravenpack新闻)。
📜 [原文16]
这部分详细列出了作者为解决“公司名称不匹配”问题而设计的五个具体步骤。这是一个典型的数据清洗和模糊匹配流程。
第一步:时间筛选
第二、三步:名称标准化 (Normalization)
第四步:计算相似度
第五步:基于阈值进行匹配
本节详细描述了一个五步法的数据处理流程,用于将包含非标准公司名称的Ravenpack新闻数据,准确地匹配到由股票代码标识的股票上。该流程包括:1. 按交易时间过滤新闻;2.和3. 对公司名称进行标准化处理;4. 使用Ratcliff/Obershelp模糊匹配算法计算名称相似度;5. 使用0.8的阈值做出最终匹配决策。这是一个严谨且在实践中常见的数据清洗与融合流程。
继续用发快递的例子:
你的“发快递流程”被细化为:
想象你在玩一个“连连看”游戏。
📜 [原文17]
基于此流程,我们为每只股票构建了已发布新闻文章数量的日内时间序列。表 A. 2 提供了每只股票文章总数的汇总统计信息。
[^23]表 A.2:每只股票文章总数的汇总统计。我们提供了全市场平均值以及文章数量最多的部分选定股票的统计数据。
| 均值 | 标准差 | 最小值 | 中位数 | 75% 分位数 | 最大值 | |
|---|---|---|---|---|---|---|
| 市场所有股票的平均值 | ||||||
| 美国市场 | 6657.52 | 17784.16 | 0 | 2452 | 5004 | 171863 |
| 中国市场 | 68.79 | 370.35 | 0 | 3 | 18 | 9309 |
| 美国市场文章数量最多的五只股票 | ||||||
| 股票代码 | 文章数量 | 公司名称 | ||||
| JPM | 171863 | 摩根大通公司 | ||||
| FB | 161156 | Facebook 公司 | ||||
| MSFT | 132853 | 微软公司 | ||||
| CMCSK | 124570 | 康卡斯特公司 | ||||
| TWTR | 121661 | 推特公司 | ||||
| 中国市场文章数量最多的五只股票 | ||||||
| 股票代码 | 文章数量 | 公司名称 | ||||
| 002415.SZSE | 9309 | 杭州海康威视数字技术股份有限公司 | ||||
| 000333.SZSE | 5017 | 美的集团股份有限公司 | ||||
| 300750.SZSE | 4489 | 宁德时代新能源科技股份有限公司 | ||||
| 000002.SZSE | 4029 | 万科企业股份有限公司 | ||||
| 000725.SZSE | 2826 | 京东方科技集团股份有限公司 |
这部分内容总结了前述数据处理流程的结果,并用一个汇总统计表(表A.2)来展示最终生成的新闻数据的基本特征和分布情况。
第一部分:总结陈述
第二部分:表A.2的详细解读
本节内容在总结了新闻数据处理流程的产出后,通过表A.2详细展示了最终获得的新闻数据集的汇总统计特征。表格揭示了两个关键信息:1) 新闻在美国和中国市场的分布极不均衡,美国的媒体覆盖密度远高于中国;2) 无论在哪个市场,新闻都高度集中在少数几家龙头公司上,呈现严重的右偏分布。这些信息为后续使用该数据进行研究提供了重要的背景认知。
想象你为全校学生建立了一个“社交媒体提及度”档案。
想象你是一位生物学家,在研究一片森林里不同种类的树木吸引鸟类筑巢的情况。
📜 [原文18]
稳健性检验。我们通过每日或每周构建 PmS 投资组合,以及基于几个股票层面特征构建双重排序投资组合,来检验 PmS 超额回报的稳健性。
