在本节中,我们将研究量子噪声和量子操作的一些具体例子。这些模型说明了我们一直在开发的量子操作形式体系的能力。它们对于理解噪声对量子系统的实际影响及如何通过诸如纠错等技术来控制噪声也很重要。
我们从 8.3.1 节开始,考虑如何能将测量描述为量子操作,特别是我们考虑求迹和偏迹操作。之后,从 8.3.2 节开始我们转向噪声过程,介绍一种用于理解单个量子比特上的量子操作的图形方法。该方法用于本节的其余部分,以说明基本的比特和相位翻转误差过程(见 8.3.3节),去极化信道(见 8.3.4 节),振幅阻尼(见8.3.5节)和相位阻尼(见8.3.6节)。振幅和相位阻尼是理想的模型,抓住了发生在量子力学系统中噪声的最重要的特性,我们不仅会考虑它们抽象的数学形式,还会研究在真实量子系统中此过程如何出现。
量子操作形式体系的主要用途之一是用来描述测量的效果。量子操作可以被用于描述通过对量子系统的一次测量得到某特定结果的概率,以及被测量影响后系统状态的改变。
与测量有关最简单的操作是求迹映射 $\rho \rightarrow \operatorname{tr}(\rho)$ ——用如下的方式我们可以证明它确实是一个量子操作,令 $H_{Q}$ 是希尔伯特空间中的任意输人,由一组正交基 $|1\rangle \cdots|d\rangle$ 张开,然后令 $H_{Q}^{\prime}$ 为一维的输出空间,由 $|0\rangle$ 张开。定义
$$ \begin{equation*} \mathcal{E}(\rho) \equiv \sum_{i=1}^{d}|0\rangle\langle i| \rho|i\rangle\langle 0| \tag{8.83} \end{equation*} $$
因而根据定理 8.1 有 $\mathcal{E}$ 是一个量子操作。注意到 $\mathcal{E}(\rho)=\operatorname{tr}(\rho)|0\rangle\langle 0|$ ,因而加上不重要的乘数 $|0\rangle\langle 0|$ ,这个量子操作与求迹函数等价。
一个更为有用的结果是观察到偏迹是个量子操作。假设我们有一个复合系统 $Q R$ ,并想对系统 $R$ 取迹。令 $|j\rangle$ 是系统 $R$ 的一个基。定义一个线性算子 $E_{i}: H_{Q R} \rightarrow H_{Q}$ 为
$$ \begin{equation*} E_{i}\left(\sum_{j} \lambda_{j}\left|q_{j}\right\rangle|j\rangle\right) \equiv \lambda_{i}\left|q_{i}\right\rangle \tag{8.84} \end{equation*} $$
其中 $\lambda_{j}$ 是复数,而 $\left|q_{j}\right\rangle$ 是系统 $Q$ 的任意态。定义 $\mathcal{E}$ 为一个量子操作,操作元为 $\left\{E_{i}\right\}$ ,也就是
$$ \begin{equation*} \mathcal{E}(\rho) \equiv \sum_{i} E_{i} \rho E_{i}^{\dagger} \tag{8.85} \end{equation*} $$
根据定理 8.1,这是一个从系统 $Q R$ 到系统 $Q$ 的量子操作。注意到
$$ \begin{equation*} \mathcal{E}\left(\rho \otimes|j\rangle\left\langle j^{\prime}\right|\right)=\rho \delta_{j, j^{\prime}}=\operatorname{tr}_{R}\left(\rho \otimes|j\rangle\left\langle j^{\prime}\right|\right) \tag{8.86} \end{equation*} $$
其中 $\rho$ 是系统 $Q$ 上面的任意厄米算子,而 $|j\rangle$ 与 $\left|j^{\prime}\right\rangle$ 是系统 $R$ 的正交基成员。基于 $\mathcal{E}$ 与 $\operatorname{tr}_{R}$ 的线性,可得 $\mathcal{E}=\operatorname{tr}_{R}$ 。
有一种优雅的几何方法可以描绘单个量子比特的量子操作。这种方法可以让人们直观地了解量子操作在布洛赫球上的行为。回想一下习题 2.72 ,单量子比特的状态总是可以写为布洛赫表示
$$ \begin{equation*} \rho=\frac{I+\vec{r} \cdot \vec{\sigma}}{2} \tag{8.87} \end{equation*} $$
其中 $\vec{r}$ 是个三组分的实数矢量。具体而言,这让我们得到
$$ \rho=\frac{1}{2}\left[\begin{array}{cc} 1+r_{z} & r_{x}-\mathrm{i} r_{y} \tag{8.88}\\ r_{x}+\mathrm{i} r_{y} & 1-r_{z} \end{array}\right] $$
在此表示中,实际上任意一个保迹量子操作都等价于一个形如
$$ \begin{equation*} \vec{r} \xrightarrow{\mathcal{E}} \vec{r}^{\prime}=M \vec{r}+\vec{c} \tag{8.89} \end{equation*} $$
的映射,其中 $M$ 是一个 $3 \times 3$ 矩阵,而 $\vec{c}$ 是一个恒定矢量。这是一个仿射映射,把布洛赫球映射为它自身。为了看出这一点,假设产生 $\mathcal{E}$ 的算子和表示算子 $E_{i}$ 写为如下形式
$$ \begin{equation*} E_{i}=\alpha_{i} I+\sum_{k=1}^{3} a_{i k} \sigma_{k} \tag{8.90} \end{equation*} $$
然后不难检查出
$$ \begin{align*} M_{j k} & =\sum_{l}\left[a_{l j} a_{l k}^{*}+a_{l j}^{*} a_{l k}+\left(\left|\alpha_{l}\right|^{2}-\sum_{p} a_{l p} a_{l p}^{*}\right) \delta_{j k}+\mathrm{i} \sum_{p} \epsilon_{j k p}\left(\alpha_{l} a_{l p}^{*}-\alpha_{l}^{*} a_{l p}\right)\right] \tag{8.91}\\ c_{k} & =2 \mathrm{i} \sum_{l} \sum_{j p} \epsilon_{j p k} a_{l j} a_{l p}^{*} \tag{8.92} \end{align*} $$
这里我们使用了完备性条件 $\sum_{i} E_{i}^{\dagger} E_{i}=I$ 来简化 $\vec{c}$ 的表达式。
通过考虑矩阵 $M$ 的极分解,$M=U|M|$( $U$ 是西的),仿射变换式(8.89)的含义就变得更清楚了。因为 $M$ 是实的,从而 $|M|$ 也是实的和厄米的,即 $|M|$ 是一个对称矩阵。不仅如此,因为 $M$ 是实的,我们可以假设 $U$ 也是实的,因而是一个正交矩阵,也就是 $U^{\mathrm{T}} U=I$ ,其中 T 是一个转置操作。于是我们可以写出
$$ \begin{equation*} M=O S \tag{8.93} \end{equation*} $$
其中 $O$ 是一个实的正交矩阵,其行列式的值为 1 ,代表一个适当的旋转,而 $S$ 是一个实的对称矩阵。从这种方式看,式(8.89)不过就是沿由 $S$ 定义的主轴做的变形,紧接一个由 $O$ 带来的转动和 $\vec{c}$ 引起的位移。
习题 8.12 为什么在式(8.93)的分解中我们假设 $O$ 具有行列式值 1 ? 习题 8.13 证明酉变换对应于布洛赫球上的转动。 习题 8.14 证明 $\operatorname{det}(S)$ 不需要是正的。
上面描述的几何图像可以用于形象化某些单量子比特上重要的量子操作,它们以后会用在纠错理论中。比特翻转信道以概率 $1-p$ 从 $|0\rangle$ 到 $|1\rangle$(或者倒过来)翻转一个量子比特。它具有操作元
$$ E_{0}=\sqrt{p} I=\sqrt{p}\left[\begin{array}{ll} 1 & 0 \tag{8.94}\\ 0 & 1 \end{array}\right] \quad E_{1}=\sqrt{1-p} X=\sqrt{1-p}\left[\begin{array}{ll} 0 & 1 \\ 1 & 0 \end{array}\right] $$
比特翻转信道的效果如图 8-8 所示。

图 8-8 当 $p=0.3$ 时,在布洛赫球上的比特翻转信道的效果。左图代表一个全是纯态的集合,而变形的右图代表通过信道之后的态。注意 $\hat{x}$ 轴上的态不变,而 $\hat{y}-\hat{z}$ 平面上的态均匀地以因子 $1-2 p$ 收缩
这个几何图像使得关于这个量子操作的某些事实很容易被验证。比如,很容易验证对单量子比特 $\operatorname{tr}(\rho)$ 的值等于 $\left(1+r^{2}\right) / 2$ ,其中 $|r|$ 是布洛赫向量的范数。图 8-8 所示的布洛赫球收缩不能增加布洛赫向量的范数,因此我们可以立即得出结论, $\operatorname{tr}\left(\rho^{2}\right)$ 只能被比特翻转信道减少。这只是使用几何图像的一个例子;一旦对它变得足够熟悉,它就将成为有关单量子比特上量子操作特性的深刻见解之源。
相位翻转信道具有操作元
$$ E_{0}=\sqrt{p} I=\sqrt{p}\left[\begin{array}{ll} 1 & 0 \tag{8.95}\\ 0 & 1 \end{array}\right] \quad E_{1}=\sqrt{1-p} Z=\sqrt{1-p}\left[\begin{array}{cc} 1 & 0 \\ 0 & -1 \end{array}\right] $$
