腔量子电动力学(QED)是一个研究领域,涉及把单原子耦合到少量光学模式这个重要的状态。实验上而言,通过把单原子放置在高品质光学腔内可以实现这一点,因为在腔内只存在一个或两个电磁模式,而其中的每一个模式都具有很高的电场强度。原子与场的偶极耦合极高。由于具有高品质因子 $Q$ ,腔中的光子在泄漏之前有机会与原子相互作用很多次。理论上而言,这个技术给控制与研究单量子系统提供了独到的机会,为量子混沌,量子反馈控制和量子计算都带来了新的机遇。
特别地,单原子腔量子电动力学方法为前一节所描述的光学量子计算机的两难困境提供了一个潜在的解决方案。单光子可以作为量子信息的优良载体,但它也需要其他媒介来实现相互作
用。由于传统的非线性光学克尔介质是块体材料,它不适合满足这个需求。但是,很好地被隔离开的单原子有望不遭受同样的退相干效应的损害,不仅如此,它还能提供光子间的交叉相位调制。实际上,如果单光子态能有效地传人单原子并导出,它们相互作用能得到控制吗?这个潜在的情形就是本节的主题。
腔 QED 系统的两个主要实验组分是电磁腔和原子。我们从描述腔模的基本物理开始,然后总结一下原子结构及原子与光相互作用的基本想法。
腔 QED 涉及的主要相互作用是偶极矩 $\vec{d}$ 与电场 $\vec{E}$ 之间的偶极相互作用 $\vec{d} \cdot \vec{E}$ 。这个相互作用能有多大呢?在实际中难以改变 $\vec{d}$ 的大小,但是 $\vec{E}$ 是实验上可调的,且为了在非常窄的频率带宽和很小的模式空间中实现非常大的电场,一个最重要的工具就是法布里-珀罗腔。
法布里-珀罗腔的基本元件是一个部分镀银的镜子,其中入射光 $E_{a}$ 与 $E_{b}$ 部分反射,部分透射,产生出射场 $E_{a^{\prime}}$ 与 $E_{b^{\prime}}$ 。这可以通过一个酉变换来描述:
$$ \left[\begin{array}{c} E_{a^{\prime}} \tag{7.53}\\ E_{b^{\prime}} \end{array}\right]=\left[\begin{array}{cc} \sqrt{R} & \sqrt{1-R} \\ \sqrt{1-R} & -\sqrt{R} \end{array}\right]\left[\begin{array}{l} E_{a} \\ E_{b} \end{array}\right] $$
其中 $R$ 是镜子反射率,而它前面的"负"号是为了方便起见约定的。

一个法布里-珀罗腔由两个平行的镜子构成,其反射率分别是 $R_{1}$ 和 $R_{2}, E_{m}$ 是从外部入射的光,如上图所示。在腔内,光在两面镜子之间来回反射,每个来回光场都积累一个相