对于每日 PmS 投资组合,我们首先使用 (9) 式评估每只股票 $s$ 在每日 $d$ 的周期性强度,然后根据它们每日的 peri ${ }_{s, d}$ 值将股票分为五个五分位数。PmS 投资组合买入 peri ${ }_{s, d}$ 值最高的顶层五分位数组的股票,并卖出 peri $i_{s, d}$ 值最低的底层五分位数组的股票。每周的 $\operatorname{PmS}$ 投资组合也以类似方式构建。为了与表 8 的结果保持一致,我们在表 A.3 中展示了每日和每周 PmS 投资组合的月度 alphas。正如预期的那样,如果我们更频繁地再平衡投资组合,我们会获得一致甚至更高的超额回报。然而,我们也强调,这些结果没有考虑交易成本,当投资组合更频繁地再平衡时,这一点尤其重要。由于卖空限制和 $T+1$ 规则,中国市场每日再平衡的高 alphas 在实践中也是不现实的。
这部分是附录I的开篇,旨在对论文正文中关于PmS投资组合能够产生超额回报的核心发现,进行一系列严格的稳健性检验。
第一部分:引言与检验方法概述
第二部分:关于改变再平衡频率的详细说明
第三部分:对高频再平衡结果的审慎讨论
本段描述了对PmS策略的第一个稳健性检验:改变再平衡频率。研究发现,将调仓频率从月度提高到每周、每日,策略的理论超额回报(alpha)会进一步增加。然而,作者也严谨地指出,这个发现在现实中受到交易成本的严重制约,并且由于卖空和T+1规则的限制,在中国市场尤其不具备可操作性。这体现了理论研究与投资实践之间的差距。
想象你在玩一个“猜天气”赚钱的游戏。
想象你是一名F1赛车手。
📜 [原文19]
此外,如 5.1.2 节所示,股票的 peri 值与算法交易水平和波动率正相关。知情的算法交易者导致了市场中的信息不对称,并影响股票回报 $\sqrt{ }$ 波动率也已知会影响预期股票回报。因此,PmS 投资组合的回报可能会与算法交易和波动率的回报效应相混淆 37 。
我们遵循 Fama and French (1993, 2015) 和 Amihud et al. (2015) 的方法,通过计算每个月每只股票在 5.1.2 节中定义的 mess、nvdmess、oddrat 和 vol 的值来构建双重排序投资组合。对于这些特征中的每一个,我们将股票预先分为三个投资组合,并在每个三分位数内,根据它们的 peri 值进一步将股票分为五个五分位数。因此,我们获得了 $3 \times 5=15$ 个投资组合,每个投资组合中的股票数量相等。因此,顶层(底层)peri 五分位数投资组合由选定特征的三个水平上的三个顶层(底层)投资组合组成。表 A. 4 展示了这些双重排序 PmS 投资组合的月度 alphas,在控制了这些预排序特征后,我们仍然获得了一致的超额回报。
这部分描述了对PmS策略的第二个,也是更重要的稳健性检验:双重排序 (double sort)。其目的是为了厘清PmS策略的超额回报究竟是来源于“周期性”这个新因子,还是仅仅因为它“搭便车”,混淆了其他已知因子的效果。
第一部分:提出问题——潜在的混淆效应
第二部分:解决方法——双重排序投资组合
组。
第三部分:检验结果
假设市场总共有300只股票。我们想控制波动率(vol)因子。
本段详细阐述了如何通过构建“双重排序投资组合”这一经典方法,来检验PmS策略的超额回报是否仅仅是对波动率或算法交易水平等已知效应的模仿。流程是先按控制变量(如波动率)将股票分组,再在各组内按周期性强度(peri)排序并构建多空投资组合。结果(将在表A.4中展示)表明,即使在控制了这些已知特征后,PmS策略依然能获得显著的超额回报。这强有力地证明了“周期性”是一个独立于已知因子的、新的alpha来源。
想象你要证明“爱运动的学生成绩更好”这个论点。
想象你要证明一种新的化肥(peri因子)能显著提高水稻产量(超额回报)。
[^24]表 A.3:按周期性强度 peri 排序的投资组合的月度 alphas,在不同再平衡频率下,并基于日回报回归控制不同资产定价因子。最后一列展示了周期性减平滑(PmS)投资组合,该投资组合买入/卖出顶层/底层五分位数组的股票。在美国市场(A、B、C 和 D 组),我们控制了 Fama-French 三因子(FF3)和五因子(FF5)、Carhart(1997)的动量因子,以及 Amihud et al. (2015) 的流动性风险因子(ImL)。在中国市场(E、F、G 和 H 组),我们控制了 Liu, Stambaugh, and Yuan (2019) 的市场、规模和价值因子(CH3),Liu, Stambaugh, and Yuan (2019) 的流动性风险因子(PmO),以及 Fama-French 的盈利能力(RmW)和投资(CmA)因子。估计的 alphas 在 1% ()、5% () 或 10% () 的水平上显著。