相位翻转信道的效果如图 8-9 所示。作为相位翻转信道的一个特殊的情况,考虑当我们选取 $p=$ $1 / 2$ 时所产生的量子操作。利用算子和表示的自由性,此操作可写作
$$ \begin{equation*} \rho \rightarrow \mathcal{E}(\rho)=P_{0} \rho P_{0}+P_{1} \rho P_{1} \tag{8.96} \end{equation*} $$
其中 $P_{0}=|0\rangle\langle 0|, P_{1}=|1\rangle\langle 1|$ ,对应于在 $|0\rangle,|1\rangle$ 两个基矢上测量一个量子比特,而测量的结果是未知的。利用上面的方法,很容易看到相应的布洛赫球上的映射为
$$ \begin{equation*} \left(r_{x}, r_{y}, r_{z}\right) \rightarrow\left(0,0, r_{z}\right) \tag{8.97} \end{equation*} $$
几何上而言,这个布洛赫向量沿着 $\hat{x}$ 轴投影,而布洛赫向量的 $\hat{x}$ 与 $\hat{y}$ 成分丢失掉了。

图 8-9 布洛赫球上相位翻转信道的效应,对于 $p=0.3$ 。注意态的 $\hat{z}$ 轴分量不变,而 $\hat{x}-\hat{y}$ 平面上的态以因子 $1-2 p$ 均匀地收缩
比特相位翻转信道具有操作元
$$ E_{0}=\sqrt{p} I=\sqrt{p}\left[\begin{array}{ll} 1 & 0 \tag{8.98}\\ 0 & 1 \end{array}\right] \quad E_{1}=\sqrt{1-p} Y=\sqrt{1-p}\left[\begin{array}{cc} 0 & -\mathrm{i} \\ \mathrm{i} & 0 \end{array}\right] $$
顾名思义,这是一个相位翻转与一个比特翻转的组合,因为 $Y=i X Z$ 。比特相位翻转信道的效果如图8-10 所示。 习题 8.15 假设一个投影测量作用于一个量子比特上,基为 $|+\rangle$ 和 $|-\rangle$ ,其中 $| \pm\rangle \equiv(|0\rangle \pm|1\rangle) / \sqrt{2}$ 。如果我们不知道测量结果,测量矩阵会根据公式
$$ \begin{equation*} \rho \rightarrow \mathcal{E}(\rho)=|+\rangle\langle+| \rho|+\rangle\langle+|+|-\rangle\langle-| \rho|-\rangle\langle-| \tag{8.99} \end{equation*} $$
演化。在布洛赫球上说明此变换。

图 8-10 当 $p=0.3$ 时,布洛赫球上比特相位翻转信道的效果。注意 $\hat{y}$ 轴上的态不变,而 $\hat{x}-\hat{z}$ 平面上的态以因子 $1-2 p$ 均匀收缩
习题 8.16 用于理解单量子比特量子操作的图像方法是通过保迹量子操作推导出来的。找到一个非保迹量子操作的具体例子,它不能被布洛赫球的变形,再加上旋转和位移所描述。
退极化信道是量子噪声的一种重要的类型。想象我们选取一个量子比特,且此量子比特以一定的概率 $p$ 退极化。也就是,它被一个完全混态 $I / 2$ 所替代。量子比特有概率 $1-p$ 是不变的。在经历此噪声后量子系统的态为
$$ \begin{equation*} \mathcal{E}(\rho)=\frac{p I}{2}+(1-p) \rho \tag{8.100} \end{equation*} $$
退极化信道在布洛赫球上的效果如图 8-11 所示。

图 8-11 当 $p=0.5$ 时,退极化通道在布洛赫球上的效果。注意整个球面是如何均匀地作为 $p$ 的函数收缩
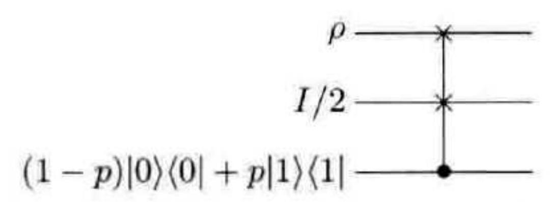
模拟去极化通道的量子电路如图 8-12 所示。电路顶部的线是去极化信道的输人,而底部两条线用于模拟信道的"环境"。我们使用了具有两个混合态输入的环境。想法在于,第三个量子比特初始时处于混态,以 $1-p$ 的概率为 $|0\rangle$ 态,以 $p$ 的概率处于 $|1\rangle$ 态。它用于控制是否把存在第二个量子比特中的完全混态 $I / 2$ 交换到第一个量子比特中。

图8-12 退极化信道的量子电路实现
式(8.100)的形式并不是算子和表示。但是,如果我们观察到对于任意 $\rho$
$$ \begin{equation*} \frac{I}{2}=\frac{\rho+X \rho X+Y \rho Y+Z \rho Z}{4} \tag{8.101} \end{equation*} $$
然后把 $I / 2$ 代人式(8.100),我们将得到
$$ \begin{equation*} \mathcal{E}(\rho)=\left(1-\frac{3 p}{4}\right) \rho+\frac{p}{4}(X \rho X+Y \rho Y+Z \rho Z) \tag{8.102} \end{equation*} $$
表明退极化信道具有操作元 ${\sqrt{1-3 p / 4} I, \sqrt{p} X / 2, \sqrt{p} Y / 2, \sqrt{p} Z / 2}$ 。顺便提一下,通常以不同方式对去极化通道进行参数化是很方便的,例如
$$ \begin{equation*} \mathcal{E}(\rho)=(1-p) \rho+\frac{p}{3}(X \rho X+Y \rho Y+Z \rho Z) \tag{8.103} \end{equation*} $$
它具有如下解释,量子态 $\rho$ 以概率 $1-p$ 保持不变,而算符 $X, Y$ 和 $Z$ 实施的概率都是 $p / 3$ 。 习题 8.17 以如下方法验证式(8.101)。定义
$$ \begin{equation*} \mathcal{E}(A) \equiv \frac{A+X A X+Y A Y+Z A Z}{4} \tag{8.104} \end{equation*} $$
然后证明
$$ \begin{equation*} \mathcal{E}(I)=I ; \quad \mathcal{E}(X)=\mathcal{E}(Y)=\mathcal{E}(Z)=0 \tag{8.105} \end{equation*} $$
现在使用单量子比特密度矩阵的布洛赫球表示来证明式(8.101)。 当然,去极化信道也可以推广到维度大于 2 的量子系统。对于 $d$ 维量子系统,去极化信道同样以概率 $p$ 替换具有完态 $I / d$ 的量子系统,否则保持状态不变。相应的量子操作是
$$ \begin{equation*} \mathcal{E}(\rho)=\frac{p I}{d}+(1-p) \rho \tag{8.106} \end{equation*} $$
习题8.18 对于 $k \geqslant 1$ ,证明退极化信道的作用不会让 $\operatorname{tr}\left(\rho^{k}\right)$ 增加。 习题8.19 找到作用于 $d$ 维希尔伯特空间上的退极化信道的算子和表示。
量子操作的一个重要应用是对能量耗散的描述——由量子系统的能量损失带来的影响。原子自发辐射一个光子的动力学是什么?高温自旋系统如何与其环境达到热平衡?当干涉仪或腔中光
子受到散射和衰减时,它的状态是什么? 这些过程中的每一个都有其独特的特征,但是所有这些过程的一般行为都由被称为振幅阻尼的量子操作很好地表征,我们可以通过考虑以下场景来推导出它。假设我们有一个光学模式,包含量子态 $a|0\rangle+b|1\rangle, 0$ 或 1 个光子的叠加。可以通过考虑在光子路径中插人部分镀银的镜子——分束器——来模拟来自该模式光子的散射。正如我们在 7.4.2 节中看到的那样,这个分束器允许把光子耦合到另一光学模式(代表环境),相应的西变换 $B=\exp \left[\theta\left(a^{\dagger} b-a b^{\dagger}\right)\right]$ ,其中的 $a, a^{\dagger}$与 $b, b^{\dagger}$ 表示两个模式中光子的湮灭与产生算符。假设环境从零光子开始,那么经过分束器后的输出就是很简单的 $B|0\rangle(a|0\rangle+b|1\rangle)=a|00\rangle+b(\cos \theta|01\rangle+\sin \theta|10\rangle)$ ,这里用到了式(7.34)。通过对环境取迹,我们得到量子操作
$$ \begin{equation*} \mathcal{E}_{\mathrm{AD}}(\rho)=E_{0} \rho E_{0}^{\dagger}+E_{1} \rho E_{1}^{\dagger} \tag{8.107} \end{equation*} $$
其中 $E_{k}=\langle k| B|0\rangle$ 是
$$ \begin{align*} & E_{0}=\left[\begin{array}{cc} 1 & 0 \\ 0 & \sqrt{1-\gamma} \end{array}\right] \\ & E_{1}=\left[\begin{array}{cc} 0 & \sqrt{\gamma} \\ 0 & \sqrt{\gamma} \end{array}\right] \tag{8.108} \end{align*} $$
即为振幅阻尼的操作元。 $\gamma=\sin {}^{2} \theta$ 可以被看成是损失一个光子的概率。 观察到 $E_{0}$ 和 $E_{1}$ 不能通过线性组合给出与单位算子成比例的操作元(通过与习题 8.23 对比)。 $E_{1}$ 操作将 $|1\rangle$ 态变为 $|0\rangle$ 态,对应于向环境中损失能量量子的物理过程。 $E_{0}$ 保持 $|0\rangle$ 不变,但减小 $|1\rangle$ 态的振幅;在物理上,这是因为能量量子没有损失到环境中,因此环境现在认为系统更有可能处于 $|0\rangle$ 态,而不是 $|1\rangle$ 态。
