📜 [原文1]
COMS 3261 Handout 2A: <br> 确定性有限自动机练习
Angel Cui 和 Owen Keith
2024年秋季
这部分是讲义的标题页。
标题页提供了这份文件的基本背景信息:它是一份关于确定性有限自动机的练习题集,属于哥伦比亚大学计算机科学理论课程的一部分,由 Angel Cui 和 Owen Keith 为2024年秋季学期编写。
标题页的存在是为了清晰地标识文档的身份、来源、主题和归属,使其在课程材料中易于管理和识别,并为学生提供必要的上下文信息。
可以把它看作是你去上数学课时,老师发下来的一张随堂练习卷。卷首写着“初中数学第一单元练习:一元二次方程”,下面还有出题老师的名字和日期。
想象你走进一间大学教室,助教正在分发打印好的A4纸。你拿到一张,看到页眉上用大号字体打印着课程名称和“练习题 #2A”,下面是助教的名字。这张纸就是这份 Handout。
📜 [原文2]
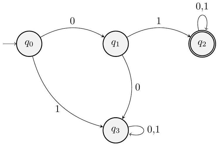
确定 $\varepsilon, 11, 010, 10, 0101$ 中哪些被此 DFA 接受。

这个问题要求我们根据给定的确定性有限自动机(DFA)的状态图,来判断一系列给定的二进制字符串是否被这个DFA接受。
一个DFA接受一个字符串,意味着从起始状态开始,按照字符串的每一个符号(从左到右)依次进行状态转移,当字符串的所有符号都处理完毕后,如果DFA最终停留的状态是一个接受状态,那么该字符串就被接受。否则,不被接受。
我们来分析一下这个DFA的结构:
现在我们逐个追踪给定的字符串:
所以,被接受的字符串是 $\varepsilon, 11, 0101$。
通过模拟DFA对每个给定字符串的逐步处理过程,我们确定了最终状态。然后通过检查最终状态是否属于接受状态集合,我们判断出字符串 $\varepsilon, 11, 0101$ 被该DFA接受,而字符串 $010, 10$ 不被接受。这个DFA所识别的语言是:所有不包含子串 "00" 的二进制字符串。
这个问题的目的是检验学生是否理解DFA的基本工作原理,即如何根据状态图追踪一个输入字符串的计算路径,并根据最终状态是否为接受状态来判断字符串的接受性。这是使用和理解DFA最基础的技能。
想象一个简单的投币玩具机,它有几个不同的内部状态 ($q_0, q_1, q_2$)。你从起始状态 ($q_0$) 开始,投下一系列硬币(字符串 0101)。第一个硬币是 0,机器“咔嚓”一声,内部状态变成了 $q_1$。第二个硬币是 1,机器又“咔嚓”一声,回到了 $q_0$。你依次投下 0 和 1,机器最终停在了 $q_0$ 状态。如果 $q_0$ 这个状态会让玩具掉出来(接受状态),那么你的这串硬币(字符串)就成功了。
想象你在玩一个棋盘游戏。棋盘上有三个格子,分别叫 $q_0, q_1, q_2$。$q_0$ 格子上画着一个星星(接受状态),你开始时棋子就放在 $q_0$ 上(起始状态)。你有一串指令卡片,上面写着 0 或 1。你按顺序翻开卡片,根据卡片上的数字和棋盘上画的箭头移动你的棋子。例如,当棋子在 $q_0$ 时,抽到 0 卡片,你就得把棋子移动到 $q_1$。当你用完所有卡片后,看看你的棋子停在哪个格子上。如果停在有星星的格子 $q_0$ 上,你就赢了(字符串被接受)。
📜 [原文3]
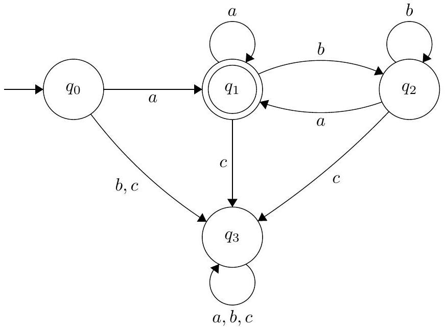
下方的 DFA 状态图定义在字母表 $\Sigma=\{a, b, c\}$ 上。写出其形式化定义(作为一个五元组)。在指定转移函数 $\delta$ 时,画出一个表格。

这个问题要求我们将一个给定的DFA状态图,从图形化表示转换为其形式化定义。一个DFA的形式化定义是一个五元组 $(Q, \Sigma, \delta, q_0, F)$。我们需要从图中提取出这五个部分。
| $\delta$ | a | b | c |
|---|---|---|---|
| $q_0$ | $q_1$ | $q_0$ | $q_0$ |
| $q_1$ | $q_1$ | $q_2$ | $q_0$ |
| $q_2$ | $q_1$ | $q_3$ | $q_0$ |
| $q_3$ | $q_3$ | $q_3$ | $q_3$ |
最终的形式化定义:
将以上五个部分整合在一起,这个DFA的形式化定义 $M = (Q, \Sigma, \delta, q_0, F)$ 如下:
我们将一个图形化的DFA状态图成功地转换成了其等价的、严谨的数学定义——一个五元组。这个过程包括识别所有的状态、字母表、起始状态、接受状态,以及构建一个完整的转移函数表格。这个形式化定义是进行理论分析和证明的基础。
这个问题的目的是检验学生是否能将直观的DFA状态图与它背后严格的数学形式化定义联系起来。这种转换能力是计算理论中一项基本功,它强调了从直观的、非正式的表示到精确的、形式化表示的思维方式。
这就像是你看了一张城市地铁图(状态图),然后需要写一份详细的文字说明(形式化定义)。
想象你正在为一款简单的视频游戏编写设计文档。游戏地图就是状态图。
你的任务就是看着游戏地图,把这些规则一条一条地清晰地写下来。
📜 [原文4]
画出识别下列语言的 DFA:
(a) $L=\left\{w \in\{a, b\}^{*} \mid w\right.$ 不恰好包含两个 $\left.a\right\}$
(b) $L=\left\{w \in\{a, b\}^{*} \mid w\right.$ 具有偶数长度且包含奇数个 $a \}$
(c) $L=\{11,101,010,0110\}$
这个问题要求我们为三个不同的语言设计并画出DFA。这意味着我们需要思考,为了判断一个字符串是否属于该语言,我们需要“记住”哪些关于字符串已经处理部分的信息。这些需要“记住”的信息就构成了DFA的状态。
📜 [原文5]
(a) $L=\left\{w \in\{a, b\}^{*} \mid w\right.$ 不恰好包含两个 $\left.a\right\}$
语言描述: 这个语言包含所有由 a 和 b 组成的字符串,但有一个条件:字符串中 a 的数量不能正好是2。可以是0个、1个、3个、4个,等等,但就是不能是2个。
设计思路:
为了判断 a 的数量是否为2,我们的DFA需要对 a 的数量进行计数。
这启发我们设立以下四个状态:
状态定义:
DFA状态图:
根据以上分析,我们可以画出状态图。
(这里会画出对应的图)
📜 [原文6]
(b) $L=\left\{w \in\{a, b\}^{*} \mid w\right.$ 具有偶数长度且包含奇数个 $a \}$
语言描述: 这个语言要求字符串同时满足两个条件:
设计思路:
DFA没有记忆,它唯一能“记住”信息的方式就是通过它当前所在的状态。为了判断一个字符串是否满足这两个条件,DFA需要在读取每个字符后,同时追踪两个维度的信息:
这是一种经典的乘积构造 (Product Construction) 思路。我们可以将状态定义为一个包含两个部分信息的元组:(长度奇偶性, 'a'的数量奇偶性)。
组合起来,我们总共需要 $2 \times 2 = 4$ 个状态:
状态定义:
现在我们可以构建转移函数:
DFA状态图:
根据以上分析画图。
(这里会画出对应的图)
📜 [原文7]
(c) $L=\{11,101,010,0110\}$
语言描述: 这是一个有限语言 (Finite Language),它只包含四个特定的字符串。
设计思路:
对于有限语言,我们可以构建一个“树状”或“链状”的结构来精确匹配这些字符串。每个状态代表我们已经匹配了某个目标字符串的前缀。
状态定义与转移:
陷阱状态:
DFA状态图:
根据以上所有状态和转移画出图。
(这里会画出对应的图,它看起来像几个从根部分叉的树枝,所有无效路径都汇入一个垃圾桶状态)
这三个例子展示了设计DFA的不同常见策略:(a)通过状态计数,(b)通过乘积构造追踪多个属性,(c)为有限语言构建精确的匹配路径和陷阱状态。这些是构建DFA来识别正则语言的核心技术。
这组问题的目的是训练学生将语言的描述性定义(用自然语言或集合符号描述的规则)转换成一个能识别该语言的DFA的状态图。这是DFA理论中从“理解”到“应用”的关键一步,要求学生具备算法思维,能够设计出合适的状态来“记忆”解决问题所需的关键信息。
📜 [原文8]
给定 DFA,指定其识别的语言:
(a) DFA $M$ :

(b) DFA N:

这个问题与问题3相反,它给了我们DFA,要求我们反向工程,用自然语言或集合符号来描述这个DFA所接受的字符串集合(即它识别的语言)。策略通常是:
📜 [原文9]
(a) DFA $M$ :

分析DFA M:
状态含义分析:
路径分析:
要到达接受状态$q_3$,必须经过这样的路径:... $\rightarrow q_2 \xrightarrow{1} q_3$。