| 资产定价模型 | 顶层 | 第二层 | 中间层 | 第四层 | 底层 | PmS |
| :------------------------------------------- | :--------- | :-------- | :--------- | :--------- | :--------- | :--------- |
| A 组:美国市场;等权重投资组合;每日再平衡 | | | | | | |
| FF3 | 0.93\% | 0.20\% | -0.06\% | 0.13\% | -0.05\% | 0.97\% |
| FF5 | 0.93\% | 0.15\% | -0.14\% | 0.09\% | -0.14\% | 1.07\% |
| FF5 + momentum | 0.88\% | 0.11\% | -0.19\% | 0.03\% | -0.20\% | 1.08\% |
| FF5 + momentum + liquidity | 0.85\% | 0.07\% | -0.19\% | 0.05\% | -0.20\% | 1.05\% |
| B 组:美国市场;价值加权投资组合;每日再平衡 | | | | | | |
| FF3 | 1.80\% | 0.20\% | 0.29\% | 0.16\% | -0.50\% | 2.31\%* |
| FF5 | 1.70\% | 0.13\% | 0.15\% | 0.11\% | -0.54\% | 2.26\%* |
| FF5 + momentum | 1.70\%* | 0.14\% | 0.12\% | 0.09\% | -0.58\% | 2.29\%*** |
| FF5 + momentum + liquidity | 1.74\%* | 0.08\% | 0.18\% | 0.14\% | -0.56\% | 2.31\%*** |
| C 组:美国市场;等权重投资组合;每周再平衡 | | | | | | |
| FF3 | 0.60\%*** | 0.11\% | 0.36\% | 0.11\% | -0.02\% | 0.62\%* |
| FF5 | 0.59\%*** | 0.08\% | 0.28\% | 0.04\% | -0.08\% | 0.68\%* |
| FF5 + momentum | 0.57\%* | 0.05\% | 0.21\% | -0.02\% | -0.17\% | 0.74\% |
| FF5 + momentum + liquidity | 0.55\%* | 0.03\% | 0.19\% | -0.04\% | -0.14\% | 0.70\% |
| D 组:美国市场;价值加权投资组合;每周再平衡 | | | | | | |
| FF3 | 1.35\% | 0.43\% | 0.25\% | 0.23\% | -0.19\% | 1.54\%* |
| FF5 | 1.24\% | 0.37\% | 0.18\% | 0.13\% | -0.21\% | 1.45\% |
| FF5 + momentum | 1.23\% | 0.33\% | 0.17\% | 0.11\% | -0.20\% | 1.43\% |
| FF5 + momentum + liquidity | 1.24\% | 0.37\% | 0.14\% | 0.13\% | -0.13\% | 1.38\% |
| E 组:中国市场;等权重投资组合;每日再平衡 | | | | | | |