$$ \begin{equation*} E_{\mathrm{cav}}=\sum_{k} E_{k}=\frac{\sqrt{1-R_{1}} E_{\mathrm{in}}}{1+\mathrm{e}^{\mathrm{i} \varphi} \sqrt{R_{1} R_{2}}} \tag{7.54} \end{equation*} $$
其中 $E_{0}=\sqrt{1-R_{1}} E_{\mathrm{in}}$ ,而 $E_{k}=-\mathrm{e}^{\mathrm{i} \varphi} \sqrt{R_{1} R_{2}} E_{k-1}$ 。类似地,我们发现 $E_{\text {out }}=\mathrm{e}^{\mathrm{i} \varphi / 2} \sqrt{1-R_{2}}$ ,
以及 $E_{\text {refl }}=\sqrt{R_{1}} E_{m}+\sqrt{1-R_{1}} \sqrt{R_{2}} \mathrm{e}^{\mathrm{i} \varphi} E_{\text {cav }}$ 。 对我们而言,法布里-珀罗腔最重要的特性之一是腔内场功率是入射光场功率与光场频率的函数,
$$ \begin{equation*} \frac{P_{\mathrm{cav}}}{P_{\mathrm{in}}}=\left|\frac{E_{\mathrm{cav}}}{E_{\mathrm{in}}}\right|^{2}=\frac{1-R_{1}}{\left|1+\mathrm{e}^{\mathrm{i} \varphi} \sqrt{R_{1} R_{2}}\right|^{2}} \tag{7.55} \end{equation*} $$
有两点值得一提。首先,频率选择性依赖于如下事实 $\varphi=\omega d / c$ ,其中 $d$ 是镜子间距,$c$ 是光速,$\omega$ 是光场频率。物理上而言,这是腔场与前表面的反射光干涉相加与相消的产物。其次,共振时腔场取最大值,大概是入射场的 $1 /(1-R)$ 倍。这一特性对于腔 QED 而言是极为宝贵的。
当电场取单频和单个空间模的近似时,它可以有一个非常简单的量子力学描述:
$$ \begin{equation*} \vec{E}(r)=\mathrm{i} \vec{\epsilon} E_{0}\left[a \mathrm{e}^{\mathrm{i} k r}-a^{\dagger} \mathrm{e}^{\mathrm{i} k r}\right] \tag{7.56} \end{equation*} $$
正如专题 7.5 所描述的那样,这个近似对于法布里-珀罗腔中的场是适当的。在这里,$k=\omega / c$ 是光的空间频率,$E_{0}$ 是电场强度,$\vec{\epsilon}$ 是电场极化,$r$ 是所描述的电场的位置。 $a$ 和 $a^{\dagger}$ 是模式中光子的湮灭与产生算子,它们的特性在 7.4.2 节描述过。注意,腔中场演化所遵循的哈密顿量是很简单的,
$$ \begin{equation*} H_{\text {field }}=\hbar \omega a^{\dagger} a \tag{7.57} \end{equation*} $$
这与能量是腔中 $|E|^{2}$ 的体积分的半经典描述是一致的。 习题 7.15 画出式(7.55)随场失谐量 $\varphi$ 的变化图,令 $R_{1}=R_{2}=0.9$ 。
直到本章的这一节,我们只讨论过光子,或者光子之间通过半经典媒介产生的交叉相位调制等相互作用。现在,让我们把注意力转向原子,它们的电子结构,以及它们与光子的相互作用。这当然是一个非常深刻且发展得很完善的研究领域,我们将只描述其中与量子计算有关联的一小部分内容。
原子的电子能量本征态可以是非常复杂的(如专题 7.6 所示),但对我们而言,考虑一个只有两个态的原子是个很好的近似。这个二能级原子近似是可靠的,因为我们关注的是其与单频光场的相互作用,且在此情况下,有关的能级必须满足两个条件:它们的能级差与人射光子的能量匹配,以及对称性("选择定则")不禁止跃迁。这两个条件产生于基本的能量,角动量与宇称守恒定律。能量守恒的条件是
$$ \begin{equation*} \hbar \omega=E_{2}-E_{1} \tag{7.58} \end{equation*} $$
其中 $E_{2}$ 与 $E_{1}$ 是原子的两个本征能量。角动量与宇称守恒的要求可以通过考虑 $\vec{r}$ 两个轨道波函数的矩阵元 $\left\langle l_{1}, m_{1}\right| \hat{r}\left|l_{2}, m_{2}\right\rangle$ 加以说明。不失一般性,我们选取 $\hat{r}$ 处于 $\hat{x}-\hat{y}$ 平面,于是它可以通
过球谐函数(专题 7.6 )表示:
$$ \begin{equation*} \hat{r}=\sqrt{\frac{3}{8 \pi}}\left[\left(-r_{x}+\mathrm{i} r_{y}\right) Y_{1,+1}+\left(r_{x}+\mathrm{i} r_{y}\right) Y_{1,-1}\right] \tag{7.59} \end{equation*} $$
在此基下,$\left\langle l, m_{1}\right| \hat{r}\left|l, m_{2}\right\rangle$ 中相关的项为
$$ \begin{equation*} \int Y_{l_{1} m_{1}}^{*} Y_{l m} Y_{l_{2} m_{2}} \mathrm{~d} \Omega \tag{7.60} \end{equation*} $$
其中有 $m= \pm 1$ ;此积分当且仅当 $m_{2}-m_{1}= \pm 1$ 且 $\Delta l= \pm 1$ 时不为零。第一个条件是角动量守恒,而第二个宇称守恒条件,在偶极近似下 $\left\langle l_{1}, m_{1}\right| \hat{r}\left|l_{2}, m_{2}\right\rangle$ 才有意义。这些条件就是对二能级原子近似很重要的选择定则。
原子的电子就像一个三维盒子中的粒子那样运动,其哈密顿的形式为
$$ \begin{equation*} H_{A}=\sum_{k} \frac{\left|\vec{p}_{k}\right|^{2}}{2 m}-\frac{Z e^{2}}{r_{k}}+H_{\mathrm{rel}}+H_{\mathrm{ee}}+H_{\mathrm{so}}+H_{\mathrm{hf}} \tag{7.61} \end{equation*} $$
其中头两项描述了电子动能跟负电电子与正电原子核之间的库仑吸引能相互平衡,$H_{\mathrm{rel}}$ 是相对论修正项,$H_{\mathrm{ee}}$ 描述了电子-电子相互作用,以及电子的费米特性带来的贡献,$H_{\mathrm{so}}$ 是自旋轨道耦合,它可以被解释为电子的自旋与其绕原子旋转产生的磁场之间的相互作用,而 $H_{\mathrm{hf}}$是精细相互作用:电子自旋与原子核产生的磁场之间的相互作用。 $H_{A}$ 的能量本征态已经通过 3 个整数或半整数(量子数)得以很好地分类:$n$ ,主量子数;$l$ ,轨道角动量;以及 $m$ ,轨道角动量的 $\hat{z}$ 分量。此外,电子的总自旋 $S$ 及核自旋 $I$ 通常都很重要。 $H_{A}$ 的本征值大致由 $\alpha^{2}$ 除以 $n$ 决定,$H_{\mathrm{ee}}$ 的量级稍小些,$H_{\mathrm{ref}}$ 与 $H_{\mathrm{so}}$ 为 $\alpha^{4}$ 级,而 $H_{\mathrm{hf}} \approx 10^{-3} \alpha^{4}$ 级,其中的 $\alpha=1 / 137$ 是无量纲的精细结构常数。
对 $n$ 的推导是很简单的,参照粒子在一维盒子中的薛定㗄方程即可,因为库仑囚禁势只与空间距离有关系。尽管如此,轨道角动量是三维中出现的特性,值得进一步解释。此基本特性源自 $H_{A}$ 坐标表示对角度的依赖,其中 $\hat{p}$ 变为拉普拉斯算子 $\vec{\nabla}^{2}$ ,薛定㗄方程即为
$$ \begin{equation*} \frac{\Phi(\varphi)}{\sin \theta} \frac{\mathrm{d}}{\mathrm{~d} \theta}\left(\sin \theta \frac{\mathrm{~d} \Theta}{\mathrm{~d} \theta}\right)+\frac{\Theta(\theta)}{\sin {}^{2} \theta} \frac{\mathrm{~d}^{2} \Phi(\varphi)}{\mathrm{d} \varphi^{2}}+l(l+1) \Theta(\theta) \Phi(\varphi)=0 \tag{7.62} \end{equation*} $$
其中 $\theta$ 和 $\varphi$ 是通常的球坐标,而 $\Phi$ 与 $\Theta$ 是我们要的本征方程。解 $Y_{l m}(\theta, \varphi)=\Theta_{l m}(\theta) \Phi_{m}(\varphi)$是球谐函数
$$ \begin{equation*} Y_{l m}(\theta, \varphi) \equiv(-1)^{m} \sqrt{\frac{2 l+1}{4 \pi} \frac{(l-m)!}{(l+m)!}} P_{l m}(\cos \theta) \mathrm{e}^{\mathrm{i} m \varphi} \tag{7.63} \end{equation*} $$
其中 $P_{l m}$ 是通常的勒让德方程
$$ \begin{equation*} P_{l m}(x)=\frac{\left(1-x^{2}\right)^{m / 2}}{2^{l} l!} \frac{\mathrm{d}^{m+l}}{\mathrm{~d} x^{m+l}}\left(x^{2}-1\right)^{l} \tag{7.64} \end{equation*} $$
在这些方程中,$-l \leqslant m \leqslant l$ ,且可证明 $m$ 与 $l$ 必须为整数或半整数。 $l$ 是轨道角动量,$m$ 是它在 $\hat{z}$ 轴的分量。类似地,电子自旋 $S$ 与核自旋 $I$ 也有分量 $m_{s}$ 与 $m_{i}$ 。如你所见,原子的能态描述是非常复杂的!小结一下:为了需要起见,我们可认为原子的本征能量由七个数决定:$n, l, m, S, m_{s}, I$ 和 $m_{i}$ 。
习题 7.16 (电偶极选择定则)证明式(7.60)只有当 $m_{2}-m_{1}= \pm 1$ 和 $\Delta l= \pm 1$ 时才不为零。 实际上,光不可能是完美单频的,它由一些诸如激光的光源产生,其纵模,泵浦噪声及别的根源导致有限线宽的出现。同样的,一个与外部世界耦合的原子不可能具有完美定义的本征态。微小的扰动,如附近的电势场起伏,乃至与真空的耦合,导致了每个能级都被抹掉,成为一个有限宽的分布。
尽管如此,通过谨慎地选择原子与激发能量,以及利用选择定则,可以达成让二能级原子近似完美成立的条件。这个过程的总的观念是在此近似下,如果 $\left|\psi_{1}\right\rangle$ 和 $\left.\psi_{2}\right\rangle$ 是两个被挑选出来的能级,那么 $\hat{r}$ 的矩阵元为
$$ \begin{equation*} r_{i j}=\left\langle\psi_{i}\right| \hat{r}\left|\psi_{j}\right\rangle \approx r_{0} Y \tag{7.65} \end{equation*} $$
其中 $r_{0}$ 是某常量,$Y$ 是泡利算子(见2.1.3 节,我们选取 $Y$ 而不是 $X$ ,这并不重要,仅仅是遵照传统与为了以后计算的方便起见)。这将跟描述原子与人射电场的相互作用有关。在这个二能级子空间中,原子自身的哈密顿量是很简单的,
$$ \begin{equation*} H_{\mathrm{atom}}=\frac{\hbar \omega_{0}}{2} Z \tag{7.66} \end{equation*} $$
这里的 $\hbar \omega_{0}$ 是两能级的能量差,因为两个态都是能量本征态。
利用腔中场的量子化,以及电子相对腔场波长微不足道的尺度,原子与腔中束缚电场的 $\vec{d} \cdot \vec{E}$相互作用在原子的二能级近似中,可以很好地被近似为一个极为简化的模型。利用 $\vec{d} \propto \hat{r}$(电偶极矩等于电荷乘以距离),我们可以综合式(7.56)与式(7.65)得到相互作用哈密顿量
$$ \begin{equation*} H_{I}=-\mathrm{i} g Y\left(a-a^{\dagger}\right) \tag{7.67} \end{equation*} $$
其中我们选取放置原子的位置 $r=0$(以此来估算 $\vec{E}$ ),调整原子的朝向使得 $\hat{r}$ 相对电场矢量的指向合适。 $g$ 是一个常数(这里我们不需要考虑具体的数值,只需考虑形式即可),用于描述相互作用的强度。而 i 的出现仅仅为了让 $g$ 取实数,因为 $H_{I}$ 必须是厄米的。 $H_{I}$ 可以被进一步简化,
考虑到它包含一些通常非常小的量。为了看到这一点,定义泡利上升与下降算子是很有益的,