习题 8.20 (振幅阻尼的电路模型)证明图 8-13 所示电路模拟了振幅阻尼量子操作,且 $\sin {}^{2}(\theta / 2)=$ $\gamma$ 。

图 8-13 振幅阻尼的电路模型 习题 8.21 (谐振子的振幅阻尼)假设我们的主系统,一个简谐振子,与由另外一个谐振子模拟的环境相互作用,相互作用哈密顿量为
$$ \begin{equation*} H=\chi\left(a^{\dagger} b+b^{\dagger} a\right) \tag{8.109} \end{equation*} $$
其中 $a$ 和 $b$ 是相应的谐振子的湮灭算符,如 7.3 节所定义的那样。 1.使用 $U=\exp (-\mathrm{i} H \Delta t)$ ,标记 $b^{\dagger} b$ 的本征态为 $\left|k_{b}\right\rangle$ ,并选择真空态 $\left|0_{b}\right\rangle$ 为环境的初态,证明
操作元 $E_{k}=\left\langle k_{b}\right| U\left|0_{b}\right\rangle$ 被发现写为
$$ \begin{equation*} E_{k}=\sum_{n} \sqrt{\binom{n}{k}} \sqrt{(1-\gamma)^{n-k} \gamma^{k}}|n-k\rangle\langle n| \tag{8.110} \end{equation*} $$
其中 $\gamma=1-\cos {}^{2}(\chi \Delta t)$ 为丢失单个能量量子的概率,而类似 $|n\rangle$ 的态是 $a^{\dagger} a$ 的本征态。 2.证明操作元 $E_{k}$ 定义了一个保迹的量子操作。 习题 8.22 (单量子比特密度矩阵的振幅阻尼)对一个一般的单量子比特态
$$ \rho=\left[\begin{array}{ll} a & b \tag{8.111}\\ b^{*} & c \end{array}\right] $$
证明振幅阻尼导致
$$ \mathcal{E}_{\mathrm{AD}}(\rho)=\left[\begin{array}{cc} 1-(1-\gamma)(1-a) & b \sqrt{1-\gamma} \tag{8.112}\\ b^{*} \sqrt{1-\gamma} & c(1-\gamma) \end{array}\right] $$
习题 8.23 (双轨量子比特的振幅阻尼)假设一个量子比特态由两个量子比特表示为
$$ \begin{equation*} |\psi\rangle=a|01\rangle+b|10\rangle \tag{8.113} \end{equation*} $$
证明 $\mathcal{E}_{\mathrm{AD}} \otimes \mathcal{E}_{\mathrm{AD}}$ 作用于此态导致的过程可以由如下矩阵元描述
$$ \begin{align*} & E_{0}^{\mathrm{dr}}=\sqrt{1-\gamma} I \tag{8.114}\\ & E_{1}^{\mathrm{dr}}=\sqrt{\gamma}[|00\rangle\langle 01|+|00\rangle\langle 10|] \tag{8.115} \end{align*} $$
也就是,要么量子比特上什么都不发生( $E_{0}^{\mathrm{dr}}$ ),要么量子比特被变换( $E_{1}^{\mathrm{dr}}$ )到 $|00\rangle$ 态,它与 $|\psi\rangle$正交。这是一个简单的纠错码,而且也是 7.4 节中讨论过的"双轨"量子比特稳定性基础所在。
习题8.24(自发辐射是振幅阻尼)单个原子与一个单模电磁辐射耦合,将会出现自发辐射,如 7.6.1 节描述的那样。为了看出此过程不过就是振幅阻尼,使用来自 Jaynes-Cummings 相互作用公式(7.77)(此时 $\delta=0$ )的西操作,并通过对场取迹给出量子操作。
量子操作的一个通用的特性是在操作下不变的一组态集合。比方说,我们已经看到相位翻转信道让布洛赫球上的 $\hat{z}$ 轴不变;这对应于形如 $p|0\rangle\langle 0|+(1-p)|1\rangle\langle 1|$ 的态,其中概率 $p$ 任意。对于振幅阻尼的情况,只有基态 $|0\rangle$ 是不变的。那是我们模拟环境时就从 $|0\rangle$ 态开始的自然的推论,就像它处于零温。
对于环境处于有限温时,什么样的量子操作描述了耗散的效果?此过程 $\mathcal{E}_{\mathrm{GAD}}$ 被称为广义振幅阻尼,由如下对单量子比特的操作元定义
$$ E_{0}=\sqrt{p}\left[\begin{array}{cc} 1 & 0 \tag{8.116}\\ 0 & \sqrt{1-\gamma} \end{array}\right] $$
$$ \begin{align*} & E_{1}=\sqrt{p}\left[\begin{array}{cc} 0 & \sqrt{\gamma} \\ 0 & 0 \end{array}\right] \tag{8.117}\\ & E_{2}=\sqrt{1-p}\left[\begin{array}{cc} \sqrt{1-\gamma} & 0 \\ 0 & 1 \end{array}\right] \tag{8.118}\\ & E_{3}=\sqrt{1-p}\left[\begin{array}{cc} 0 & 0 \\ \sqrt{\gamma} & 0 \end{array}\right] \tag{8.119} \end{align*} $$
其中的稳态为
$$ \rho_{\infty}=\left[\begin{array}{cc} p & 0 \tag{8.120}\\ 0 & 1-p \end{array}\right] $$
满足 $\mathcal{E}_{\mathrm{GAD}}\left(\rho_{\infty}\right)=\rho_{\infty}$ 。广义振幅阻尼描述了由于自旋耦合到其周围晶格的"$T_{1}$"弛豫过程。晶格是一个大的系统,通常在远高于自旋温度的温度下处于热平衡态。这是与 NMR 量子计算相关的情况,专题 8.3 中描述的一些有关 $\mathcal{E}_{\mathrm{GAD}}$ 的性质在这里就变得重要了。
在 7.7 节中引入的"有效纯态"概念被发现对量子计算的 NMR 实现很有用。这些态在酉变换下和对无迹可观测量的测量中表现得跟纯态一样。它们在量子操作下的行为如何?一般来说,非酉的量子操作破坏了这些态的有效性,但是让人吃惊的是,它们能够在广义振幅阻尼中运转良好。
考虑一个单量子比特的有效纯态 $\rho=(1-p) I+(2 p-1)|0\rangle\langle 0|$ 。很清楚,无迹可观测量的测量作用于 $U \rho U^{\dagger}$ 上,产生的结果与作用于纯态 $U|0\rangle\langle 0| U^{\dagger}$ 的结果成正比。假设 $\rho$ 是 $\mathcal{E}_{\mathrm{GAD}}$的稳态。有趣的是,在此情形下
$$ \begin{equation*} \mathcal{E}_{\mathrm{GAD}}\left(U \rho U^{\dagger}\right)=(1-p) I+(2 p-1) \mathcal{E}_{\mathrm{AD}}\left(U \rho U^{\dagger}\right) \tag{8.121} \end{equation*} $$
也就是,在广义振幅阻尼下,一个有效纯态可以继续保持,而且更进一步,$\rho$ 中"纯"的那部分表现得就像在经受零温热库下的振幅阻尼那样。
习题 8.25 如果我们假设处于平衡态时,$|0\rangle$ 与 $|1\rangle$ 态满足玻尔兹曼分布,$p_{0}=\mathrm{e}^{-E_{0} / k_{\mathrm{B}} T} / \mathcal{Z}$ 和 $p_{1}=\mathrm{e}^{-E_{1} / k_{\mathrm{B}} T} / \mathcal{Z}$ ,其中 $E_{0}$ 是 $|0\rangle$ 态能量,$E_{1}$ 是 $|1\rangle$ 态能量,而 $\mathcal{Z}=\mathrm{e}^{-E_{0} / k_{\mathrm{B}} T}+\mathrm{e}^{-E_{1} / k_{\mathrm{B}} T}$ ,由

我们可以在布洛赫表示下图像化振幅阻尼的效应为这个布洛赫向量的变换
$$ \begin{equation*} \left(r_{x}, r_{y}, r_{z}\right) \rightarrow\left(r_{x} \sqrt{1-\gamma}, r_{y} \sqrt{1-\gamma}, \gamma+r_{z}(1-\gamma)\right) \tag{8.122} \end{equation*} $$
当 $\gamma$ 被一个随时间变化的函数如 $1-\mathrm{e}^{-t / T_{1}}$ 代替时( $t$ 是时间,而 $T_{1}$ 只是某刻画过程速度的常数),正如实际物理过程中常见的那样,我们可以把振幅阻尼的效果形象化为布洛赫球上的流,
它把单位圆中的每一个点都朝北极,也就是 $|0\rangle$ 所在的稳定点移动,如图 8-14 所示。

图 8-14 对于 $p=0.8$ 时,布洛赫球上振幅阻尼信道的影响。注意,整个球如何朝北极,也就是 $|0\rangle$ 态收缩 类似地,广义振幅阻尼完成变换