| CH3 | 18.30\% | 1.29\% | -3.89\% | -6.82\% | -8.24\% | 28.80\% |
| CH3 + liquidity (CH4) | 18.39\% | 1.28\% | -3.93\% | -6.86\% | -8.29\% | 28.96\% |
| CH4 + profitability + investment | 18.65\% | 1.41\% | -3.83\% | -6.79\% | -8.26\% | 29.20\% |
| F 组:中国市场;价值加权投资组合;每日再平衡 | | | | | | |
| CH3 | 12.45\% | 1.33\% | -2.96\% | -5.72\% | -7.46\% | 21.43\% |
| CH3 + liquidity (CH4) | 12.51\% | 1.34\% | -2.97\% | -5.76\% | -7.52\% | 21.56\% |
| CH4 + profitability + investment | 12.45\% | 1.20\% | -3.13\% | -5.84\% | -7.57\% | 21.57\% |
| G 组:中国市场;等权重投资组合;每周再平衡 | | | | | | |
| CH3 | 4.73\% | 1.67\% | -0.55\% | -2.48\% | -4.59\% | 9.74\% |
| CH3 + liquidity (CH4) | 4.81\% | 1.67\% | -0.58\% | -2.54\% | -4.65\% | 9.89\% |
| CH4 + profitability + investment | 5.03\% | 1.83\% | -0.50\% | -2.47\% | -4.63\% | 10.11\%* |
| H 组:中国市场;价值加权投资组合;每周再平衡 | | | | | | |
| CH3 | 4.44\% | 2.12\% | -0.06\% | -1.91\% | -4.09\% | 8.88\%*** |
| CH3 + liquidity (CH4) | 4.50\% | 2.12\% | -0.08\% | -1.96\% | -4.15\% | 9.00\%*** |
| CH4 + profitability + investment | 4.43\% | 2.03\% | -0.26\% | -2.06\% | -4.20\% | 8.99\%*** |
这部分是对表A.3的详细解读。这张表格是上一段文字描述的“改变再平衡频率”这一稳健性检验的核心结果展示。
第一部分:表格标题和说明解读
第二部分:表格数据解读与核心洞察
总体趋势:
具体组别分析:
表A.3是关于PmS策略的第一个稳健性检验——改变再平衡频率——的详细结果。表格通过展示不同市场、不同加权方式、不同再平衡频率下的多空投资组合alpha,强有力地证明了:1) peri因子对股票回报具有显著的、单调的预测能力;2) PmS策略能获得无法被主流资产定价模型解释的稳健超额回报;3) 这种超额回报在更高频的再平衡下会更高,尤其是在中国市场,尽管其可操作性存疑。
想象一个“识马比赛”。peri是你的“相马术”。
表 A.4:基于周期性强度 peri 的双重排序 PmS 投资组合的月度 alphas,基于日回报回归控制了不同的预排序特征和不同的资产定价因子。在美国市场(A 和 B 组),我们控制了 Fama-French 三因子(FF3)和五因子(FF5)、Carhart(1997)的动量因子,以及 Amihud et al. (2015) 的流动性风险因子(ImL)。在中国市场(C 和 D 组),我们控制了 Liu, Stambaugh, and Yuan (2019) 的市场、规模和价值因子(CH3),Liu, Stambaugh, and Yuan (2019) 的流动性风险因子(PmO),以及 Fama-French 的盈利能力(RmW)和投资(CmA)因子。估计的 alphas 在 1% ()、5% () 或 10% () 的水平上显著。