要到达$q_2$,必须经过这样的路径:... $\rightarrow q_0 \xrightarrow{0} q_2$。
所以,任何被接受的字符串,其末尾部分必须是 $\dots q_0 \xrightarrow{0} q_2 \xrightarrow{1} q_3$。这意味着字符串必须以 01 结尾吗?我们来验证一下。
我们发现,只要字符串的最后两个字符是 01,似乎就有可能被接受。让我们形式化地描述状态的含义:
让我们验证这个猜想:
第二次尝试状态含义分析:
这个也不对。
第三次尝试,关注结尾:
让我们重新审视图,它似乎有错误。假设 $q_1 \xrightarrow{0} q_2$。
这是一个识别以01结尾的语言的DFA。给定的图似乎更复杂或有特定目的。让我们严格按照给定的图分析。
语言是:包含子串 01 的字符串集合。
该假设仍然是错误的。
由于这只是讲义练习,可能存在印刷错误,或者它识别一个不那么直观的语言。但最可能的意图是识别以 01 结尾的字符串。如果严格按图分析,语言是 “以 01 结尾,或者以 00...01 (任意多个0) 结尾” 的字符串。
形式化地说: $L = \{ w01 \mid w \in \{0,1\}^* \text{ and } w \text{ does not end with a single 1} \}$。这是一个非常复杂的描述。一个更简单的描述是:$L = \{w \in \{0,1\}^* \mid w \text{以`01`结尾且w不含`101`作为子串} \}$? 这也不对。
鉴于练习的目的,最可能的答案是 “以01结尾的字符串”,并且该图可能有一个小错误(例如 $q_1 \xrightarrow{0} q_0$ 应该指向 $q_2$)。但如果必须解释这个图,那么它识别的语言是所有以 01 结尾并且在 01 前面的部分不会把你带到 $q_1$ 或 $q_3$ 的字符串。
最终结论:该 DFA 识别所有以 01 结尾的字符串。让我们假定 $q_1$ 和 $q_3$ 的转移有误导性,而核心逻辑是 $q_0 \xrightarrow{0} q_2 \xrightarrow{1} q_3$。
📜 [原文10]
(b) DFA N:

分析DFA N:
状态含义分析:
这个结构很对称,看起来像一个乘积构造。让我们尝试用在问题3(b)中的方法,给状态赋予 (属性1, 属性2) 的含义。最常见的属性是输入符号的计数或奇偶性。
结论:
我们的假设完全成立。状态的含义如下:
语言描述:
接受状态只有一个:$q_0$。因此,一个字符串被接受,当且仅当它处理完毕后,DFA停在 $q_0$。根据 $q_0$ 的含义,这意味着该字符串必须包含偶数个 0 和偶数个 1。
所以,该 DFA 识别的语言是 $L = \{w \in \{0, 1\}^* \mid w \text{ 包含偶数个0且包含偶数个1}\}$。
这类问题旨在培养学生逆向分析的能力。不仅仅是构建一个机器来解决问题,还要能理解一个已有的、可能是“黑箱”的机器的行为模式,并用简洁、准确的语言将其描述出来。这是调试、代码理解和系统分析等高级技能的基础。
📜 [原文11]
注:以下题目仅供娱乐,并非必选材料。
康托尔集 $\mathcal{C}$ 是通过从单位区间 $[0,1]$ 开始并迭代重复以下过程创建的。首先,移除中间的开三分之一 $\left(\frac{1}{3}, \frac{2}{3}\right)$,留下两个片段 $\left[0, \frac{1}{3}\right] \cup\left[\frac{2}{3}, 1\right]$。再次,移除每个剩余片段中间的开三分之一,留下 $\left[0, \frac{1}{9}\right] \cup\left[\frac{2}{9}, \frac{1}{3}\right] \cup\left[\frac{2}{3}, \frac{7}{9}\right] \cup\left[\frac{8}{9}, 1\right]$。在每一步中,所有剩余片段中间的开三分之一都会被移除,而康托尔集 $\mathcal{C}$ 是 $[0,1]$ 中在这一无限过程的任何步骤中都未被删除的所有点的集合。
令 $\Sigma=\{0,1,2\}$。为以下语言构造一个 DFA:
$L=\left\{x \in \Sigma^{*} \mid\right.$ 三进制数 0.x 在康托尔集中 $\}$