$$ \begin{equation*} \left(r_{x}, r_{y}, r_{z}\right) \rightarrow\left(r_{x} \sqrt{1-\gamma}, r_{y} \sqrt{1-\gamma}, \gamma(2 p-1)+r_{z}(1-\gamma)\right) \tag{8.123} \end{equation*} $$
比较式(8.122)和式(8.123),很明显振幅阻尼与广义振幅阻尼的区别只在于流的稳定点位置;最终态位于 $\hat{z}$ 轴的 $(2 p-1)$ 点,它是一个混态。
相位阻尼是一种独特的量子力学噪声过程,描述了量子信息损失而没有能量损失。比如,物理上它描述了当光子通过波导随机散射时会发生什么,或者在与远处电荷相互作用时原子中的电子状态如何被扰动。量子系统的能量本征态不随时间变化,而是积累与特征值成比例的相位。当一个系统演化的时间并不被准确地知道时,关于这个量子相位的部分信息——能量本征态之间的相对相位——就会丢失。
这种噪声的一个非常简单的模型如下所示。假设我们有一个量子比特 $|\psi\rangle=a|0\rangle+b|1\rangle$ ,对它施加旋转操作 $R_{z}(\theta)$ ,其中旋转角 $\theta$ 是随机的。比如,随机性可以源自与环境的确定性相互作用,环境不与系统再次相互作用,因而是被隐式地测量(见 4.4 节)。我们将这个随机的 $R_{z}$ 操作称为相位反冲。让我们假设相位反冲角 $\theta$ 由一个随机变量很好地代表,它具有高斯分布,平均值为 0 ,方差为 $2 \lambda$ 。
此过程的输出态通过把密度矩阵对 $\theta$ 取平均获得:
$$ \begin{align*} \rho & =\frac{1}{\sqrt{4 \pi \lambda}} \int_{-\infty}^{\infty} R_{z}(\theta)|\psi\rangle\langle\psi| R_{z}^{\dagger}(\theta) \mathrm{e}^{-\theta^{2} / 4 \lambda} \mathrm{~d} \theta \tag{8.124}\\ & =\left[\begin{array}{cc} |a|^{2} & a b^{*} \mathrm{e}^{-\lambda} \\ a^{*} b \mathrm{e}^{-\lambda} & |b|^{2} \end{array}\right] \tag{8.125} \end{align*} $$
随机相位反冲导致密度矩阵非对角元的期望值随时间指数衰减。那是相位阻尼的一个特征结果。
另外一种推导相位阻尼量子操作的方法是考虑两个谐振子之间的相互作用,类似上一节中推导振幅阻尼的方式,但是此时相互作用哈密顿量为
$$ \begin{equation*} H=\chi a^{\dagger} a\left(b+b^{\dagger}\right) \tag{8.126} \end{equation*} $$
令 $U=\exp (-i H \Delta t)$ ,只考虑 $a$ 振子的 $|0\rangle$ 和 $|1\rangle$ 作为我们的系统,并把环境振子初始化到 $|0\rangle$ ,我们发现对环境取迹给出的操作元为 $E_{k}=\left\langle k_{b}\right| U\left|0_{b}\right\rangle$ ,它们是
$$ \begin{align*} & E_{0}=\left[\begin{array}{cc} 1 & 0 \\ 0 & \sqrt{1-\lambda} \end{array}\right] \tag{8.127}\\ & E_{1}=\left[\begin{array}{cc} 0 & 0 \\ 0 & \sqrt{\lambda} \end{array}\right] \tag{8.128} \end{align*} $$
其中 $\lambda=1-\cos {}^{2}(\chi \Delta t)$ 可以被解释为系统中的一个光子被散射(不损失能量)的概率。类似于振幅阻尼的情况,$E_{0}$ 让 $|0\rangle$ 保持不变,但降低 $|1\rangle$ 态的振幅;但是与振幅阻尼不同的是,$E_{1}$ 操作摧毁 $|0\rangle$ 并降低 $|1\rangle$ 态的振幅,而不把它变到 $|0\rangle$ 。
利用定理 8.2 量子操作的西自由性,我们发现 $E_{0}$ 和 $E_{1}$ 的西再合并给出了相位阻尼操作元的一个新集合
$$ \begin{align*} & \tilde{E}_{0}=\sqrt{\alpha}\left[\begin{array}{ll} 1 & 0 \\ 0 & 1 \end{array}\right] \tag{8.129}\\ & \tilde{E}_{1}=\sqrt{1-\alpha}\left[\begin{array}{cc} 1 & 0 \\ 0 & -1 \end{array}\right] \tag{8.130} \end{align*} $$
其中 $\alpha=(1+\sqrt{1-\lambda}) / 2$ 。因而相位阻尼操作与我们在 8.3 .3 节遇到的相位翻转信道完全一样。 因为相位阻尼与相位翻转信道一样,所以我们已经知道如何在布洛赫球上形象化它了,见图 8-9。这对应于一个布洛赫向量变换
$$ \begin{equation*} \left(r_{x}, r_{y}, r_{z}\right) \rightarrow\left(r_{x} \sqrt{1-\lambda}, r_{y} \sqrt{1-\lambda}, r_{z}\right) \tag{8.131} \end{equation*} $$
它的效应在于把球压缩为椭球。由于历史原因,相位阻尼通常被称为"$T_{2}$"(或者自旋一自旋)弛豫过程,其中 $\mathrm{e}^{-t / 2 T_{2}}=\sqrt{1-\lambda}$ 。作为时间的函数,阻尼大小随之增加,对应于一个所有单位球上的点向内朝着 $\hat{z}$ 轴的流动。注意沿着 $\hat{z}$ 轴的态保持不变。
历史上,相位阻尼是一个几乎总被想象为物理上随机相位反冲或散射过程的结果。直到在发展量子纠错时,它与相位翻转信道的联系被发现之后,才予以否定。因为当时认为相位噪声是连续的,而无法被离散过程所描述!实际上,单量子比特错误总可以被想象为来自于一个物理过程,其中要么量子比特上以概率 $\alpha$ 没事发生,要么量子比特以 $1-\alpha$ 的概率被泡利 $Z$ 操作翻转。尽管这也许不是真正发生的微观物理过程,但以在单量子比特上离散的时间间隔发生的变换为出发点,与底层的随机过程比较,它们毫无区别。
相位阻尼是量子计算与量子信息研究中最微妙与最重要的过程。它一直是被大量研究和思考的主题,特别是关于为什么我们周围的世界看起来如此经典,叠加态不是我们日常经验的一部分!也许是相位阻尼导致日常不存在叠加态(习题 8.31 )?开创性的量子物理学家薛定谔可能是第一个提出此问题的人,他以一种特别鲜明的形式做到了这一点,如专题 8.4 所述。
习题 8.26(相位阻尼的电路模型)证明当 $\theta$ 选择恰当时,图 8-15 所示电路可用于模拟相位阻尼量子操作。

图 8-15 相位阻尼的电路模型。上面的电路携带输人的量子比特未知状态,而下面的线是一个辅助量子比特,用于模拟环境
习题8.27(相位阻尼 $=$ 相位翻转信道)给出一个西变换,把式(8.127)和式(8.128)中的操作元与式(8.129)和式(8.130)中的操作元联系起来。也就是找到 $u$ 使得 $\tilde{E}_{k}=\sum_{j} u_{k j} E_{j}$ 。 习题 8.28 (一个受控非相位阻尼模拟电路)证明受控非门可用于相位阻尼的模型,如果令环境的初始态为混态,其阻尼的大小由态处于混态的概率所决定。 习题8.29(单值性)一个量子过程 $\mathcal{E}$ 是单值的,如果 $\mathcal{E}(I)=I$ 。证明退相位与相位阻尼信道都是单值的,而振幅阻尼不是。
习题8.30( $\left.T_{2} \leqslant T_{1} / 2\right) ~ T_{2}$ 相位相干弛豫率不过就是量子比特密度矩阵非对角元的指数衰减率,而 $T_{1}$ 是对角元的衰减率(见式(7.144))。振幅阻尼的 $T_{1}$ 与 $T_{2}$ 都非零;证明对于振幅阻尼有 $T_{2}=T_{1} / 2$ 。同时证明,如果振幅与相位阻尼同时出现,那么 $T_{2} \leqslant T_{1} / 2$ 。
习题 8.31 (相位阻尼的指数敏感性)利用式(8.126)证明一个简谐振子的矩阵元 $\rho_{n m}=\langle n| \rho|m\rangle$在相位阻尼的作用下,以一定的常数 $\lambda$ 指数衰减 $\mathrm{e}^{-\lambda(n-m)^{2}}$ 。
当我听说薛定㗄的猫之后,我拿起了枪。
——斯蒂芬•霍金
薛定㗄著名的猫面对生与死,取决于一个自动装置,如果观察到激发原子态衰变,它就会破坏一小瓶毒药并杀死猫,如下图所示:

薛定㗄问,当原子处于叠加态时会发生什么?猫是死是活?为什么这种叠加态不会发生在日常的世界?通过认识到这个难题极难在现实生活中发生,可以解决此难题。令一个量子比特代表原子,复合系统的初态是一个等权重的叠加态 $\mid$ 活 $\rangle(|0\rangle+|1\rangle) / \sqrt{2}$(这代表对实际物理的简化,它们通常也涉及不到这里)。如果原子处于 $|0\rangle$ 态,仪器就杀死猫;否则猫存活。这给出了态 $|\psi\rangle=[\mid$ 死 $\rangle|0\rangle+\mid$ 活 $\rangle|1\rangle] / \sqrt{2}$ ,其中猫的状态与原子的状态变得纠缠起来了。这似乎暗示猫将会同时处于生与死,但是假如我们考虑此状态的密度矩阵,