| 资产定价模型 | 预排序特征 | | | |
| :------------------------------- | :--------- | :-------- | :-------- | :-------- |
| | mess | nvdmess | oddrat | vol |
| A 组:美国市场;等权重投资组合 | | | | |
| FF3 | 0.33\% | 0.47\% | 0.72\%* | 0.33\% |
| FF5 | 0.31\% | 0.52\% | 0.78\%* | 0.44\% |
| FF5 + momentum | 0.40\% | 0.55\% | 0.84\%** | 0.45\% |
| FF5 + momentum + liquidity | 0.48\% | 0.56\% | 0.98\%** | 0.41\% |
| B 组:美国市场;价值加权投资组合 | | | | |
| FF3 | 0.69\% | 1.00\% | 1.07\% | 1.08\%* |
| FF5 | 0.60\%* | 1.00\% | 1.02\% | 1.12\%*** |
| FF5 + momentum | 0.63\% | 1.04\% | 1.04\% | 1.09\%* |
| FF5 + momentum + liquidity | 0.66\% | 1.08\% | 1.11\% | 1.07\% |
| C 组:中国市场;等权重投资组合 | | | | |
| CH3 | 2.23\% | 3.43\% | 4.38\% | 2.26\% |
| CH3 + liquidity (CH4) | 2.27\% | 3.54\% | 4.52\% | 2.32\% |
| CH4 + profitability + investment | 2.33\% | 3.72\% | 4.87\% | 2.44\% |
| D 组:中国市场;价值加权投资组合 | | | | |
| CH3 | 2.62\% | 3.17\% | 4.65\% | 2.42\% |
| CH3 + liquidity (CH4) | 2.66\% | 3.28\% | 4.81\% | 2.48\% |
| CH4 + profitability + investment | 2.72\% | 3.35\% | 5.20\% | 2.23\% |
这部分是对表A.4的详细解读。这张表格是“双重排序”这一关键稳健性检验的最终结果。
第一部分:表格标题和结构解读
第二部分:表格数据解读与核心洞察
核心结论:peri因子是独立的!
具体组别分析:
表A.4是双重排序稳健性检验的最终成绩单。它通过在构建PmS投资组合前,先对波动率、算法交易代理指标等进行控制,来检验peri因子的独立性。表格结果清晰地显示,无论是在美国还是中国市场,无论采用何种加权方式或资产定价模型,经过双重排序后的PmS策略依然能产生巨大且统计显著的月度alpha。这强有力地证明了“周期性强度”(peri)是一个独立于已知因子之外的、全新的、能够预测股票回报的因子。
继续用“爱运动的学生成绩更好”的例子。
📜 [原文20]
日内模式。为了理解 PmS alphas 是如何在日内实现的,我们通过将表 8 中的每日 $\operatorname{PmS}$ 投资组合回报替换为每个 3 秒日内窗口内的 $\operatorname{PmS}$ 投资组合回报,来进行资产定价回归。图 A. 14 显示了价值加权 $\operatorname{PmS}$ 投资组合的日内累积 alphas。大部分 $\operatorname{PmS}$ alphas 是在早晨实现的,尤其是在美国市场开盘后的前 90 分钟(中国为 60 分钟)内,而在当天剩余时间里则基本持平。这与一种解释相符,即 PmS 超额回报反映了交易具有更强交易量周期性的股票时,来自信息不对称和逆向选择的更高风险,因为与当天其余时间相比,开盘后的知情交易和价格发现水平往往更高,正如 Foster 和 Viswanathan (1993) 所记载的那样。