$$ \begin{equation*} \sigma_{ \pm}=\frac{X \pm \mathrm{i} Y}{2} \tag{7.68} \end{equation*} $$
于是我们可以把 $H_{I}$ 重新表述为
$$ \begin{equation*} H_{I}=g\left(\sigma_{+}-\sigma_{-}\right)\left(a-a^{\dagger}\right) \tag{7.69} \end{equation*} $$
包含 $\sigma_{+} a^{\dagger}$ 和 $\sigma_{-} a$ 的项具有两倍的特征频率 $\omega$ 和 $\omega_{0}$ ,舍弃这些项是一个很好的近似(旋波近似),于是我们可得整体哈密顿量 $H=H_{\text {atom }}+H_{\text {field }}+H_{I}$ ,
$$ \begin{equation*} H=\frac{\hbar \omega_{0}}{2} Z+\hbar \omega a^{\dagger} a+g\left(a^{\dagger} \sigma_{-}+a \sigma_{+}\right) \tag{7.70} \end{equation*} $$
其中再一次概括一下:泡利算子作用在二能级原子上,$a^{\dagger}, a$ 是单模场的产生与湮灭算子,$\omega$ 是场的频率,$\omega_{0}$ 是原子的频率,而 $g$ 是原子与场之间的耦合常数。这是研究腔 QED 的基础理论工具,Jaynes-Cummings 哈密顿量,它描述了二能级原子与电磁场之间的相互作用。
考虑到 $N=a^{\dagger} a+Z / 2$ 是运动的常量,这个哈密顿量可以写为另外一个简便的形式,于是我们有
$$ \begin{equation*} H=\hbar \omega N+\delta Z+g\left(a^{\dagger} \sigma_{-}+a \sigma_{+}\right) \tag{7.71} \end{equation*} $$
其中 $\delta=\left(\omega_{0}-\omega\right) / 2$ 被称为失谐量——场与原子共振频率之差。这个哈密顿量,Jaynes-Cummings哈密顿量,是非常重要的,我们将会用本章几乎所有剩余的部分来研究其性质,以及在不同物理系统中的体现。
习题 7.17 (Jaynes-Cummings 哈密顿量的本征态)证明
$$ \begin{align*} & \left|\chi_{n}\right\rangle=\frac{1}{\sqrt{2}}[|n, 1\rangle+|n+1,0\rangle] \tag{7.72}\\ & \left|\bar{\chi}_{n}\right\rangle=\frac{1}{\sqrt{2}}[|n, 1\rangle-|n+1,0\rangle] \tag{7.73} \end{align*} $$
当 $\omega=\delta=0$ 时,是 Jaynes-Cummings 哈密顿量(式(7.71))的本征态,其本征值为
$$ \begin{align*} & H\left|\chi_{n}\right\rangle=g \sqrt{n+1}\left|\chi_{n}\right\rangle \tag{7.74}\\ & H\left|\bar{\chi}_{n}\right\rangle=-g \sqrt{n+1}\left|\bar{\chi}_{n}\right\rangle \tag{7.75} \end{align*} $$
其中在右矢中的标记为 $\mid$ field,atom $\rangle$ 。
对我们的目的而言,腔 QED 中最有趣的区域是其中单光子与单原子相互作用。这是一个不寻常的区域,在其中传统经典电磁理论的观念(比如说折射率和介电常数)失效了。特別地,我
们将用单个原子实现光子之间的非线性相互作用。
$$ H=-\left[\begin{array}{ccc} \delta & 0 & 0 \tag{7.76}\\ 0 & \delta & g \\ 0 & g & -\delta \end{array}\right] $$
(从左到右及从上到下的基为 $|00\rangle,|01\rangle,|10\rangle$ ,其中左边的标记对应场,而右边的对应原子),我们发现
$$ \begin{align*} & U=\mathrm{e}^{-\mathrm{i} \delta t}|00\rangle\langle 00| \\ &+\left(\cos \Omega t+\mathrm{i} \frac{\delta}{\Omega} \sin \Omega t\right)|01\rangle\langle 01| \\ &+\left(\cos \Omega t-\mathrm{i} \frac{\delta}{\Omega} \sin \Omega t\right)|10\rangle\langle 10| \tag{7.77}\\ &-\mathrm{i} \frac{g}{\Omega} \sin \Omega t(|01\rangle\langle 10|+|10\rangle\langle 01|) \end{align*} $$
相互作用行为体现在此方程的最后一行,它表现了原子与场之间以拉比频率 $\Omega=\sqrt{g^{2}+\delta^{2}}$ 来回振荡交换一个能量量子。
习题 7.18 (拉比振荡)利用
$$ \begin{equation*} \mathrm{e}^{\mathrm{i} \vec{n} \cdot \vec{\sigma}}=\sin |n|+\mathrm{i} \hat{n} \cdot \vec{\sigma} \cos |n| \tag{7.78} \end{equation*} $$
对 $H$ 取幂,证明式(7.77)的正确性。这是一个对拉比振荡与拉比频率非常简单的推导。通常,人们通过求解耦合的微分方程组得到 $\Omega$ ,但这里我们仅仅专注于单原子,单光子子空间,获得本质的运动!
变换与单原子相互作用的光子,可以通过对原子态取迹而获得(2.4.3节)。初始时一个光子 |1 被原子(我们假设其初始时处于基态)吸收的概率为
$$ \begin{equation*} \left.\chi_{r}=\sum_{k}|\langle 0 k| U| 10\right\rangle\left.\right|^{2}=\frac{g^{2}}{g^{2}+\delta^{2}} \sin {}^{2} \Omega t \tag{7.79} \end{equation*} $$
这是一个通常的吸收的洛伦兹线型,是相对共振失谐量 $\delta$ 的函数。 (单原子的)折射率由 $U$ 的矩阵元给出,其中原子处于基态。光子感受到的相移是在对原子求迹之后,场 $|1\rangle$ 与 $|0\rangle$ 态经历的相位移动之差。人们发现其为
$$ \begin{equation*} \chi_{i}=\arg \left[\mathrm{e}^{\mathrm{i} \delta t}\left(\cos \Omega t-\mathrm{i} \frac{\delta}{\Omega} \sin \Omega t\right)\right] \tag{7.80} \end{equation*} $$
对于固定的非零 $\delta$ ,随着耦合 $g$ 的降低,吸收概率 $\chi_{r}$ 与 $g^{2}$ 同步降低,但是相移 $\chi_{i}$ 近乎为常数。这是能实现相移却不散射很多光的材料的根源。
习题7.19(洛伦兹吸收线性)当 $t=1$ 和 $g=1.2$ 时,画出式(7.79)作为失谐量 $\delta$ 的函数,以及(如果你了解的话)所对应的经典结果。振荡是因为什么?
习题 7.20 (单光子相移)从 $U$ 推导出式(7.80),当 $t=1$ 和 $g=1.2$ 时,作为失谐量 $\delta$ 的函数画出它,并与 $\delta^{2} / \Omega^{2}$ 进行比较。
原子-光子相互作用的一个天然的应用是研究当两个光学模式(每个最多包含一个光子)与同一个原子相互作用时会发生什么。这导致了两个模式之间的非线性相互作用。在 7.4.2节中,非线性克尔介质可以唯象地被描述为产生交叉相位调制的介质,它的哈密顿量为 $H=\chi a^{\dagger} a b^{\dagger} b$ 。在那里,我们并没看到效应是如何从基本相互作用产生的。用目前的形式体系,克尔效应的起源可以用一个简单的模型来说明,其中包含两种偏振的光场与同一个三能级原子相互作用,如图 7-4所示。这可以用修正版的 Jaynes-Cummings 哈密顿量来描述:
$$ \begin{align*} H=\delta\left[\begin{array}{ccc} -1 & 0 & 0 \\ 0 & 1 & 0 \\ 0 & 0 & 1 \end{array}\right] & +g_{a}\left(\left[\begin{array}{ccc} 0 & 0 & 0 \\ 1 & 0 & 0 \\ 0 & 0 & 0 \end{array}\right]+a^{\dagger}\left[\begin{array}{lll} 0 & 1 & 0 \\ 0 & 0 & 0 \\ 0 & 0 & 0 \end{array}\right]\right) \\ & +g_{b}\left(\left[\begin{array}{lll} 0 & 0 & 0 \\ 0 & 0 & 0 \\ 1 & 0 & 0 \end{array}\right]+b^{\dagger}\left[\begin{array}{lll} 0 & 0 & 1 \\ 0 & 0 & 0 \\ 0 & 0 & 0 \end{array}\right]\right) \tag{7.81} \end{align*} $$
其中 $3 \times 3$ 原子算子的基为 $|0\rangle,|1\rangle,|2\rangle$ 。在矩阵表示下,人们发现 $H$ 中有关的项是对角矩阵
$$ H=\left[\begin{array}{ccc} H_{0} & 0 & 0 \tag{7.82}\\ 0 & H_{1} & 0 \\ 0 & 0 & H_{2} \end{array}\right] $$
其中
$$ \begin{align*} & H_{0}=-\delta \tag{7.83}\\ & H_{1}=\left[\begin{array}{cccc} -\delta & g_{a} & 0 & 0 \\ g_{a} & \delta & 0 & 0 \\ 0 & 0 & -\delta & g_{b} \\ 0 & 0 & g_{b} & \delta \end{array}\right] \tag{7.84}\\ & H_{2}=\left[\begin{array}{ccc} -\delta & g_{a} & g_{b} \\ g_{a} & \delta & 0 \\ g_{b} & 0 & \delta \end{array}\right] \tag{7.85} \end{align*} $$
$H_{0}$ 的基每行从左到右为 $\mid a, b$, atom $\rangle=|000\rangle, H_{1}$ 的基为 $|100\rangle,|001\rangle,|010\rangle,|002\rangle, H_{2}$ 的基为 $|110\rangle,|011\rangle,|102\rangle$ 。取幂可得 $U=\exp (\mathrm{i} H t)$ ,让人可以算出单光子相移 $\varphi_{a}=\arg (\langle 100| U|100\rangle)-$ $\arg (\langle 000| U|000\rangle), \varphi_{b}=\arg (\langle 010| U|010\rangle)-\arg (\langle 000| U|000\rangle)$ ,以及双光子相移 $\varphi_{a b}=\varphi_{a}+\varphi_{b}$,
也就是说双光子态具有两倍于单光子的相移,因为 $\exp \left[-\mathrm{i} \omega\left(a^{\dagger} a+b^{\dagger} b\right)\right]|11\rangle=\exp (-2 \mathrm{i} \omega)|11\rangle$ 。尽管如此,这个系统表现出非线性,导致如图 7-5 所示的 $\chi_{3}=\varphi_{a b}-\varphi_{a}-\varphi_{b}$ 。在这个物理系统中,此克尔效应来自两个光学模式量子交换时原子出现的微小振幅。
习题 7.21 具体算出式(7.82)的幂指数,并证明
$$ \begin{equation*} \varphi_{a b}=\arg \left[\mathrm{e}^{\mathrm{i} \delta t}\left(\cos \Omega^{\prime} t-\mathrm{i} \frac{\delta}{\Omega^{\prime}} \sin \Omega^{\prime} t\right)\right] \tag{7.86} \end{equation*} $$
其中 $\Omega^{\prime}=\sqrt{\delta^{2}+g_{a}^{2}+g_{b}^{2}}$ 。用这计算 $\chi_{3}$ ,非线性克尔相位移动。这是一个非常简单的对克尔相互作用进行建模和理解的方法,忽略了许多经典非线性光学常涉及的复杂问题。