$$ \begin{align*} \rho= & |\psi\rangle\langle\psi| \tag{8.132}\\ = & \left.\frac{1}{2}[\mid \text { 活, } 1\rangle\langle\text { 活, } 1|+\mid \text { 死, } 0\right\rangle\langle\text { 死, } 0| \\ & +\mid \text { 活, } 1\rangle\langle\text { 死, } 0|+\mid \text { 死, } 0\rangle\langle\text { 活, } 1|] \tag{8.133} \end{align*} $$
现在,实际上我们无法完美地把猫与原子在它们的盒子中隔离出来,因此关于此叠加态的信息将会泄漏到外部世界中。例如,来自猫身体的热量可以渗透到墙壁上,并向外部暗示其状态。这种效应可以被建模为相位阻尼,它会使 $\rho$ 中的两个最终(非对角)项指数地衰减。在一级近似下,我们可以将猫-原子系统建模为一个简谐振子。关于这种系统的退相干的一个重要结果是,有更高能量差的状态之间的相干比具有较低能量差的状态之间的相干衰减更快 (习题 8.31 )。因此,$\rho$ 将迅速转变为接近对角态,对应于死或活的猫-原子态的系综,而不处于两个态的叠加。
量子操作形式体系适合作为一个强有力工具,因此有大量的应用。本节我们讲讲其中的两个应用。8.4.1 节描述主方程的理论,这是一个与量子操作形式体系互补的量子噪声图像。主方程方法利用微分方程以连续时间的方式来描述量子噪声,这是一个物理学家经常使用的处理量子噪声的方法。8.4.2 节描述量子过程层析,这是用于实验上确定量子系统动力学的途径。
开放量子系统在广泛的学科中都会出现,很多其他的不同于量子操作的工具也在他们的研究中被发展出来。在本节中,我们简要地描述其中一个工具,主方程的方法。
开放系统的动力学在量子光学领域中得到了充分的研究。在此领域中主要的目标是用一个微分方程来描述一个开放系统的时间演化,它能恰当地描述一个非酉的行为。这种描述由主方程来完成,它可以写为最一般的 Lindblad 形式
$$ \begin{equation*} \frac{\mathrm{d} \rho}{\mathrm{~d} t}=-\frac{\mathrm{i}}{\hbar}[H, \rho]+\sum_{j}\left[2 L_{j} \rho L_{j}^{\dagger}-\left\{L_{j}^{\dagger} L_{j}, \rho\right\}\right] \tag{8.134} \end{equation*} $$
其中 ${x, y}=x y+y x$ 代表一个反对易子,$H$ 是系统哈密顿量,一个代表动力学相干部分的厄米算符,$L_{j}$ 是 Lindblad 算子,代表系统与环境的耦合。微分方程采用上述形式,使得该过程类似于先前针对量子操作所描述的那样,是完全正定的。通常还假设系统和环境始于直积态。此外,为了推导出过程的主方程,通常从系统-环境模型哈密顿量开始,然后进行玻恩和马尔可夫近似以确定 $L_{j}$ 。注意,在主方程方法中, $\operatorname{tr}[\rho(t)]=1$ 始终为 1 。
作为一个 Lindblad 方程的例子,考虑一个二能级原子与真空耦合,出现自发辐射。原子演化的相干部分由哈密顿量 $H=-\hbar \omega \sigma_{z} / 2$ 描述。 $\hbar \omega$ 是原子能级差。自发辐射导致处于激发态( $|1\rangle$ )的原子掉到基态( $|0\rangle$ ),并在此过程中放出一个光子。这个辐射由 Lindblad 算子 $\sqrt{\gamma} \sigma_{-}$描述,其中 $\sigma_{-} \equiv|0\rangle\langle 1|$ 是原子的下降算符,而 $\gamma$ 是自发辐射率。描述此过程的主方程为
$$ \frac{\mathrm{d} \rho}{\mathrm{~d} t}=-\frac{\mathrm{i}}{\hbar}[H, \rho]+\gamma\left[2 \sigma_{-} \rho \sigma_{+}-\sigma_{+} \sigma_{-} \rho-\rho \sigma_{+} \sigma_{-}\right] $$
其中 $\sigma_{+} \equiv \sigma_{-}^{\dagger}$ 是原子上升算符。 为了求解此方程,最好是转移到相互作用绘景中,也就是用如下变换
$$ \begin{equation*} \tilde{\rho}(t) \equiv \mathrm{e}^{\mathrm{i} H t} \rho(t) \mathrm{e}^{-\mathrm{i} H t} \tag{8.136} \end{equation*} $$
$\tilde{\rho}$ 的运动方程很容易被找到
$$ \begin{equation*} \frac{\mathrm{d} \tilde{\rho}}{\mathrm{~d} t}=\gamma\left[2 \tilde{\sigma}_{-} \tilde{\rho} \tilde{\sigma}_{+}-\tilde{\sigma}_{+} \tilde{\sigma}_{-} \tilde{\rho}-\tilde{\rho} \tilde{\sigma}_{+} \tilde{\sigma}_{-}\right] \tag{8.137} \end{equation*} $$
其中
$$ \begin{align*} & \tilde{\sigma}_{-} \equiv \mathrm{e}^{\mathrm{i} H t} \sigma_{-} \mathrm{e}^{-\mathrm{i} H t}=\mathrm{e}^{-\mathrm{i} \omega t} \sigma_{-} \tag{8.138}\\ & \tilde{\sigma}_{+} \equiv \mathrm{e}^{\mathrm{i} H t} \sigma_{+} \mathrm{e}^{-\mathrm{i} H t}=\mathrm{e}^{\mathrm{i} \omega t} \sigma_{+} \tag{8.139} \end{align*} $$
因而最终的方程是
$$ \begin{equation*} \frac{\mathrm{d} \tilde{\rho}}{\mathrm{~d} t}=\gamma\left[2 \sigma_{-} \tilde{\rho} \sigma_{+}-\sigma_{+} \sigma_{-} \tilde{\rho}-\tilde{\rho} \sigma_{+} \sigma_{-}\right] \tag{8.140} \end{equation*} $$
此方程用 $\tilde{\rho}$ 的布洛赫向量表示很容易求解,得到
$$ \begin{align*} & \lambda_{x}=\lambda_{x}(0) \mathrm{e}^{-\gamma t} \tag{8.141}\\ & \lambda_{y}=\lambda_{y}(0) \mathrm{e}^{-\gamma t} \tag{8.142}\\ & \lambda_{z}=\lambda_{z}(0) \mathrm{e}^{-2 \gamma t}+1-\mathrm{e}^{-2 \gamma t} \tag{8.143} \end{align*} $$
定义 $\gamma^{\prime}=1-\exp (-2 t \gamma)$ ,我们可以很容易地检查得到此演化等价于
$$ \begin{equation*} \tilde{\rho}(t)=\mathcal{E}(\tilde{\rho}(0)) \equiv E_{0} \tilde{\rho}(0) E_{0}^{\dagger}+E_{1} \tilde{\rho}(0) E_{1}^{\dagger} \tag{8.144} \end{equation*} $$
其中
$$ \begin{align*} E_{0} & \equiv\left[\begin{array}{cc} 1 & 0 \\ 0 & \sqrt{1-\gamma^{\prime}} \end{array}\right] \tag{8.145}\\ E_{1} & \equiv\left[\begin{array}{cc} 0 & \sqrt{\gamma^{\prime}} \\ 0 & 0 \end{array}\right] \tag{8.146} \end{align*} $$
是定义了量子操作 $\mathcal{E}$ 的操作元。注意,与式(8.108)比较, $\mathcal{E}$ 的效果是振幅阻尼。我们考虑的这个模型是自旋-波色模型的一个范例,在其中一个小的,有限维的量子系统与一个简谐振子热库相互作用。物理上而言,这在描述原子与电磁辐射相互作用中很重要,正如在腔 QED,或在原子和离子势阱中那样。
主方程方法没有量子操作形式体系那样的一般性。解出主方程允许人们确定密度矩阵的事件依赖性。知道这一点,反过来意味着结果可以被表示为一个算子和表示的量子操作,
$$ \begin{equation*} \rho(t)=\sum_{k} E_{k}(t) \rho(0) E_{k}^{\dagger}(t), \tag{8.147} \end{equation*} $$
其中 $E_{k}(t)$ 是依赖于时间的操作元,由主方程的解所确定。但是,一个由算子和表示描述的量子过程不一定能写为一个主方程。比如,量子操作可以描述非马尔可夫过程,仅仅是因为它们只描述态的变化,而不是时间演化。不论如何,每种方法都有自己的位置。实际上,哪怕是量子操作也没有提供最一般的描述;我们在 8.5 节中将考虑一些无法被量子操作所描述的过程。
量子操作给开放量子系统提供了一个强有力的数学工具,且很容易被形象化(至少对量子比特)——但是它们如何跟实验可观测量联系起来呢?实验学家如果想要刻画量子系统的动力学,应该做怎样的测量呢?对经典系统,这个基本的工作被称为系统识别。这里我们将展示,被称为量子过程层析的经典对应,如何才能在一个有限维量子系统中完成。
为了理解过程层析,我们首先要理解另一个名为量子态层析的步骤。态层析是一个用于确定未知量子态的实验步骤。假设我们有一个单量子比特未知态 $\rho$ 。我们如何才能实验确定 $\rho$ 的态是什么?