这部分内容转向了一个新的、非常有趣的角度:PmS策略的超额回报(alpha)是在一天的什么时间段产生的?通过探究alpha的“日内模式”,作者试图为这个alpha的来源提供更深层次的经济学解释。
第一部分:研究方法——从日度回归到日内回归
第二部分:核心发现——Alpha主要在早盘产生
第三部分:对发现的经济学解释
假设PmS策略的每日总alpha是0.1%。
本段通过一种创新的“日内回归”方法,探究了PmS策略alpha的来源时间。研究发现,绝大部分alpha都集中在开盘后的60-90分钟内产生,而在当天余下时间里几乎不再增长。作者将这一现象解释为:PmS策略的回报是对交易高信息不对称股票所承担的逆向选择风险的补偿,而这种风险在信息最密集的早盘时段达到顶峰。
想象你在一个鱼市上卖鱼。
📜 [原文21]

图 A.14:价值加权 PmS 投资组合的日内累积 alphas。开盘时(两个市场均为 09:30:00)的 alphas 是通过在表 8 的回归中将每日 $\operatorname{PmS}$ 投资组合回报替换为隔夜 PmS 投资组合回报来计算的。日内 alphas 是通过在表 8 的回归中将每日 PmS 投资组合回报替换为日内 3 秒回报来计算的。
这部分是对图A.14的详细说明,这张图是上一段文字论述的直接视觉证据。
第一部分:图表内容核心
第二部分:图表X轴与Y轴的特殊计算说明
第三部分:预期看到的图表形态
图A.14的图注详细说明了这张“日内累积alpha”图的构建方法。它通过一种新颖的方式,将策略的隔夜alpha和日内按3秒频率计算的alpha结合并累积起来,从而直观地展示了PmS策略的超额回报在一天内的产生过程。这张图是“alpha主要在早盘实现”这一核心发现的直接、量化的证据。
想象你参加一个24小时的黑客马拉松比赛,你的目标是解决一系列难题来得分(alpha)。
📜 [原文22]
图 A. 15 显示了等权重 PmS 投资组合的日内累积 alphas。与图 A.14 的模式类似,大部分 PmS alphas 是在早晨实现的。

图 A.15:等权重 PmS 投资组合的日内累积 alphas。开盘时(两个市场均为 09:30:00)的 alphas 是通过在表 8 的回归中将每日 $\operatorname{PmS}$ 投资组合回报替换为隔夜 PmS 投资组合回报来计算的。日内 alphas 是通过在表 8 的回归中将每日 PmS 投资组合回报替换为日内 3 秒回报来计算的。
这部分内容是对图A.15的介绍和描述,它是与图A.14平行的一项分析,唯一的区别在于投资组合的加权方式。
第一部分:核心发现与对比
第二部分:图A.15图注解读
第三部分:对比图A.14与图A.15可能产生的洞察
虽然原文只说了“模式类似”,但通过对比这两张图的细节,通常可以获得更多信息:
本段内容和图A.15的作用,是对“alpha在早盘实现”这一发现进行稳健性检验。通过将投资组合的构建方式从价值加权切换为等权重,作者发现alpha的日内累积模式保持不变,核心结论依然成立。这表明该现象具有普遍性,不依赖于特定的加权方法。
继续用黑客马拉松比赛的例子。
📜 [原文23]
周期性强度的稳定性。最后,表 A.5 显示了股票在五个分位数之间的转移概率。peri 最高/最低的顶层/底层五分位数组中的股票,有大约 50% 的机会在下个月停留在同一分位数组中。换言之,个股交易量周期性强度的相对排名随时间变化很快。这一发现也与 Chinco and Ye (2017) 的研究一致,他们记录了以交易量短期波动为主的股票会频繁地逐月变化。
这一结果与我们在第 5 节中的发现一致,即交易量的周期性
这部分内容探讨了peri因子(周期性强度)自身的一个重要时间序列属性:稳定性 (Persistence)。即,一只股票的周期性强度是长期不变的特性,还是一个短期、易变的现象?