图 7-4 三能级原子(有能级 $0,1,2$ )与两个偏振正交的光场相互作用,光场由算子 $a$ 与 $b$ 描述。原子-光子耦合分别为 $g_{a}$ 与 $g_{b}$ 。 0 与 1 能级,以及 0 与 2 能级之间的能量差假设近乎相等

图 7-5 当 $t=0.98$ 和 $g_{a}=g_{b}=1$ 时,以角度为单位的克尔相移 $\chi_{3}$ ,作为失谐量 $\delta$ 的函数画出来。根据单光子与单个三能级原子相互作用的式(7.82)计算可得
习题 7.22 交叉相位调制也会附带一定的损耗,它可以通过一个光子被原子吸收的概率来表示。计算如下概率, $1-\langle 110| U|110\rangle$ ,其中 $U=\exp (-\mathrm{i} H t)$ 且 $H$ 见式(7.82);作为 $\delta, g_{a}, g_{b}$ ,和 $t$ 的函数,与 $1-\langle 100| U|100\rangle$ 进行比较。
一般而言,腔 QED 技术能以多种不同的方式用于完成量子计算,其中两种方式如下:量子信息可以由光子态表示,用含有原子的腔提供光子之间的非线性相互作用;量子信息也可以用原
子来表示,利用光子在原子之间通信。现在让我们通过描述一个展示了以第一种方法实现量子逻辑门的实验来结束此话题。
如 7.4.2 节所述,一台量子计算机可以用单光子态,相移器,分束器和非线性克尔介质构建,但是用于实现受控非门的交叉相位 $\pi$ 的调制,对于标准的非线性光学技术来说是近乎不可能的。腔 QED 可以用于实现克尔相互作用,如 7.5.3节所述;与大块的介质不同,由于法布里-珀罗腔所提供的强场,此技术即使在单光子级别也有极强的效应。
图 7-6 描述了一个腔 QED 的实验,它用于展示(见章末的"背景资料与延伸阅读")实现具有如下酉变换逻辑门的潜力。
$$ \left[\begin{array}{cccc} 1 & 0 & 0 & 0 \tag{7.87}\\ 0 & \mathrm{e}^{\mathrm{i} \varphi_{a}} & 0 & 0 \\ 0 & 0 & \mathrm{e}^{\mathrm{i} \varphi_{b}} & 0 \\ 0 & 0 & 0 & \mathrm{e}^{\mathrm{i}\left(\varphi_{a}+\varphi_{b}+\Delta\right)} \end{array}\right] $$
其中 $\Delta=16^{\circ}$ ,使用单光子。在实验中,制备两个处于弱相干态的光场模式(通过极为细微的频率加以区别),一个线偏振(探测光),另一个圆偏振(泉浦光),输入到腔中。光场态可以被表示为
$$ \begin{equation*} \left|\psi_{\text {in }}\right\rangle=\left|\beta^{+}\right\rangle\left[\frac{\left|\alpha^{+}\right\rangle+\left|\alpha^{-}\right\rangle}{\sqrt{2}}\right] \tag{7.88} \end{equation*} $$
回忆一下,线偏光是两种可能的圆偏光 + 和 - 的等概率叠加。弱相干态的近似为 $|\alpha\rangle \approx|0\rangle+\alpha|1\rangle$ ,且对 $|\beta\rangle$ 也类似(忽略掉归一化项),于是有
$$ \begin{equation*} \left|\psi_{\text {in }}\right\rangle \approx\left[\left|0^{+}\right\rangle+\beta\left|1^{+}\right\rangle\right]\left[\left|0^{+}\right\rangle+\alpha\left|1^{+}\right\rangle+\left|0^{-}\right\rangle+\alpha\left|1^{-}\right\rangle\right] \tag{7.89} \end{equation*} $$
这些光子穿过光学腔与原子相互作用,原子引发不同的相移,依赖于每个偏振的总光子数态(而与光子在哪个模式无关)。具体而言,我们假定处于 $\left|1^{+}\right\rangle$态的光子,如果它是在探测光中的话,经历 $\mathrm{e}^{\mathrm{i} \varphi_{a}}$ 的相移,如果是泵浦光,相移 $\mathrm{e}^{\mathrm{i} \varphi_{b}}$ 。在此单光子相移以外,态 $\left|1^{+} 1^{+}\right\rangle$经历一个额外的克尔相移 $\Delta$ ,所以有 $\mathrm{e}^{\mathrm{i}\left(\varphi_{a}+\varphi_{b}+\Delta\right)}\left|1^{+} 1^{+}\right\rangle_{\text {。 }}$ 其他态(特别是其他偏振态)保持不变。导致这种行为的物理类似于 7.5.3 节所述,且最终的效应是一样的:泵浦光与探测光之间的交叉相位调制。从腔中的出射光因此为
$$ \begin{align*} \left|\psi_{\text {out }}\right\rangle \approx & \left|0^{+}\right\rangle\left[\left|0^{+}\right\rangle+\alpha \mathrm{e}^{\mathrm{i} \varphi_{a}}\left|1^{+}\right\rangle+\left|0^{-}\right\rangle+\alpha\left|1^{-}\right\rangle\right] \\ & +\mathrm{e}^{\mathrm{i} \varphi_{b}} \beta\left|1^{+}\right\rangle\left[\left|0^{+}\right\rangle+\alpha \mathrm{e}^{\mathrm{i}\left(\varphi_{a}+\Delta\right)}\left|1^{+}\right\rangle+\left|0^{-}\right\rangle+\alpha\left|1^{-}\right\rangle\right] \tag{7.90}\\ \approx & \left|0^{+}\right\rangle\left|\alpha, \varphi_{a} / 2\right\rangle+\mathrm{e}^{\mathrm{i} \varphi_{b}} \beta\left|1^{+}\right\rangle\left|\alpha,\left(\varphi_{a}+\Delta\right) / 2\right\rangle \tag{7.91} \end{align*} $$
其中的 $\left|\alpha, \varphi_{a} / 2\right\rangle$ 代表一个线偏振探测光场从垂直偏振旋转了 $\varphi_{a} / 2$ 。场的偏振通过探测器测量,得到 $\varphi_{a} \approx 17.5^{\circ}, \varphi_{b} \approx 12.5^{\circ}$ ,以及 $\Delta \approx 16^{\circ}$ 。因为 $\Delta$ 是一个非平庸的值,这个结果表明,用单光子和腔中的单原子作为非线性光学克尔介质与光子相互作用,实现通用的两量子比特逻辑门(习题 7.23 )是可行的。
在解释这些实验结果时,几条重要的警示必须铭记在心。通过腔与原子后,人射光子有一定的概率被吸收,因此所完成的真正的量子操作并不是西的。当多个逻辑门级联起来时,此问题会更严重。比方说,为实现受控非门(要求 $\Delta=\pi$ ),这是必需的。实际上,在这个实验中所用的腔的排列方式带来的反射损失将极大地妨碍级联。为了理解为什么会如此,需要发展和研究出一个合适的与时间相关的模型。此外,尽管交叉相位调制模型与所测量的数据一致,但是这里用的光子-原子相互作用模型只是一个拟设( ansatz),且其他模型并未被实验排除。实际上,原则上在实验中可以用单光子态(而不是衰减了的相干态),而对 $\left|\psi_{\text {out }}\right\rangle$ 中两模式之间出现纠缠的测量将会是一个很好的测试。在做这个实验的时候,用于全面描述量子操作,以及它能否适用于量子逻辑门的通用步骤还不为人知。不过,可完成此任务的一个方法,即过程层析,目前已广为人知 (第8章),且引人注目的是,它甚至能对耗散和其他的非西行为进行全面描述。完成此测验,将会明确精准地确定这里描述的实验实际反映量子计算的程度。

图 7-6 用于展示的实验装置示意图:使用单原子提供单光子间的交叉相位调制,作为基本量子逻辑门。制备一束线偏振弱探测光 $\Omega_{a}$ ,以及一束强的圆偏振泵浦光 $\Omega_{b}$ ,照射到一个光学腔上,它有两个高反射镜子 $M_{1}$ 和 $M_{2}$ 。利用光泉浦下落的铯原子(图中展示了原子从上往下落),制备它到电子态 $6 \mathrm{~S}_{1 / 2}, F=4, m=4$ ,让腔中的平均原子数为 $1_{\circ}$ 光穿过腔,与原子相互作用,$\sigma_{+}$偏振的光场引起与 $6 \mathrm{P}_{3 / 2}, F^{\prime}=5, m^{\prime}=5$ 态的强跃迁,而正交的 $\sigma_{-}$偏振的光引发到 $6 \mathrm{P}_{3 / 2}, F^{\prime}=5, m^{\prime}=3$ 态的弱跃迁。然后用半波片,偏振分束器(PBS)和一个敏感的平衡外差探测器(通过本地的振荡器选择性地在某特定频率处测量光子),测出射光场的偏振。本图由 Q .Turchette 提供
尽管有这些缺陷,这个实验确实展示了量子信息处理所需的基本概念。它确认非线性光学行为,比如说克尔相互作用确实能在单光子水平上发生,从而确立了 Jaynes-Cummings 模型的必要性。而且,这个实验是在所谓的坏腔区域完成的,此时原子与腔模的相干耦合率 $g^{2} / \gamma$ 大于向自由空间的非相干辐射率 $\gamma$ ,但是此耦合比光子人射与离开腔的速率 $\kappa$ 弱。强塊合工作区域(其中 $g > \kappa > \gamma$ )提供了另一种实现更大控制相移 $\Delta$ 的途径。
也许最重要的,是腔 QED 开启了对量子信息处理意义非凡的,通向附加相互作用宝藏的大门。我们也看到,如何从量子信息的视角——限定于单光子与单原子——使我们能用最基本的腔 QED 相互作用 Jaynes-Cummings 哈密顿量,构建出电磁波与物质相互作用的一些最基本的物理。现在我们暂别腔 QED 这个主题,但在接下来的离子阱,以及再下面的磁共振中,光子-原子相互作用,单原子与光子,以及 Jaynes-Cummings 哈密顿量这些概念将会继续伴随着我们。
习题 7.23 证明式(7.87)中的两量子比特逻辑门,加上任意的单量子比特逻辑门,可以用于实现一个受控非门,对于任意的 $\varphi_{a}$ 和 $\varphi_{b}$ ,以及 $\Delta=\pi_{\circ}$ 。结果发现,对几乎任意 $\Delta$ ,加上单量子比特西演化时,这个逻辑门都是通用的。
本章到目前为止,我们仅限于用光子代表量子比特。现在让我们转向用原子和原子核的表示。特别地,如 7.1 节所述,电子与原子核自旋提供了一个潜在的量子比特的优良载体。自旋是一个奇怪(但是非常真实!)的概念(专题 7.7),但因为不同自旋态之间的能量差相比其他的能量尺度都非常小(比如室温下通常原子的动能),原子的自旋态一般难以被观测,更难被操控。在一个被精细造出的环境中,精密的操控是可行的。这个环境通过在电磁势阱中孤立和囚禁少量带电原子,然后冷却原子直至其动能远小于自旋能量的贡献而实现。做完这之后,调控人射的单频光,选择性地产生跃迁,即依赖于其他自旋态而改变某些特定的自旋态。囚禁离子如何能做到实现量子计算,这是必不可少的。我们先概述实验装置,以及它的主要元件,然后给出系统的模型哈密顿量。我们描述一个实验,实现并展示一个基于囚禁 ${ }^{9} \mathrm{Be}$ 离子的受控非门,最后以此方法的潜力与限制作为结尾。
自旋是一个奇特的概念。当离子具有自旋时,它拥有磁矩,就像是一个复合粒子,其中有一些沿着环路运动的电流。但是电子是基本粒子,且已知组成原子核的夸克不会通过轨道运动产生自旋。不仅如此,一个粒子的自旋只能是整数或半整数。
不管怎样,自旋是很真实的,而且是日常物理学中的重要组分。整数自旋粒子——被称为玻色子——包括光子。它无静止质量,某种程度上是特殊的,只有自旋 $\pm 1$ 的组分(而没有零自旋),对应于两个熟知的偏振正交态。由廉价塑料偏振片做成的太阳镜在开车时是很有效的,因为太阳光被路面反射时变成部分偏振,偏振方向与太阳镜的正交(光的电场偏振方向与界面垂直时,总会部分被反射,不论入射角度如何,这与垂直磁偏振相反:当入射角为布儒斯特角时,不会发生反射)。半整数自旋粒子,被称为费米子,包括电子,质子和中子。这些是"自旋 $1 / 2$"粒子,它们的自旋分量要么是 $+1 / 2$(自旋"向上"),要么是 $-1 / 2$ (自旋"向下")。当我们提到"自旋",通常是指自旋 $1 / 2$ 粒子。
一个原子的能量本征态与自旋及多个自旋的组合密切相关。比方说,${ }^{9} \mathrm{Be}$ 的原子核具有自旋 $3 / 2$ 。自旋就像磁矩那样与磁场相互作用,自旋为 $\vec{S}$ 的电子具有能量 $g_{e} \vec{S} \cdot \vec{B}$ ,而类似地,原子核 $\vec{I}$ 具有能量 $g_{n} \vec{I} \cdot \vec{B}$ 。比如,形象地来说,自旋对原子能级的贡献可以被看成:

其中我们假设了一个自旋 $1 / 2$ 的电子和一个自旋 $3 / 2$ 的原子核。通过恰当地调节入射光场的频率,任意的跃迁都能被挑选出来,只要满足守恒定则(7.5.1节)。特别是,角动量守恒要求当一个光子被一个原子吸收时,在初态与末态之间必须改变一个角动量或自旋。这些态因而必须具有确定的角动量;这点可以被考虑进来。
诸如位置和动量的连续变量,以及其他无限的希尔伯特空间系统,必须被人为地截断以便代表量子比特。与它们不同,自旋态为量子信息提供了一个良好的表示,因为它们天然地存在有限的态空间。
习题 7.24 磁场中核自旋的能量大约为 $\mu_{N} B$ ,其中 $\mu_{n}=e h / 4 \pi m_{p} \approx 5 \times 10^{-27} \mathrm{~J} / \mathrm{T}$ ,是原子核玻尔磁子。计算 $B=10 \mathrm{~T}$ 磁场下原子核自旋的能量,再算出 $T=300 \mathrm{~K}$ 下热能 $k_{B} T$ 。
一台离子阱量子计算机包含的主要组件为带有激光与光探测器的电磁势阱及离子。
如图 7-7 所示,主要的实验装置是一台由 4 个圆柱电极组成的电磁势阱。电极的端点部分相比中间段,具有偏压 $U_{0}$ ,因此通过一个沿着 $\hat{z}$ 轴( $k$ 是一个几何因子)的静电势 $\Phi_{\mathrm{dc}}=$ $\kappa U_{0}\left[z^{2}-\left(x^{2}+y^{2}\right) / 2\right]$ ,离子沿轴向被束缚起来。尽管如此,一个被称为 Earnshaw 定理的结论认为无法用静电场把电荷囚禁在三维空间中。因此,为提供束缚,两个电极接地,而其他两个电极由一个快速振动的电压驱动,产生一个射频(RF)势 $\Phi_{\mathrm{rf}}=\left(V_{0} \cos \Omega_{T} t+U_{r}\right)\left[1+\left(x^{2}-y^{2}\right) / R^{2}\right] / 2$ ,其中 $R$ 是几何因子。电极端点通过电容塊合,因而穿过它们的 RF 势是恒定的。 $\Phi_{\mathrm{dc}}$ 和 $\Phi_{\mathrm{rf}}$ 的组合,平均起来(相对 $\Omega_{T}$ )创造了一个在 $x, y$ 和 $z$ 上的简谐势。加上离子之间的库仑排斥,这给出了 $N$ 个离子在势阱中运动所遵循的哈密顿量,
$$ \begin{equation*} H=\sum_{i=1}^{N} \frac{M}{2}\left(\omega_{x}^{2} x_{i}^{2}+\omega_{y}^{2} y_{i}^{2}+\omega_{z}^{2} z_{i}^{2}+\frac{\left|\vec{p}_{i}\right|^{2}}{M^{2}}\right)+\sum_{i=1}^{N} \sum_{j > i} \frac{e^{2}}{4 \pi \epsilon_{0}\left|\vec{r}_{i}-\vec{r}_{j}\right|} \tag{7.92} \end{equation*} $$
其中 $M$ 是每个离子的质量。通常,在设计上 $\omega_{x}, \omega_{y} \gg \omega_{z}$ ,因而离子全都一般沿着 $\hat{z}$ 轴排布。随着离子数目增加,离子的几何构型将会变得很复杂,出现锯齿状或其他图样。但我们将专注于简单的情形,只有少数几个离子被囚禁在一个链状的构型。

图 7-7 离子阱量子计算机(非等比例的)示意图,描绘出 4 个离子被囚禁在由 4 个圆柱电极产生的势阴中心。这个仪器通常置于高真空中( $\approx 10^{-8}$ 帕),离子从附近的烤炉中装载而来。调制过的激光通过真空腔的窗口照射在离子上,实现对其操作,并用于读出原子态
当跟外部世界的耦合变得足够小,如同弹簧上的物体表现得像量子系统那样,电磁囚禁的粒子被很好地孤立起来时,其运动也将量子化。让我们首先理解量子化意味着什么,然后讨论孤立的判据。如 7.3 节所述,简谐振子的能级是等间距的,单位为 $\hbar \omega$ 。离子阱处于我们关注的能量区域时,这些能量本征态代表整个线性粒子链作为一个整体一起运动的不同的振动模。每个 $\hbar \omega$ 振动能量的量子被称为声子,且可被想象为一个粒子,就像腔中电磁辐射的一个量子是光子那样。
为了让上述的声子描述成立,一些判据必须满足。首先,与环境的耦合必须足够小,使得热化不会扰乱系统的状态(从而导致展现出经典的行为)。物理上而言,能发生的是附近电场与磁场的涨落作用于离子,导致其运动态随机地在能量本征态之间跃迁。此噪声是几乎不可避免的。技术上而言,由于人们无法用一个完美的电压源来驱动囚禁电极。这个电源总会有一些有限的电阻,而此电阻导致约瑟夫森噪声,其涨落处于离子很敏感的时间尺度。局部小块电极上的电场也有涨落,随机地驱动离子的运动。随着随机性的增加,离子的量子特性就丢失了,且它们的行为变为可用经典统计平均很好地描述。比如,它们的动量与位置可很好地定义,而这对一个量子系统来说不能同时成立。无论如何,实际上大部分技术噪声源都可以被很好地控制住,直到在大部分实验时间内都不会过多地加热囚禁离子或导致退相位。某种程度上,这可行的一个重要原因在于,只要简谐近似成立,囚禁离子对敏感噪声的频率极具选择性。就像原子能级间的跃迁可通过调整辐射到正确的频率而被挑选出来那样,只有那些在 $\omega_{z}$ 附近具有很高功率谱密度的涨落会影响离子。
对离子而言,足够冷也很重要,这样才能让一维简谐近似成立。真实的势阴对于相对势阱中心任意方向大的位移都是非简谐的。且离子相互间运动(而不是整体运动)的高维振动模必然有相对质心运动模更高的能量。当这成立,且离子被冷却到它们的运动基态,它们到下一个高能态的跃迁通过吸收质心运动声子实现;此过程与穆斯堡尔效应有关系,其中一个光子被晶体中的原子吸收时不会产生局域的声子,因为整个晶体一起反冲。
离子如何冷却到它们的运动基态?目标是满足 $k_{B} T \ll \hbar \omega_{z}$ ,其中 $T$ 是反映离子动能的温度。本质上而言,这可以利用如下事实而实现,光子不仅携带能量,也带有动量 $p=h / \lambda$ ,其中 $\lambda$ 是光的波长。正如驶人的火车汽笛比起驶离的火车汽笛有更高的音高,一个向激光束移动的原子具有比离开的原子稍高一点的跃迁能量。如果激光被调制为只被靠近它的原子吸收,那么原子就被减速了,因为光子往相反的方向撞击它们。这个方法被称为多普勒冷却。照射一个适当调制的激光(它的动量向量分量朝向每个轴)在囚禁原子上,从而能冷却原子到极限 $k_{B} T \approx \hbar \Gamma / 2$ ,其中 $\Gamma$ 是用于冷却的跃迁的辐射线宽。要冷却超越此极限,要使用另一个被称为边带冷却的方法,如图 7-8 所示。这允许人们达到 $k_{B} T \ll \hbar \omega_{z}$ 极限。