如果我们只有 $\rho$ 的一份拷贝,那么是无法刻画 $\rho$ 的。基本的问题在于,并没有一个量子测量能够确定地区分两个不正交的量子态,比如 $|0\rangle$ 和 $(|0\rangle+|1\rangle) / \sqrt{2}$ 。但是,如果我们有 $\rho$ 的大量拷贝,那就可以估计出 $\rho_{\circ}$ 比如,如果 $\rho$ 是某个实验产生的量子态,那么我们简单地重复实验很多次,就能做出态 $\rho$ 的很多拷贝。
假设我们有一个单量子比特矩阵 $\rho$ 的很多拷贝,集合 $I / \sqrt{2}, X / \sqrt{2}, Y / \sqrt{2}, Z / \sqrt{2}$ 构成了一组相对于希尔伯特-施密特内积来说正交的矩阵,因而 $\rho$ 可被展开为
$$ \begin{equation*} \rho=\frac{\operatorname{tr}(\rho) I+\operatorname{tr}(X \rho) X+\operatorname{tr}(Y \rho) Y+\operatorname{tr}(Z \rho) Z}{2} \tag{8.148} \end{equation*} $$
但是,回忆一下类似 $\operatorname{tr}(A \rho)$ 这样的表达式可以被解释为可观测量的平均值。比如,为了估计 $\operatorname{tr}(Z \rho)$ 我们测量可观测量 $Z$ 很多次,$m$ ,得到的结果为 $z_{1}, z_{2}, \cdots, z_{m}$ ,全都等于 +1 或 $-1 。$ 此物理量的经验平均值 $\sum_{i} z_{i} / m$ 是对其真实值 $\operatorname{tr}(Z \rho)$ 的估计。我们可以使用中心极限定理来确定此估计对大的 $m$ 来说表现得有多好。它近似成为高斯型,平均值为 $\operatorname{tr}(Z \rho)$ ,标准差是 $\Delta(Z) / \sqrt{m}$ ,其中 $\Delta(Z)$ 是对 $Z$ 单次测量的标准差,它的界为 1 。因此在我们的估计中,$\sum_{i} z_{i} / m$ 的标准差最多是 $1 / \sqrt{m}$ 。
类似地,在大样本尺寸极限下,我们可以以很高的置信度来估计 $\operatorname{tr}(X \rho)$ 和 $\operatorname{tr}(Y \rho)$ 的值。因而获得对 $\rho$ 的一个很好的估计。把这个步骤推广到不止一个量子比特并不难,至少原理上不难!类似于单量子比特的情况,$n$ 个量子比特的任意密度矩阵可以被展开为
$$ \begin{equation*} \rho=\sum_{\vec{v}} \frac{\operatorname{tr}\left(\sigma_{v_{1}} \otimes \sigma_{v_{2}} \otimes \cdots \otimes \sigma_{v_{n}} \rho\right) \sigma_{v_{1}} \otimes \sigma_{v_{2}} \otimes \cdots \otimes \sigma_{v_{n}}}{2^{n}} \tag{8.149} \end{equation*} $$
其中的求和是对于向量 $\vec{v}=\left(v_{1}, \cdots, v_{n}\right)$ ,且向量元 $v_{i}$ 从集合 $0,1,2,3$ 中选取。通过对泡利矩阵的乘积这样的可观测量进行测量,我们可以估计出此求和中的每一项,从而得到对 $\rho$ 的估计。
我们已经描述了如何对由量子比特组成的系统实现态层析。如果涉及非量子比特的系统怎么办呢?不奇怪的是,很容易推广上面的处方到此系统。我们不会在这儿具体地再做一次,请参阅章末的"背景资料与延伸阅读"。
现在我们知道了如何做量子态层析,我们如何能用它来做量子过程层析呢?实验步骤可以被概述如下。假设系统的态空间有 $d$ 维;比如说对一个单量子比特来说 $d=2$ 。我们选择 $d^{2}$ 个纯量子态 $\left|\psi_{1}\right\rangle, \cdots,\left|\psi_{d^{2}}\right\rangle$ ,使得相应的密度矩阵 $\left|\psi_{1}\right\rangle\left\langle\psi_{1}\right|, \cdots,\left|\psi_{d^{2}}\right\rangle\left\langle\psi_{d^{2}}\right|$ 形成了态矩阵的一组基集合。下面我们更详细地解释如何选取这组集合。对每个态 $\left|\psi_{j}\right\rangle$ 我们都把系统准备到那个态上面,然后让它经历我们希望刻画的过程。在过程运行结束之后,我们使用量子态层析来确定通过过程后的结果 $\mathcal{E}\left(\left|\psi_{j}\right\rangle\left\langle\psi_{j}\right|\right)$ 。从一个纯粹主义者的观点来看,我们已经完成了,因为原理上量子操作 $\mathcal{E}$现在由 $\mathcal{E}$ 对所有态的线性扩展所确定。
实际上,我们希望能有一种方法可以通过实验上已有的数据来确定 $\mathcal{E}$ 的一种有用的表示。我们将会介绍一种完成此事的一般步骤,对于一个单量子比特的例子具体地做出来。我们的目标是确定 $\mathcal{E}$ 的一组操作元 $\left\{E_{i}\right\}$ ,
$$ \begin{equation*} \mathcal{E}(\rho)=\sum_{i} E_{i} \rho E_{i}^{\dagger} \tag{8.150} \end{equation*} $$
但是,实验数据与数字而非算子有关系,算子只是一个理论上的概念。为了从可测量的参数中确定 $E_{i}$ ,用算子 $\tilde{E}_{i}$ 的一组固定集合来研究 $\mathcal{E}$ 的等价描述是很方便的。 $E_{i}$ 组成了作用在态空间上算子集合的基,也就是
$$ \begin{equation*} E_{i}=\sum_{m} e_{i m} \tilde{E}_{m} \tag{8.151} \end{equation*} $$
其中 $e_{i m}$ 是某个复数集合。式(8.150)因而可以重写为
$$ \begin{equation*} \mathcal{E}(\rho)=\sum_{m n} \tilde{E}_{m} \rho \tilde{E}_{n}^{\dagger} \chi_{m n} \tag{8.152} \end{equation*} $$
其中 $\chi_{m n} \equiv \sum_{i} e_{i m} e_{i n}^{*}$ 是一个根据定义是正的且厄米的矩阵的矩阵元。此展开被称为 $\chi$ 矩阵表示,表明只要操作元 $E_{i}$ 的集合是固定的, $\mathcal{E}$ 可以完全由一个复数矩阵 $\chi$ 所描述。
一般来说,$\chi$ 将包含 $d^{4}-d^{2}$ 个各自独立的实参量,因为一个一般的映射——从 $d$ 乘 $d$ 的复数矩阵到 $d$ 乘 $d$ 的矩阵——可以被 $d^{4}$ 个独立的参数所描述,但是还有 $d^{2}$ 个额外的限制,即 $\rho$ 在被取一次迹之后仍保持是厄米的;也就是完备性条件
$$ \begin{equation*} \sum_{i} E_{i}^{\dagger} E_{i}=I \tag{8.153} \end{equation*} $$
要被满足,给出了 $d^{2}$ 个实的限制。我们将会展示如何在实验上确定 $\chi$ ,然后证明只要 $\chi$ 矩阵已知,那么形如式(8.150)的算子和表示就能被恢复出来。
令 $\rho_{j}, 1 \leqslant j \leqslant d^{2}$ ,是一个对 $d \times d$ 矩阵空间来说固定的,线性独立的基;也就是任何 $d \times d$ 的矩阵都可以写成 $\rho$ 的一个唯一的线性组合。一个方便的选择是算子 $|n\rangle\langle m|$ 的集合。实验上而言,输出态 $\mathcal{E}(|n\rangle\langle m|)$ 可以通过制备输人态 $|n\rangle,|m\rangle,|+\rangle=(|n\rangle+|m\rangle) / \sqrt{2}$ 和 $|-\rangle=(|n\rangle+\mathrm{i}|m\rangle) / \sqrt{2}$ ,然后产生 $\mathcal{E}(|n\rangle\langle n|), \mathcal{E}(|m\rangle\langle m|), \mathcal{E}(|+\rangle\langle+|), \mathcal{E}(|-\rangle\langle-|)$ 的线性组合,如下所示
$$ \begin{equation*} \mathcal{E}(|n\rangle\langle m|)=\mathcal{E}(|+\rangle\langle+|)+\mathrm{i} \mathcal{E}(|-\rangle\langle-|)-\frac{1+\mathrm{i}}{2} \mathcal{E}(|n\rangle\langle n|)-\frac{1+\mathrm{i}}{2} \mathcal{E}(|m\rangle\langle m|) \tag{8.154} \end{equation*} $$
因此,可以通过态层析来确定每一个 $\rho_{j}$ 的 $\mathcal{E}\left(\rho_{j}\right)$ 。 不仅如此,每一个 $\mathcal{E}\left(\rho_{j}\right)$ 都可以被表示为这些基的线性组合,
$$ \begin{equation*} \mathcal{E}\left(\rho_{j}\right)=\sum_{k} \lambda_{j k} \rho_{k} \tag{8.155} \end{equation*} $$
而且由于 $\mathcal{E}\left(\rho_{j}\right)$ 可以由态层析得到,所以 $\lambda_{j k}$ 可以通过标准的线性代数算法确定。接下来,我们可以写下
$$ \begin{equation*} \tilde{E}_{m} \rho_{j} \tilde{E}_{n}^{\dagger}=\sum_{k} \beta_{j k}^{m n} \rho_{k} \tag{8.156} \end{equation*} $$
其中 $\beta j k^{m n}$ 是复数,可以由 $\tilde{E}_{m}$ 和 $\rho_{j}$ 算子给出的线性代数的标准算法确定。把前两个表达式与式(8.152)放到一起,我们有
$$ \begin{equation*} \sum_{k} \sum_{m n} \chi_{m n} \beta_{j k}^{m n} \rho_{k}=\sum_{k} \lambda_{j k} \rho_{k} \tag{8.157} \end{equation*} $$
由 $\rho_{k}$ 的线性独立性,于是有对每一个 $k$ ,
$$ \begin{equation*} \sum_{m n} \beta_{j k}^{m n} \chi_{m n}=\lambda_{j k} \tag{8.158} \end{equation*} $$
此关系是让矩阵 $\chi$ 给出正确量子操作 $\mathcal{E}$ 的充要条件。人们也许可以把 $\chi$ 与 $\lambda$ 想象为向量,而 $\beta$为一个 $d^{4} \times d^{4}$ 的矩阵,其列指标为 $j k$ ,而行指标为 $j k$ 。为了展示 $\chi$ 是如何获得的,令 $k$ 为 $\beta$ 矩
阵的广义逆,满足关系