第一部分:引入新问题和新分析
第二部分:核心发现——peri因子的不稳定性
第三部分:与文献的联系
第四部分:与正文发现的联系(被截断)
假设表A.5是这样的(简化为3个分位):
| 月 m | 月 m+1 | 高 peri | 中 peri | 低 peri |
|---|---|---|---|---|
| 高 peri | 60% | 30% | 10% | |
| 中 peri | 25% | 50% | 25% | |
| 低 peri | 10% | 35% | 55% |
本段通过分析转移概率矩阵(表A.5),揭示了peri因子一个非常重要的特性:不稳定性。研究发现,一只股票的周期性强度排名随时间变化很快,顶层和底层股票每月约有一半会发生变更。这一特性与peri因子反映的是动态、善变的算法交易行为的解释相符,也与相关文献的发现一致。
想象一个学校的“考试排名”。
表 A.5:股票在周期性强度五分位数之间的转移概率。矩阵中的每个条目($i, j$)代表一只股票在第 $m$ 个月处于第 $i$ 个五分位数,在下一个月移动到第 $j$ 个五分位数的概率。
(a) 美国市场
| 五分位数 | | 月$m+1$ | | | | |
| :------- | :----- | :-------- | :----- | :----- | :----- | :----- |
| | | 顶层 | 第二层 | 中间层 | 第四层 | 底层 |
| 月$m$ | 顶层 | 57.1\% | 24.4\% | 11.5\% | 5.5\% | 1.5\% |
| | 第二层 | 25.0\% | 32.4\% | 24.0\% | 14.1\% | 4.6\% |
| | 中间层 | 11.3\% | 24.0\% | 29.6\% | 24.7\% | 10.3\% |
| | 第四层 | 4.8\% | 14.4\% | 24.5\% | 33.2\% | 23.2\% |
| | 底层 | 1.9\% | 5.0\% | 10.9\% | 23.5\% | 58.7\% |
(b) 中国市场
| 五分位数 | | 月$m+1$ | | | | |
| :------- | :----- | :-------- | :----- | :----- | :----- | :----- |
| | | 顶层 | 第二层 | 中间层 | 第四层 | 底层 |
| 月$m$ | 顶层 | 49.1\% | 25.7\% | 13.6\% | 7.8\% | 3.8\% |
| | 第二层 | 25.5\% | 29.0\% | 23.1\% | 14.5\% | 7.9\% |
| | 中间层 | 13.9\% | 22.5\% | 26.4\% | 23.2\% | 14.0\% |
| | 第四层 | 7.7\% | 15.2\% | 22.9\% | 29.9\% | 24.2\% |
| | 底层 | 3.8\% | 7.7\% | 14.2\% | 24.8\% | 49.6\% |
反映了交易算法的行为,并且更强的周期性反映了在整数时间点交易中更多的信息含量。哪些股票包含更多的周期性交易并吸引更多来自算法交易者的交易量,这很可能是随时间动态变化的。因此,具有最强/最弱周期性的股票集合会逐月变化。具有最强周期性的股票逐月频繁更替的事实再次表明,我们的 PmS 因子可能反映了与传统风险因子不同的风险敞口,而传统风险因子通常以慢得多的速度更替。尽管如此,我们在表 8 和图 A.14 中的结果表明,它们确实带来了显著的超额回报。
这部分首先展示了表A.5的具体数据,然后对peri因子不稳定性的经济学含义进行了深入的阐释,并将其与论文的整体论点联系起来。
第一部分:表A.5数据解读
第二部分:对peri不稳定性进行经济学解释
第三部分:与传统风险因子的对比与总结
本段内容首先通过展示表A.5的转移概率矩阵,量化了peri因子在美国和中国市场都具有的“不稳定性”或“高换手率”特征。然后,将这一特征与peri因子反映的是动态的算法交易行为的解释联系起来,并深刻地指出,正是这种与传统慢变量因子完全不同的动态特性,使得PmS因子能够提供一种新的、独立的风险敞口和超额回报。最后,文章以一句强有力的总结收尾,重申了尽管该因子不稳定,但其产生超额回报的能力是真实而显著的。
想象你在投资“网红餐厅”。
本文件中没有出现独立的行间公式
1. fVR基准值公式:
* $fVR_{benchmark} = \frac{1}{500} = 0.2\%$
* 解释: 该公式定义了在没有任何真实周期性的情况下,由模型中的$n=500$个周期性成分所能解释的理论频率方差比(fVR)的基准值。
2. 双重排序投资组合数量公式:
* $3 \times 5 = 15$
* 解释: 该表达式计算了在双重排序过程中产生的投资组合总数,其中“3”代表按控制变量(如波动率)划分的三分位数,“5”代表在每个三分位数内再按peri值划分的五分位数。
[[END_OF_RESPONSE]]所有解释内容已全部输出完毕。