图 7-8 边带冷却方法,展示了 $|0, n\rangle$ 与 $|1, m\rangle$ 之间的跃迁,其中 0 和 1 是两个电子能级,而 $n$ 和 $m$ 是声子能级,代表离子的运动态。激光被调为具有比电子跃迁少一个声子的能量,从而,比如 $|0,3\rangle$ 态跃迁到 $|1,2\rangle$ 态,如图所示。这个原子然后自发地衰减到它的能量 0 态(弯曲线),随机地到达 $|0,1\rangle$ , $|0,2\rangle$ ,或者 $|0,3\rangle$(具有近乎相同的概率)。注意,激光实际导致了从 $|0, n\rangle$ 到 $|1, n-1\rangle$ 所有可能的跃迁,因为它们具有相同的能量。尽管如此,这个过程没涉及 $|0,0\rangle$ 态,那将是原子将会逐渐到达的态
另一个必须满足的判据是势阱中离子振动的线宽需要比入射激光的线宽更窄。这个兰姆-迪克判据通常用兰姆-迪克参数 $\eta=2 \pi z_{0} / \lambda$ 来表示,而 $z_{0}=\sqrt{\hbar / 2 N M \omega}$ 是势阱中离子间距的特征长度单位。兰姆-迪克判据要求 $\eta \ll 1$ ;为了让离子阱对量子计算有用,这并不需要被严格地遵守,但是它至少要求 $\eta \approx 1$ ,以便每个离子能被不同激光分辨,而又不使得它们的运动态难以被光学激发而实现逻辑操作。
上面描述离子阱设备的目的是让离子冷却到其振动态足够接近零声子( $|0\rangle$ ),这是用于计算的一个恰当的初态。类似地,离子的内态也必须被恰当地初始化,于是它们才能用于存储量子信息。现在让我们考虑这些初态是什么,并通过估算其相干寿命来理解它们为什么能成为良好的量子比特载体。
我们要考虑涉及内禁离子的内部原子态,源自电子自旋 $S$ 与核自旋 $I$ 的组合 $F=S+I_{0}$ 。描述此问题的正式理论——被称为角动量求和——不仅描述了用于理解原子结构的重要物理,而且也是量子信息中一个有趣的机制。与一个原子相互作用的单光子可以提供或带走一个单位的角动量,如 7.5.1 节所述。但在原子中有许多可能的角动量源:轨道,电子自旋和核自旋。它从何而来,可由光子能量选择的能级来部分地确定,但除此以外,光子无法区分不同的源。为描述发生了什么,我们必须选择一组基,其中的总角动量是这个量子态一个唯一确定的特性。
比方说,考虑两个 $1 / 2$ 自旋。这两个量子比特空间的"计算"基矢是 $|00\rangle,|01\rangle,|10\rangle,|11\rangle$ ,但为了遍及态空间我们需要等间距地选择基矢
$$ \begin{align*} |0,0\rangle_{J} & =\frac{|01\rangle-|10\rangle}{\sqrt{2}} \tag{7.93}\\ |1,-1\rangle_{J} & =|00\rangle \tag{7.94}\\ |1,0\rangle_{J} & =\frac{|01\rangle+|10\rangle}{\sqrt{2}} \tag{7.95}\\ |1,1\rangle_{J} & =|11\rangle \tag{7.96} \end{align*} $$
这些基矢是特殊的,因为它们是总角动量算子的本征态。总角动量算子通过 $j_{x}=\left(X_{1}+X_{2}\right) / 2, j_{y}=$ $\left(Y_{1}+Y_{2}\right) / 2, j_{z}=\left(Z_{1}+Z_{2}\right) / 2$ 定义,有
$$ \begin{equation*} J^{2}=j_{x}^{2}+j_{y}^{2}+j_{z}^{2} \tag{7.97} \end{equation*} $$
量子态 $\left|j, m_{j}\right\rangle_{J}$ 是 $J^{2}$ 的本征态,具有本征值 $j(j+1)$ 。它也是 $j_{z}$ 的共同本征态,本征值为 $m_{j}$ 。这些态是很自然的,通过许多物理的相互作用挑选而来;比方说,在 $\hat{z}$ 方向的磁场下,哈密顿量 $\mu B_{z}$ 中的磁矩 $\mu$ 正比于总角动量在 $\hat{z}$ 方向上的分量 $m_{j}$ 。
角动量求和的理论是很复杂的,但也是完备的,我们只不过涉及其表面(对于有兴趣的读者,下面提供一些相关的习题,在章末的"背景资料与延伸阅读"部分提供了相关文献指南)。不管怎样,一些涉及量子信息的有趣的观察,已经能从上面的例子中获得。通常,我们认为类似贝尔态(1.3.6节)的纠缠态是物质的非正常态,因为它们具有奇怪的非局域特性。尽管如此,$|0,0\rangle_{J}$态就是一个贝尔态!为什么自然在这里倾向于这个态?因为对称性,交换两个自旋时磁矩相互作用是不变的。此对称性实际上在自然中广泛地出现,且对实现纠缠测量与操作有可能很有用。 习题 7.25 证明总角动量算子满足 $S U(2)$ 对易关系,也就是 $\left[j_{i}, j_{k}\right]=\mathrm{i} \epsilon_{i k l} j_{l}$ 。 习题 7.26 在 $\left|j, m_{j}\right\rangle_{J}$ 定义的基下显式地写出 $J^{2}$ 和 $j_{z}$ 的 $4 \times 4$ 矩阵,验证 $\left|j, m_{j}\right\rangle_{J}$ 的性质。 习题 7.27 (三体自旋角动量态)三个 $1 / 2$ 自旋能结合在一起形成具有总角动量 $j=1 / 2$ 和 $j=3 / 2$ 的态。证明
$$ \begin{align*} |3 / 2,3 / 2\rangle & =|111\rangle \tag{7.98}\\ |3 / 2,1 / 2\rangle & =\frac{1}{\sqrt{3}}[|011\rangle+|101\rangle+|110\rangle] \tag{7.99}\\ |3 / 2,-1 / 2\rangle & =\frac{1}{\sqrt{3}}[|100\rangle+|010\rangle+|001\rangle] \tag{7.100}\\ |3 / 2,-3 / 2\rangle & =|000\rangle \tag{7.101}\\ |1 / 2,1 / 2\rangle_{1} & =\frac{1}{\sqrt{2}}[-|001\rangle+|100\rangle] \tag{7.102}\\ |1 / 2,-1 / 2\rangle_{1} & =\frac{1}{\sqrt{2}}[|110\rangle-|011\rangle] \tag{7.103} \end{align*} $$
$$ \begin{align*} |1 / 2,1 / 2\rangle_{2} & =\frac{1}{\sqrt{6}}[|001\rangle-2|010\rangle+|100\rangle] \tag{7.104}\\ |1 / 2,-1 / 2\rangle_{2} & =\frac{1}{\sqrt{6}}[-|110\rangle+2|101\rangle-|011\rangle] \tag{7.105} \end{align*} $$
这些态组成了空间的一组基矢,满足 $J^{2}\left|j, m_{j}\right\rangle=j(j+1)\left|j, m_{j}\right\rangle$ 和 $j_{z}\left|j, m_{j}\right\rangle=m_{j}\left|j, m_{j}\right\rangle$ ,其中 $j_{z}=\left(Z_{1}+Z_{2}+Z_{3}\right) / 2$( $j_{x}$ 与 $j_{y}$ 类似),$J^{2}=j_{x}^{2}+j_{y}^{2}+j_{z}^{2}$ 。有很多复杂的办法可以得到此结果,但是直接和暴力的办法是简单地同时对角化 $J^{2}$ 与 $j_{z}$ 的 $8 \times 8$ 矩阵。 习题7.28(超精细态)我们看一下 7.6.4 节中的铍原子——此时总角动量涉及核自旋 $I=3 / 2$与电子自旋 $S=1 / 2$ 之和,得到 $F=2$ 或 $F=1$ 。对一个自旋 $3 / 2$ 的粒子,总角动量算子为
$$ \begin{align*} & i_{x}=\frac{1}{2}\left[\begin{array}{cccc} 0 & \sqrt{3} & 0 & 0 \\ \sqrt{3} & 0 & 2 & 0 \\ 0 & 2 & 0 & \sqrt{3} \\ 0 & 0 & \sqrt{3} & 0 \end{array}\right] \tag{7.106}\\ & i_{y}=\frac{1}{2}\left[\begin{array}{cccc} 0 & \mathrm{i} \sqrt{3} & 0 & 0 \\ -\mathrm{i} \sqrt{3} & 0 & 2 \mathrm{i} & 0 \\ 0 & -2 \mathrm{i} & 0 & \mathrm{i} \sqrt{3} \\ 0 & 0 & -\mathrm{i} \sqrt{3} & 0 \end{array}\right] \tag{7.107}\\ & i_{z}=\frac{1}{2}\left[\begin{array}{cccc} -3 & 0 & 0 & 0 \\ 0 & -1 & 0 & 0 \\ 0 & 0 & 1 & 0 \\ 0 & 0 & 0 & 3 \end{array}\right] \tag{7.108} \end{align*} $$
1.证明 $i_{x}, i_{y}$ 和 $i_{z}$ 满足 $S U(2)$ 的对易规则。 2.给出 $f_{z}=i_{z} \otimes I+I \otimes Z / 2$ 的 $8 \times 8$ 矩阵表示(这里 $I$ 代表在相应子空间中的单位算子),给出 $f_{x}, f_{y}$ 和 $F^{2}=f_{x}^{2}+f_{y}^{2}+f_{z}^{2}$ 的类似矩阵表示。同时对角化 $f_{z}$ 和 $F^{2}$ ,得基矢 $\left|F, m_{F}\right\rangle$ ,其中 $F^{2}\left|F, m_{F}\right\rangle=F(F+1)\left|F, m_{F}\right\rangle$ ,以及 $f_{z}\left|F, m_{F}\right\rangle=m_{F}\left|F, m_{F}\right\rangle$ 。
不同自旋态的叠加态能存在多久?被称为自发辐射的限制过程,当原子从其激发态跃迁到其基态并发射一个光子时就会发生。这会在随机的时间发生,我们将估算其发生速率。看起来自发地发射一个光子似乎是原子做的一件奇怪的事,如果它只是待在自由空间中,没有东西刻意去扰动的话。但是此过程实际上是原子与电磁场耦合后一个非常自然的产物。让我们回忆一下 7.5.2 节,这可由 Jaynes-Cummings 相互作用简单地描述:
$$ \begin{equation*} H_{I}=g\left(a^{\dagger} \sigma_{-}+a \sigma_{+}\right) \tag{7.109} \end{equation*} $$
以前,我们用这个模型描述一个激光与一个原子的相互作用,但是此模型也描述了即使没有光场出现,原子会发生什么。考虑一个原子处于其激发态,与一个单模堣合,模式中含有零个光子,量子态为 $|0,1\rangle$(采用|field,atom $\rangle$ )。这不是 $H_{I}$ 的本征态,因而它随着时间演化不会保持静止。
发生的事情由式(7.77)中的 $U$ 算子描述,由此我们发现原子衰减到其基态并放出一个光子的概率 $\left.p_{\text {decay }}=|\langle 10| U| 01\right\rangle\left.\right|^{2}$ 。保留原子与场耦合强度 $g$ 的最低阶近似,有
$$ \begin{equation*} p_{\text {decay }}=g^{2} \frac{4 \sin {}^{2} \frac{1}{2}\left(\omega-\omega_{0}\right) t}{\left(\omega-\omega_{0}\right)^{2}} \tag{7.110} \end{equation*} $$
其中 $\omega$ 是光子频率,而 $\hbar \omega_{0}$ 是原子两个能级之间的能量差。处于自由空间中的一个原子与很多不同的光学模式相互作用;代人耦合
$$ \begin{equation*} \left.g^{2}=\frac{\omega_{0}^{2}}{2 \hbar \omega \epsilon_{0} c^{2}}|\langle 0| \vec{\mu}| 1\right\rangle\left.\right|^{2} \tag{7.111} \end{equation*} $$
其中 $\vec{\mu}$ 是原子偶极算子,对所有光学模积分(习题 7.29 ),再对时间求导数可得每秒钟衰减的概率为
$$ \begin{equation*} \gamma_{\mathrm{rad}}=\frac{\left.\omega_{0}^{3}|\langle 0| \vec{\mu}| 1\right\rangle\left.\right|^{2}}{3 \pi \hbar \epsilon_{0} c^{5}} \tag{7.112} \end{equation*} $$
如果我们用近似 $|\langle 0| \vec{\mu}| 1\rangle \mid \approx \mu_{\mathrm{B}} \approx 9 \times 10^{-24} \mathrm{~J} / \mathrm{T}$ ,即为玻尔磁子,同时假设 $\omega_{0} / 2 \pi \approx 10 \mathrm{GHz}$ ,于是有 $\gamma_{\mathrm{rad}} \approx 10^{-15} \mathrm{sec}^{-1}$ ,即每 3000000 年才发生不到一次衰减。此计算是已经完成的估算原子态寿命的代表;且可以看到,超精细能级从理论上而言具有极长的相干时间,这通常与实验是一致的,其中已观察到的寿命从几十秒钟到几十小时。
习题 7.29 (自发辐射)自发辐射率式(7.112)可以通过如下步骤从式(7.110)和式(7.111)推导出来:
1.求积分
$$ \begin{equation*} \frac{1}{(2 \pi c)^{3}} \frac{8 \pi}{3} \int_{0}^{\infty} \omega^{2} p_{\text {decay }} \mathrm{d} \omega \tag{7.113} \end{equation*} $$
其中 $8 \pi / 3$ 来自于对偏振求和,以及对整个立体角 $\mathrm{d} \Omega$ 的积分,而 $\omega^{2} /(2 \pi c)^{3}$ 来自于三维空间中的模式密度。(提示:你也许想要把积分的下线延拓到 $-\infty$ 。)
2.将结果对 $t$ 求微分,从而得到 $\gamma_{\mathrm{rad}}$ 。 $g^{2}$ 的形式是量子电动力学的结果;将此作为出发点,这里展示的余下计算确实仅仅源自 Jaynes-Cummings 相互作用。再一次,我们看到通过对单原子,单光子区域特性的研究,如何告诉我们原子的基本特性,而无须借助微扰理论!
习题 7.30 (电子态寿命)与 $\gamma_{\mathrm{red}}$ 类似的计算也可用于估算电子跃迁的预期寿命,也就是那些涉及能级变化 $\Delta n \neq 0$ 的跃迁。对此跃迁,相关的相互作用耦合原子的电偶极矩与电磁场,有
$$ \begin{equation*} \left.g_{\text {ed }}^{2}=\frac{\omega_{0}^{2}}{2 \hbar \omega \epsilon_{0}}\left|\langle 0| \vec{\mu}_{\text {ed }}\right| 1\right\rangle\left.\right|^{2} \tag{7.114} \end{equation*} $$
由此可得自发辐射率
$$ \begin{equation*} \gamma_{\mathrm{red}}^{\mathrm{ed}}=\frac{\left.\omega_{0}^{3}\left|\langle 0| \vec{\mu}_{\mathrm{ed}}\right| 1\right\rangle\left.\right|^{2}}{3 \pi \hbar \epsilon_{0} c^{3}} \tag{7.115} \end{equation*} $$
求出 $\gamma_{\mathrm{red}}^{\mathrm{ed}}$ 的确切值,令 $\left.\left|\langle 0| \vec{\mu}_{\mathrm{ed}}\right| 1\right\rangle \mid \approx q a_{0}$ ,其中 $q$ 是电荷,而 $a_{0}$ 是玻尔半径,假设 $\omega_{0} / 2 \pi \approx 10^{15} \mathrm{~Hz}$ 。
通过比较计算结果,求出电子态衰减能比超精细态衰减快多少。
把前一节中给出的简谐电磁势阱和原子结构的简化模型结合起来,为我们提供了如下用于离子阱量子信息处理器的简化玩具模型。假想一个二能级自旋通过通常的磁偶极相互作用 $H_{I}=$ $-\vec{\mu} \cdot \vec{B}$ 与一个电磁场相互作用,其中的偶极矩 $\vec{\mu}=\mu_{m} \vec{S}$ 与自旋算子 $S$ 成正比,而磁场是 $\vec{B}=$ $B_{1} \hat{x} \cos (k z-\omega t+\varphi), B_{1}$ 是场强,$k$ 是它沿着 $\hat{z}$ 方向的动量,$\omega$ 是其频率,而 $\varphi$ 是相位。注意在本节中,我们将用 $S_{x}=X / 2, S_{y}=Y / 2, S_{z}=Z / 2$ 作为自旋算子,它们与泡利算子之间差一个因子 2 。
在通常的电磁相互作用之外,还有与振动模之间的相互作用。自旋在物理上被囚禁于具有能标 $\hbar \omega_{z}$ 的简谐势阱中(图7-9),于是其位置成为量子化的,因而我们必须用一个算子 $z=$ $z_{0}\left(a^{\dagger}+a\right)$ 来描述它,其中的 $a^{\dagger}, a$ 分别是粒子振动模的上升与下降算子,代表声子的产生与湮灭。