$$ \begin{equation*} \beta_{j k}^{m n}=\sum_{s t, x y} \beta_{j k}^{s t} \kappa_{s t}^{x y} \beta_{x y}^{m n} \tag{8.159} \end{equation*} $$
大部分针对矩阵操作的计算机程序包都可以找到此广义逆。我们现在证明了由
$$ \begin{equation*} \chi_{m n} \equiv \sum_{j k} \kappa_{j k}^{m n} \lambda_{j k} \tag{8.160} \end{equation*} $$
定义的 $\chi$ 满足关系式(8.158)。 确认由式(8.160)所定义的 $\chi$ 满足式(8.158)的困难之处在于,一般而言 $\chi$ 不是由式(8.158)唯一确定。为方便起见,我们把这些方程重新写为矩阵形式
$$ \begin{align*} \beta \vec{\chi} & =\vec{\lambda} \tag{8.161}\\ \vec{\chi} & \equiv \kappa \vec{\lambda} \tag{8.162} \end{align*} $$
从导致式(8.152)的构建,我们知道存在至少一个解满足式(8.161),我们称之为 $\vec{\chi}^{\prime} 。$ 因此 $\vec{\lambda}=\beta \vec{\chi}^{\prime} \circ$广义逆满足 $\beta k \beta=\beta$ 。在 $\vec{\chi}$ 的前方乘上 $\beta$ 可得
$$ \begin{align*} \beta \vec{\chi} & =\beta \kappa \vec{\lambda} \tag{8.163}\\ & =\beta \kappa \beta \vec{\chi}^{\prime} \tag{8.164}\\ & =\beta \vec{\chi}^{\prime} \tag{8.165}\\ & =\vec{\lambda} \tag{8.166} \end{align*} $$
因此由式(8.162)定义的 $\chi$ 满足式(8.161),正如我们想要证明的那样。 在确定 $\chi$ 之后,人们马上就可以如下方式得到 $\mathcal{E}$ 的算子和表示。令西矩阵 $U^{\dagger}$ 对角化 $\chi$ ,
$$ \begin{equation*} \chi_{m n}=\sum_{x y} U_{m x} d_{x} \delta_{x y} U_{n y}^{*} \tag{8.167} \end{equation*} $$
由此可以很容易地验证
$$ \begin{equation*} E_{i}=\sqrt{d_{i}} \sum_{j} U_{j i} \tilde{E}_{j} \tag{8.168} \end{equation*} $$
是 $\mathcal{E}$ 的操作元。我们的算法因而可以总结如下:$\vec{\lambda}$ 是通过实验用态层析确定的,它又可以通过方程 $\vec{\chi}=\kappa \vec{\lambda}$ 确定 $\chi$ ,它给了我们对 $\mathcal{E}$ 的完整描述,包含一个操作元集合 $E_{i}$ 。
对于一个单量子比特过程的例子,只有 12 个参数需要被确定(专题 8.5 )。两量子比特的黑盒子 $\mathcal{E}_{2}$ 的动力学为我们的理解提出了更大的挑战。此时需要 240 个待定参数,以便完全地确定作用于量子系统上的量子操作。确定这些参数明显是一项相当大的工作。但是,跟单量子比特的情况类似,如果在实验室中实验态层析和态准备的程序是现成的,那么实施一个自动计算的数值程序是相对简单的。
在单量子比特操作的例子里,过程层析的一般方法能被简化,给出具体的公式,这对实验可能有用。这个简化之所以能成,是通过选择固定的算子 $\tilde{E}_{i}$ ,它们具有的对易关系能方便地让 $\chi$ 矩阵可以直接通过矩阵乘法而确定。在单量子比特的例子中,我们利用
$$ \begin{align*} & \tilde{E}_{0}=I \tag{8.169}\\ & \tilde{E}_{1}=X \tag{8.170}\\ & \tilde{E}_{2}=-\mathrm{i} Y \tag{8.171}\\ & \tilde{E}_{3}=Z \tag{8.172} \end{align*} $$
其中有 12 个由 $\chi$ 确定的参数,决定了单量子比特的一个任意的量子操作 $\mathcal{E}$ 。 这些参数可以用 4 组实验来测量。作为一个特殊的例子,假设输入态 $|0\rangle,|1\rangle,|+\rangle=(|0\rangle+$ $|1\rangle) / \sqrt{2}$ 及 $|-\rangle=(|0\rangle+\mathrm{i}|1\rangle) / \sqrt{2}$ 被准备好了, 4 个矩阵
$$ \begin{align*} & \rho_{1}^{\prime}=\mathcal{E}(|0\rangle\langle 0|) \tag{8.173}\\ & \rho_{4}^{\prime}=\mathcal{E}(|1\rangle\langle 1|) \tag{8.174}\\ & \rho_{2}^{\prime}=\mathcal{E}(|+\rangle\langle+|)-\mathrm{i} \mathcal{E}(|-\rangle\langle-|)-(1-\mathrm{i})\left(\rho_{1}^{\prime}+\rho_{4}^{\prime}\right) / 2 \tag{8.175}\\ & \rho_{3}^{\prime}=\mathcal{E}(|+\rangle\langle+|)+\mathrm{i} \mathcal{E}(|-\rangle\langle-|)-(1+\mathrm{i})\left(\rho_{1}^{\prime}+\rho_{4}^{\prime}\right) / 2 \tag{8.176} \end{align*} $$
可以被态层析所确定。这对应于 $\rho_{j}^{\prime}=\mathcal{E}\left(\rho_{j}\right)$ ,其中
$$ \rho_{1}=\left[\begin{array}{ll} 1 & 0 \tag{8.177}\\ 0 & 0 \end{array}\right] $$
$\rho_{2}=\rho_{1} X, \rho_{3}=X \rho_{1}, \rho_{4}=X \rho_{1} X$ 。由式(8.156)和式(8.169)~式(8.172)我们可以确定 $\beta$ ,类似地 $\rho^{\prime}$ 确定了 $\lambda_{\circ}$ 。但是,由于基的特定选取,以及 $\tilde{E}_{i}$ 的泡利矩阵表示,我们可以把 $\beta$ 矩阵用 Kronecker 乘积 $\beta=\Lambda \otimes \Lambda$ 来表示,其中
$$ \Lambda=\frac{1}{2}\left[\begin{array}{cc} I & X \tag{8.178}\\ X & -I \end{array}\right] $$
因而 $\chi$ 可以方便地用方块矩阵表示
$$ \chi=\Lambda\left[\begin{array}{ll} \rho_{1}^{\prime} & \rho_{2}^{\prime} \tag{8.179}\\ \rho_{3}^{\prime} & \rho_{4}^{\prime} \end{array}\right] \Lambda $$
我们已经说明了如何通过系统的步骤实验上确定一个量子系统动力学上有用的表示。量子过
程层析的步骤类似于经典控制论实施的系统识别步骤,且在理解和控制有噪声的量子系统中扮演类似的角色。
习题 8.32 解释如何把量子过程层析扩展到非保迹的量子操作,比如在测量研究中出现的。 习题8.33(确定一个量子过程)假如人们希望通过描述布洛赫球上一个点集合 $\left\{\vec{r}_{k}\right\}$ 在 $\mathcal{E}$ 下的变换,完全确定一个任意的单量子比特操作 $\mathcal{E}$ 。证明那个集合必须包含最少 4 个点。 习题 8.34 (两量子比特的过程层析)证明描述两个量子比特的黑盒子操作 $\chi_{2}$ 可以表述为
$$ \chi_{2}=\Lambda_{2} \bar{\rho}^{\prime} \Lambda_{2} $$
其中 $\Lambda_{2}=\Lambda \otimes \Lambda, \Lambda$ 在专题 8.5 中定义。而 $\bar{\rho}^{\prime}$ 是由 16 个测量出的密度矩阵元组成的方块矩阵
$$ \bar{\rho}^{\prime}=P^{T}\left[\begin{array}{cccc} \rho_{11}^{\prime} & \rho_{12}^{\prime} & \rho_{13}^{\prime} & \rho_{14}^{\prime} \\ \rho_{21}^{\prime} & \rho_{22}^{\prime} & \rho_{23}^{\prime} & \rho_{24}^{\prime} \\ \rho_{31}^{\prime} & \rho_{32}^{\prime} & \rho_{33}^{\prime} & \rho_{34}^{\prime} \\ \rho_{41}^{\prime} & \rho_{42}^{\prime} & \rho_{43}^{\prime} & \rho_{44}^{\prime} \end{array}\right] P $$
其中 $\rho_{n m}^{\prime}=\mathcal{E}\left(\rho_{n m}\right), \rho_{n m}=T_{n}|00\rangle\langle 00| T_{m}, T_{1}=I \otimes I, T_{2}=I \otimes X, T_{3}=X \otimes I, T_{4}=X \otimes X$ ,而 $P=I \otimes\left[\left(\rho_{00}+\rho_{12}+\rho_{21}+\rho_{33}\right) \otimes I\right]$ 是一个转置矩阵。 习题8.35(过程层析示例)考虑一个单比特上未知动力学 $\mathcal{E}$ 黑盒子。假设下面的 4 个密度矩阵是由遵照式(8.173)$\sim$ 式(8.176)实施的实验测量所得:
$$ \begin{align*} \rho_{1}^{\prime} & =\left[\begin{array}{ll} 1 & 0 \\ 0 & 0 \end{array}\right] \tag{8.183}\\ \rho_{2}^{\prime} & =\left[\begin{array}{cc} 0 & \sqrt{1-\gamma} \\ 0 & 0 \end{array}\right] \tag{8.184}\\ \rho_{3}^{\prime} & =\left[\begin{array}{cc} 0 & 0 \\ \sqrt{1-\gamma} & 0 \end{array}\right] \tag{8.185}\\ \rho_{4}^{\prime} & =\left[\begin{array}{cc} \gamma & 0 \\ 0 & 1-\gamma \end{array}\right] \tag{8.186} \end{align*} $$
其中 $\gamma$ 是一个数值参数。从对这些输人-输出关系的独立的研究中,人们可以获得如下的观察:基态 $|0\rangle$ 在 $\mathcal{E}_{1}$ 的作用下是不变的,激发态 $|1\rangle$ 部分衰减到基态,于是叠加态就消失了。确定此过程的 $\chi$ 矩阵。