图 7-9 离子阱的玩具模型:单个离子位于简谐势中,含有两个内态,并与电磁辐射相互作用 让我们假设粒子被冷却到其最低振动模附近,在势阱中它的振幅比人射光波长小,也就是兰姆-迪克系数 $\eta \equiv k z_{0}$ 要很小。定义自旋的拉比频率为 $\Omega=\mu_{m} B_{1} / 2 \hbar$ ,回忆一下 $S_{x}=\left(S_{+}+S_{-}\right) / 2$ ,我们发现在小 $\eta$ 近似下哈密顿量可以简化为
$$ \begin{align*} H_{I}= & -\vec{\mu} \cdot \vec{B} \tag{7.116}\\ \approx & {\left[\frac{\hbar \Omega}{2}\left(S_{+} \mathrm{e}^{\mathrm{i}(\varphi-\omega t)}+S_{-} \mathrm{e}^{-\mathrm{i}(\varphi-\omega t)}\right)\right] } \\ & +\left[\mathrm{i} \frac{\eta \hbar \Omega}{2}\left\{S_{+} a+S_{-} a^{\dagger}+S_{+} a^{\dagger}+S_{-} a\right\}\left(\mathrm{e}^{\mathrm{i}(\varphi-\omega t)}-\mathrm{e}^{-\mathrm{i}(\varphi-\omega t)}\right)\right] \tag{7.117} \end{align*} $$
如 7.5.2 节所述,括号中的第 1 项来自于通常的 Jaynes-Cummings 哈密顿量,当自旋位置 $z$ 为常数时就会出现。尽管如此,它被简化且不包含光子算子,因为事实证明只要 $B_{1}$ 是一个强相干态,我们就可以忽略其量子特性,从而为我们保留一个描述内部原子态演化的哈密顿量。实际上很异乎寻常的是,场的一个相干态与一个原子相互作用后,不会变得与它纠缠起来(在极为接近的近似下);这是一个深刻的结果,你可以通过阅读章末的问题 7.3 来进一步探索它。我们也会在 7.7.2 节讲述共振时触及此事实。
括号中第 2 项描述了粒子振动态与其自旋态的耦合。此塊合源自粒子所感受的磁场依赖于它
的位置。大括号中的 4 项对应于 4 个跃迁(两上两下),它们被称为红和蓝边带,见图 7-10 的说明。

图 7-10 离子阱玩具模型中的能级,展示了红和蓝边带跃迁,对应于产生或湮灭单个声子。有无穷多个额外运动态的阶梯,通常它们并不会参与进来。这些态被标为 $|n, m\rangle$ ,其中 $n$ 代表自旋态,$m$ 代表声子数
这些边带跃迁为何具有频率 $\omega_{0} \pm \omega_{z}$ ?可以通过引入自由粒子哈密顿量
$$ \begin{equation*} H_{0}=\hbar \omega_{0} S_{z}+\hbar \omega_{z} a^{\dagger} a \tag{7.118} \end{equation*} $$
而很容易地看出来。它引发自旋与声子算子的演化:
$$ \begin{array}{rlrl} S_{+}(t) & =S_{+} \mathrm{e}^{\mathrm{i} \omega_{0} t} & S_{-}(t) & =S_{-} \mathrm{e}^{-\mathrm{i} \omega_{0} t} \\ a^{\dagger}(t) & =a^{\dagger} \mathrm{e}^{\mathrm{i} \omega_{z} t} & a(t) & =a \mathrm{e}^{-\mathrm{i} \omega_{z} t} \tag{7.120} \end{array} $$
因此在参考系 $H_{0}$ 下,我们发现 $H_{I}^{\prime}=\mathrm{e}^{\mathrm{i} H_{0} t / \hbar} H_{I} \mathrm{e}^{-\mathrm{i} H_{0} t / \hbar}$ 中起主要作用的项为
$$ H_{I}^{\prime}= \begin{cases}\mathrm{i} \frac{\eta \hbar \Omega}{2}\left(S_{+} a^{\dagger} \mathrm{e}^{\mathrm{i} \varphi}-S_{-} a \mathrm{e}^{-\mathrm{i} \varphi}\right) & \omega=\omega_{0}+\omega_{z} \tag{7.121}\\ \mathrm{i} \frac{\eta \hbar \Omega}{2}\left(S_{+} a \mathrm{e}^{\mathrm{i} \varphi}-S_{-} a^{\dagger} \mathrm{e}^{-\mathrm{i} \varphi}\right) & \omega=\omega_{0}-\omega_{z}\end{cases} $$
其中电磁场的频率 $\omega$ 展示在式子的右边。 把上面的模型从单个自旋推广到 $N$ 个囚禁于同一个简谐势中的自旋是很简单的,如果我们假设它们共享同一个质心振动模式,且质心振动模的能量要远低于系统的其他振动模式。理论的直接推广表明,唯一需要的修正是把 $\Omega$ 替换为 $\Omega / \sqrt{N}$ ,因为所有 $N$ 个粒子一起集体运动。
基于离子阱的量子计算需要人们能构建原子内态间任意的西操作。我们现在展示如何用三步来实现它:(1)如何在内部原子(自旋)态上完成任意的单量子比特操作,(2)在自旋与声子态之间实现两量子比特控制门的方法,(3)在自旋与声子之间交换量子信息的方法。有了这些构建单元,紧接着我们描述一个实验,展示如何实现受控非门,以及态的制备与读出。
加上电磁场,调制其频率到 $\omega_{0}$ ,从而打开内部哈密顿量
$$ \begin{equation*} H_{I}^{\text {internal }}=\frac{\hbar \Omega}{2}\left(S_{+} \mathrm{e}^{\mathrm{i} \varphi}+S_{-} \mathrm{e}^{-\mathrm{i} \varphi}\right) \tag{7.122} \end{equation*} $$
通过恰当地选择 $\varphi$ 和相互作用的持续时间,这允许我们完成旋转操作 $R_{x}(\theta)=\exp \left(-\mathrm{i} \theta S_{x}\right)$ 和 $R_{y}(\theta)=\exp \left(-\mathrm{i} \theta S_{y}\right)$ ,根据定理 4.1 可知,这能让我们实现对自旋态任意的单量子比特操作。我们用下标标记第 $j$ 个离子的旋转,比如 $R_{x j}(\theta)$ 。 习题 7.31 通过 $R_{y}$ 和 $R_{x}$ 来构建阿达玛门。
现在假定一个量子比特储存在原子的内部自旋态中,另一个量子比特存储于声子的 $|0\rangle$ 和 $|1\rangle$态。在此情形下,利用酉操作
$$ \left[\begin{array}{cccc} 1 & 0 & 0 & 0 \tag{7.123}\\ 0 & 1 & 0 & 0 \\ 0 & 0 & 1 & 0 \\ 0 & 0 & 0 & -1 \end{array}\right] $$
可以完成一个控制相位翻转门。利用一个具有第三个能级的原子,是最容易解释清楚此过程的,如图 7-11 所示(额外的能级原则上不是必需的,见问题 7.4)。一个激光的频率被调到 $\omega_{\mathrm{aux}}+\omega_{z}$ ,从而产生 $|20\rangle$ 与 $|11\rangle$ 之间的跃迁。这会触发具有如下形式的哈密顿量
$$ \begin{equation*} H_{\mathrm{aux}}=\mathrm{i} \frac{\eta \hbar \Omega^{\prime}}{2}\left(S_{+}^{\prime} \mathrm{e}^{\mathrm{i} \varphi}+S_{-}^{\prime} \mathrm{e}^{-\mathrm{i} \varphi}\right) \tag{7.124} \end{equation*} $$
其中 $S_{+}^{\prime}$ 与 $S_{-}^{\prime}$ 代表 $|20\rangle$ 与 $|11\rangle$ 之间的跃迁,我们假定更高阶的振动态没有被占据。注意由于这个频率的单值性,不会有其他跃迁会被激发。我们施加特定相位与持续时间的激光来完成一个 $2 \pi$ 的脉冲,也就是在 $|11\rangle$ 与 $|20\rangle$ 张开的空间中旋转 $R_{x}(2 \pi)$ ,它也就是西变换 $|11\rangle \rightarrow-|11\rangle$ 。所有其他的态都保持不变,假定其他不需要的态诸如 $|1,2\rangle$ 都没有概率幅。这实现了式(7.123)所要的变换。我们将把这个门写为 $C_{j}(Z)$(代表一个控制 $Z$ 操作),这里的 $j$ 代表那个被施加了逻辑门的离子。注意同一个声子被所有的离子共享,因为它是质心声子;因此,用工程系的术语,在文献中它被称为声子"总线"量子比特。
最后,我们需要一些方法来交换原子内部自旋态与声子态的量子比特。通过调整激光频率到 $\omega_{0}-\omega_{z}$ ,并设定相位让我们在 $|01\rangle$ 与 $|10\rangle$ 张开的子空间中完成 $R_{y}(\theta)$ 旋转,可以实现它。这不
过是在 $|00\rangle,|01\rangle,|10\rangle,|11\rangle$ 空间中的西操作
$$ \left[\begin{array}{cccc} 1 & 0 & 0 & 0 \tag{7.125}\\ 0 & 0 & 1 & 0 \\ 0 & -1 & 0 & 0 \\ 0 & 0 & 0 & 1 \end{array}\right] $$
如果初始态为 $a|00\rangle+b|10\rangle$(也就是声子初始化到 $|0\rangle$ ),在交换之后的态是 $a|00\rangle+b|01\rangle$ ,那么这样就完成了所需要的交换操作。当作用在离子 $j$ 时,我们把它写为 $\mathrm{SWAP}_{j}$ ;逆操作 $\mathrm{SWAP}_{j}$ 对应于 $R_{y}(-\pi)$ 。技术上而言,由于在 $R_{y}(\pi)$ 中矩阵元 $|10\rangle\langle 01|$ 前面的负号,这不是一个完美的交换操作,但是加上一个相对相位后它等价于交换操作(见习题 4.26 )。因此,这有时候也被记为一次"映射操作",而不是一次交换。

图 7-11 离子阱中原子的 3 个能级,每个能级伴随两个声子态。标记 $|n, m\rangle$ 代表原子态 $n$ ,声子态 $m 。|20\rangle \leftrightarrow$ |11〉跃迁被用于实现控制相位翻转门
把这些门放到一起,使用如下操作序列,我们可以构建一个作用在离子 $j$(控制)和 $k$(目标)上的受控非门。
$$ \begin{equation*} \mathrm{CNOT}_{j k}=H_{k} \overline{\operatorname{SWAP}}_{k} C_{j}(Z) \mathrm{SWAP}_{k} H_{k} \tag{7.126} \end{equation*} $$
(时间从右向左,如通常对矩阵那样)其中 $H_{k}$ 是阿达玛门(通过对离子 $k$ 施加 $R_{y}$ 与 $R_{x}$ 操作而实现)。这与用分束器和光学克尔介质构建受控非门的方法很类似,如式(7.46)所示。
使用单个囚禁离子的受控非门已经展示过了(见章末的"背景资料与延伸阅读");讲讲此实验如何精确地完成,是很有启发性的。实验中,单个 ${ }^{9} \mathrm{Be}^{+}$离子被束缚在一个同轴谐振空腔射频离子阱中。它几何上与图 7-7 中的线性离子阱不同,但是功能上等价,与图 7-12 所示实际离子阱的照片类似。铍被选中是因为它具有适当的超精细与电子能级结构,如图 7-13 所示。 ${ }^{2} \mathrm{~S}_{1 / 2}(1,1)$ 与 ${ }^{2} S_{1 / 2}(2,2)$ 能级(习题 7.28 )被用于原子的内部量子比特态,而 $|0\rangle$ 与 $|1\rangle$ 被作为另外一个量子比特(在图中被记为 $n=0$ 和 $n=1$ )。 ${ }^{2} \mathrm{~S}_{1 / 2}(1,1)$ 与 ${ }^{2} \mathrm{~S}_{1 / 2}(2,2)$ 能级之间 $\approx 313 \mathrm{~nm}$ 的跃迁不是通过调节单束激光匹配跃迁频率,而是要两束激光的频率差等于那个跃迁。这个拉曼跃迁方法简化了
激光相位稳定性的要求。 ${ }^{2} \mathrm{~S}_{1 / 2}(2,0)$ 态被用作辅助能级;由于系统被施加了 0.18 mT 磁场,${ }^{2} \mathrm{~S}_{1 / 2}$态具有不同的能量。囚禁离子在势阱中具有振动频率 $\left(\omega_{x}, \omega_{y}, \omega_{z}\right) / 2 \pi=(11.2,18.2,29.8) \mathrm{MHz}$ ,且基态 $n_{x}=0$ 的波函数展开大约为 7 nm ,相应的的兰姆-迪克系数约为 $\eta_{x}=0.2$ 。共振跃迁的拉比频率为 $\Omega / 2 \pi=140 \mathrm{kHz}$ ,两运动边带拉比频率为 $\eta_{x} \Omega / 2 \pi=30 \mathrm{kHz}$ ,辅助跃迁拉比频率为 $\eta_{x} \Omega^{\prime} / 2 \pi=12 \mathrm{kHz}$ 。

图 7-12 一个微加工出来的椭圆电极离子阱照片,其中有离子被囚禁着。这个阱中的离子是铍,但是基本的原理与文中描述的是一样的。经 IBM Almaden 研究中心的 R.Devoe 和 C.Kurtsiefer 授权使用

图 7-13 离子阱实验中使用的 ${ }^{9} \mathrm{Be}^{+}$的能级图。此图承蒙美国国家标准局 C.Monroe 惠赐
利用多普勒与边带冷却,离子态以大约 $95 \%$ 的概率被初始化到态 $|00\rangle=\left|{ }^{2} \mathrm{~S}_{1 / 2}(2,2)\right\rangle \mid n_{x}=$
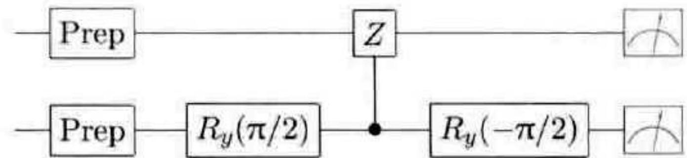
$0\rangle$ 。然后离子的内态与运动态通过单比特操作被制备到 4 组基 $|00\rangle,|01\rangle,|10\rangle$ 或 $|11\rangle$ 。接着用 3 个脉冲施加一个受控非门,即要完成一个对内态量子比特的 $R_{y}(\pi / 2)$ 旋转,一个两量子比特之间的控制 $Z$ 操作,然后是一个对内态量子比特的 $R_{y}(-\pi / 2)$ 旋转。很容易证明(习题 7.32)图7-14所示电路实现了一个受控非门。

图 7-14 代表离子阱受控非门实验的量子电路。上面的线代表声子态,而下面的线代表离子内部超精细态
通过两个测量完成对计算输出的读出。第一个是收集离子的荧光,当调制+圆偏振光使 ${ }^{2} \mathrm{~S}_{1 / 2}(2,2)-{ }^{2} \mathrm{P}_{3 / 2}(3,3)$"循环"跃迁适用时就会出荧光。光不会明显地与 ${ }^{2} S_{1 / 2}(1,1)$ 态耦合,因此观察到的荧光强度与内态量子比特处于 $|0\rangle$ 态的概率成正比;这是一个投影测量。此测量技术很强大,因为跃迁循环很多次——离子吸收一个光子,跃迁到 ${ }^{2} \mathrm{P}_{3 / 2}(3,3)$ 态,然后放出一个光子,衰减回到它起始的 ${ }^{2} \mathrm{~S}_{1 / 2}(2,2)$ 态。几千次或更多循环是可能出现的,允许累积够好的统计。第二个测量与第一个类似,但是首先要加上一个交换脉冲来交换运动与内部态量子比特;从而投影测量了运动态量子比特。
完成的实验验证了受控非操作的经典真值表,且原则上通过制备输人态的量子叠加和测量输出的密度矩阵,西操作可以完全通过过程层析(第 8 章)刻画。参照实验中用的光功率,受控非门需要大约 50 微秒来完成。另外一边,测得的相干时间大约在几百到几千微秒之间。主要的退相干机制包括激光功率和离子阱射频驱动频率与电压幅值的不稳定,以及涨落的外磁场。不仅如此,实验只涉及单个离子和两个量子比特,因而对计算无用;为了有用,受控非门一般应该施加于不同的离子之间,而不是只在单离子与运动态之间。
尽管如此,技术的限制是有望被克服的,而延长相干时间,可以通过间歇地使用短寿命的运动态,从而主要利用更长相干时间的内部原子态而实现。而扩展到更大数目的离子从概念上是可行的。图 7-15 所示是 40 个囚禁的汞离子组成的链。要此系统对于量子信息处理机器有用,存在大量的障碍,但是技术上的意外发现是一个从不终结的传说。某天,类似这样的离子阱有可能可以成为一台量子计算机中量子比特的寄存器。

图 7-15 来自约 40 个囚禁永( ${ }^{199} \mathrm{Hg}^{+}$)原子离子的荧光的图片。离子间距大约为 15 微米,而两个明显的间隙是永离子的不同同位素,它们对探测激光不响应。蒙美国国家标准局的 D.Wineland 允许复印
习题 7.32 证明图 7-14 中的电路等价于一个受控非门(加上相对相位)用声子态作为控制量子比特。