有没有一些有趣的量子系统,它们的动力学不能由量子操作所描述?在本节中,我们将会人为构造一个其演化无法用量子操作描述的例子,并尝试了解其可能发生的情形。
假设一个单量子比特被制备到某未知量子态,我们记为 $\rho_{\mathrm{o}}$ 该量子比特制备涉及制备量子比特的实验室中进行的某些步骤。假设单量子比特与实验室自由度合在一起,作为态准备过程的副产品,如果 $\rho$ 是布洛赫球下半部分的态,则保留在状态 $|0\rangle$ ,如果 $\rho$ 是布洛赫球上半部分的状态,则留在 $|1\rangle$ 。也就是说,制备后系统状态为
$$ \begin{equation*} \rho \otimes|0\rangle\langle 0| \otimes \text { 其他自由度 } \tag{8.186} \end{equation*} $$
如果 $\rho$ 处于布洛赫球的下半部分,以及
$$ \begin{equation*} \rho \otimes|1\rangle\langle 1| \otimes \text { 其他自由度 } \tag{8.187} \end{equation*} $$
如果 $\rho$ 处于布洛赫球的上半部分。 一旦态制备完成,系统就开始与环境接触,本例中就是所有的环境自由度。假设相互作用是在主系统与实验室系统中额外量子比特之间的受控非操作。因此,如果系统的布洛赫向量初始时处于布洛赫球的下半部分,它将保持不变,如果初始时处于布洛赫球的上半部分,它将会旋转到布洛赫球的下半部分。
显然,这个过程不是作用于布洛赫球的仿射映射,因此,根据 8.3.2节的结果,它不能是量子操作。从这个讨论中可以学到的是,在准备完成之后,与用作准备该系统的自由度相互作用的量子系统通常会遵循量子操作形式体系无法充分描述的动力学。这是一个重要的结论,因为它表明在物理上合理的情况下,量子操作形式体系可能无法充分描述量子系统中发生的过程。应该牢记这一点,比如在前一节讨论的量子过程层析程序的应用中。
然而,对本书的其余部分,我们将在量子操作形式体系中工作。它为描述量子系统所经历的动力学提供了强大而合理的通用工具。最重要的是,它提供了一种手段,通过它可以在与量子信息处理相关的问题上取得具体进展。对量子操作形式体系之外的量子信息处理进行深人研究是一个有趣的问题。
问题 8.1 (量子操作的 Lindblad 形式)在 8.4.1 节的符号表示下,明确地一步步求解出 $\rho(t)$ 的微分方程
$$ \begin{equation*} \dot{\rho}=-\frac{\lambda}{2}\left(\sigma_{+} \sigma_{-} \rho+\rho \sigma_{+} \sigma_{-}-2 \sigma_{-} \rho \sigma_{+}\right) \tag{8.188} \end{equation*} $$
把映射 $\rho(0) \rightarrow \rho(t)$ 展开为 $\rho(t)=\sum_{k} E_{k}(t) \rho(0) E_{k}^{\dagger}(t)$ 。 问题 8.2 (作为一个量子操作的隐形传态)假设 Alice 有一个单量子比特,记为系统 1 ,她希望传送给 Bob。不幸的是,她与 Bob 只共享一个不完美纠缠的量子比特对。其中 Alice 的那一半被记为系统 2,而 Bob 的那一半被标记为系统 3。假设 Alice 对系统 1 和 2 完成一个由量子操作集
合 $\mathcal{E}_{m}$ 描述的测量,得到结果 $m$ 。证明这将引发一个与系统 1 的初态和系统 3 的末态有关的操作 $\tilde{\mathcal{E}}_{m}$ ,而且如果 Bob 可以使用保迹的量子操作 $\mathcal{R}_{m}$ 来反转此操作
$$ \begin{equation*} \mathcal{R}_{m}\left(\frac{\tilde{\mathcal{E}}_{m}(\rho)}{\operatorname{tr}\left[\tilde{\mathcal{E}}_{m}(\rho)\right]}\right)=\rho \tag{8.189} \end{equation*} $$
隐形传态就可以被实现,其中 $\rho$ 是系统 1 的初态。 问题8.3(随机酉信道)人们倾向于相信所有的单值信道,也就是那些满足 $\mathcal{E}(I)=I$ 的信道,是随机西操作取平均的结果。随机西操作为 $\mathcal{E}(\rho)=\sum_{k} p_{k} U_{k} \rho U_{k}^{\dagger}$ ,其中 $U_{k}$ 是西算子,而 $p_{k}$ 是一个概率分布。证明尽管这对于单量子比特是对的,但是对于更大的系统并不正确。
-算子和表示:一个开放量子系统的行为可以被建模为
$$ \begin{equation*} \mathcal{E}(\rho)=\sum_{k} E_{k} \rho E_{k}^{\dagger} \tag{8.190} \end{equation*} $$
其中 $E_{k}$ 是操作元,如果量子操作是保迹的,那么满足 $\sum_{k} E_{k}^{\dagger} E_{k}=I$ 。 -量子操作的环境模型:一个保迹的量子操作总能被看作是通过系统与初始时不关联的环境的西相互作用产生,反过来也一样。非保迹量子操作也可能类似地处理,除了一个额外的施加在系统与环境的复合体上的投影操作,不同的结果对应于不同的非保迹量子操作。 -量子过程层析 :一个作用于 $d$ 维量子系统的量子操作,可以通过测量由 $d^{2}$ 个纯态输人得到的输出密度矩阵而被实验完全地确定。
-重要单量子比特量子操作的操作元:
退极化信道
$$ \sqrt{1-\frac{3 p}{4}}\left[\begin{array}{ll} 1 & 0 \\ 0 & 1 \end{array}\right], \quad \sqrt{\frac{p}{4}}\left[\begin{array}{ll} 0 & 1 \\ 1 & 0 \end{array}\right] $$
振幅阻尼
相位阻尼
$$ \begin{array}{cc} \sqrt{\frac{p}{4}}\left[\begin{array}{cc} 0 & -\mathrm{i} \\ \mathrm{i} & 0 \end{array}\right], & \sqrt{\frac{p}{4}}\left[\begin{array}{cc} 1 & 0 \\ 0 & -1 \end{array}\right] \\ {\left[\begin{array}{cc} 1 & 0 \\ 0 & \sqrt{1-\gamma} \end{array}\right],} & {\left[\begin{array}{cc} 0 & \sqrt{\gamma} \\ 0 & 0 \end{array}\right]} \\ {\left[\begin{array}{cc} 1 & 0 \\ 0 & \sqrt{1-\gamma} \end{array}\right],} & {\left[\begin{array}{cc} 0 & 0 \\ 0 & \sqrt{\gamma} \end{array}\right]} \end{array} $$
相位翻转
$$ \sqrt{p}\left[\begin{array}{cc} 1 & 0 \\ 0 & 1 \end{array}\right], \quad \sqrt{1-p}\left[\begin{array}{cc} 1 & 0 \\ 0 & -1 \end{array}\right] $$
比特翻转
比特-相位翻转
$$ \begin{array}{cc} \sqrt{p}\left[\begin{array}{ll} 1 & 0 \\ 0 & 1 \end{array}\right], & \sqrt{1-p}\left[\begin{array}{cc} 0 & 1 \\ 1 & 0 \end{array}\right] \\ \sqrt{p}\left[\begin{array}{ll} 1 & 0 \\ 0 & 1 \end{array}\right], & \sqrt{1-p}\left[\begin{array}{cc} 0 & -\mathrm{i} \\ \mathrm{i} & 0 \end{array}\right] \end{array} $$
量子噪声在许多领域都是一个重要的主题,且在此主题下包括大量的文献。我们只能仅限于引用该主题可用资源的一小部分范例。从相当数学的角度来看,量子噪声的早期论述是由 Davies ${ }^{[\mathrm{Dav} 76]}$ 完成的。Caldeira 和 Leggett ${ }^{[C L 83]}$ 使用基于费曼路径积分的方法对一个被称为自旋-玻色子的重要模型进行了一些初步和最完备的研究。Gardiner ${ }^{[G a r 91]}$ 从量子光学的角度研究了量子噪声。最近,量子光学界发展出了针对量子噪声的所谓量子轨迹方法。可以在 Zoller 和 Gardiner ${ }^{[Z G 97]}$及 Plenio 和 Knight ${ }^{[\mathrm{PK} 98]}$ 的文章中找到对该主题的综述。
关于量子操作的主题存在大量文献。我们只提到几个关键的参考文献,主要包括 Kraus ${ }^{[K r a 83]}$的书,其中包含对此主题早期工作的大量参考文献。关于这一主题的有影响力的早期论文包括 Hellwig 和 Kraus ${ }^{[H K 69, ~ H K 70] ~}$ 及 Choil ${ }^{[C h o 75]}$ 等。Lindblad ${ }^{[\text {Lin76]}}$ 将量子操作形式体系与连续时间量子演化理论联系起来,引人了现在被称为 Lindblad 形式的东西。Schumacher ${ }^{[\text {Sch96b]}]}$ 和 Caves ${ }^{[C \operatorname{Cav999}]}$ 从量子纠错的角度撰写了量子操作形式体系的优秀总结。
Vogel 和 Risken ${ }^{[V R 89]}$ 提出了量子态层析。Leonhardt ${ }^{[\text {Leo97]}] ~}$ 撰写了一篇最近的综述,其中包含对其他工作的参考文献。Turchette,Hood,Lange,Mabuchi 和 Kimble $\left.{ }^{[T \mathrm{HL}}{ }^{+} 95\right]$ 在一篇论文中指出了对量子过程层析的需求。该理论由 Chuang 和 Nielsen ${ }^{[\mathrm{CN} 97]}$ 及 Poyatos,Cirac 和 Zoller ${ }^{[P C Z 97]}$ 独立发展。Jones ${ }^{[J o n 94]}$ 早先概述了量子过程层析的主要思想。 "退相干"这个词出现了一个令人遗憾的术语混淆。从历史上看,它一直被用来指代相位阻尼过程,特别是被 Zurek ${ }^{[Z u r 9]]}$ 如此使用。Zurek 和其他研究人员认识到相位阻尼在从量子到经典物理的过渡中具有独特的作用;对于某些环境耦合,它发生在比任何振幅阻尼过程快得多的时间尺度上,因此在确定量子相干性的损失方面可能更为重要。这些研究的主要观点是由于环境相互作用而展现的经典性。然而,总的来说,量子计算中和量子信息中使用退相干是指量子处理中的任何噪声过程。在本书中,我们喜欢更通用的术语"量子噪声",并倾向于使用它,尽管在上下文中合适的时候退相干也会偶尔出现。
Royer ${ }^{[R o y 96]}$ 提供了对量子操作形式体系的一些局限性(尤其是最初系统和环境在直积态下的假设)的更详细讨论。
问题 8.2 来自 Nielsen 和 Caves ${ }^{[\mathrm{NC97]}}$ 。问题 8.3 是 Landau 和 Streater ${ }^{[L S 93]}$ 对双随机量子操作凸集的极值点的深人研究的一部分。