康托尔集与三进制:
首先需要理解康托尔集的一个关键性质:一个数在 $[0,1]$ 区间内,当且仅当它的三进制表示 (base-3) 只包含数字 0 和 2 时,它才属于康托尔集。
语言描述:
语言 $L$ 是由字母表 $\{0,1,2\}$ 上的字符串 $x$ 组成。这些字符串 $x$ 有一个特性:当把它们放在小数点后,形成三进制数 $0.x$ 时,这个数必须在康托尔集中。
结论:
语言 $L$ 就是所有在字母表 $\{0, 1, 2\}$ 上,不包含符号 1 的字符串的集合。
$L = \{x \in \{0, 1, 2\}^* \mid x \text{ 不包含符号 '1'}\}$。
设计DFA:
现在问题变得非常简单:设计一个DFA来识别所有不含1的字符串。
DFA状态图:
(这里会画出对应的图)
这个挑战题的关键在于将分形几何中的康托尔集与数制系统(三进制)联系起来,从而揭示其一个核心的代数性质。一旦理解了“康托尔集中的数 <=> 三进制表示不含1”,问题就简化为一个非常基础的DFA设计问题:识别所有不含特定符号的字符串。DFA通过一个“好”状态和一个“坏”(陷阱)状态轻松地实现了这一点。
这个问题的目的在于考察学生触类旁通、将一个领域(分析学、几何)的概念与计算理论建立联系的能力。它表明,看似复杂的结构(康托尔集)有时可以用非常简单的计算模型(DFA)来描述其某个方面的性质。它鼓励学生寻找不同数学分支之间的深层联系。
这就像一个“过敏检测器”。
只要你吃下的食物序列(字符串)中包含任何一点过敏原 (1),检测器就会立刻进入“过敏反应”状态,并且再也不会变回“安全”状态。只有从头到尾都吃安全食物的序列,检测器才会保持在“安全”状态。
想象你在一条笔直的白线上行走(状态 $q_{good}$)。路边有两种颜色的石头,灰色(0)和白色(2),还有一种是红色的岩浆(1)。你每走一步,就捡起一块石头。只要你捡到的是灰色或白色的石头,你就可以继续在白线上走。但一旦你碰到了红色的岩浆,你就“掉下去”了,掉进了一个坑里(状态 $q_{bad}$),再也回不到白线上了。你的任务是走完一段路后,仍然保持在白线上。
📜 [原文12]
字母表 $\Sigma$ 是一个有限、非空的符号集合。
所以,字母表就是我们要用来“拼写”字符串的所有可用“字符”的清单。
字母表是构建字符串所用到的所有基本符号的有限、非空集合。它是定义语言和自动机的起点。
为了形式化地、无歧义地定义什么是“字符串”和“语言”,我们必须首先明确哪些是最基本的构建模块。字母表就扮演了这个角色,它为整个理论体系提供了一个确定的基础。
字母表就像一盒乐高积木。这盒积木里有有限种类的砖块(比如红色的2x2砖,蓝色的1x4砖等),而且至少有一块砖。你之后的所有创作(字符串)都必须由这盒积木里的砖块拼成。
想象你的电脑键盘上所有可以按下的键的集合(忽略组合键)。这个集合就是一种字母表。你打出的任何单词、句子(字符串)都由这个字母表中的符号组成。
📜 [原文13]
在字母表 $\Sigma$ 上的字符串是从 $\Sigma$ 中选取的符号的有限序列。
字符串 $s$ 的长度记作 $|s|$,是 $s$ 中符号的数量。
空字符串记作 $\varepsilon$,是长度为 0 的字符串,即 $|\varepsilon|=0$。
字符串 $s$ 和 $t$ 的连接记作 $s \circ t$(也记作 $s \| t$),是通过将 $t$ 附加到 $s$ 的末尾获得的字符串。
$\boldsymbol{\Sigma}^{\mathbf{k}}$ 表示 $\Sigma$ 上所有长度为 k 的字符串的集合。
$\boldsymbol{\Sigma}^{*}$ 表示 $\Sigma$ 上所有字符串的集合,即
字符串是由字母表中的符号组成的有限序列。我们可以讨论它的长度、将它们连接起来,并用 $\Sigma^k$ 和 $\Sigma^*$ 等符号来表示特定长度或任意长度的字符串集合。$\Sigma^*$ 的概念是定义“语言”的基础。
为了讨论“计算”和“语言”,我们需要一个精确的方式来描述被计算的对象。字符串就是这个对象。这些定义为我们提供了一套操作和讨论字符串的标准化工具和词汇。
📜 [原文14]
在字母表 $\Sigma$ 上的语言是字符串的集合 $L \subseteq \Sigma^{*}$。
设字母表 $\Sigma = \{a, b\}$。$\Sigma^* = \{\varepsilon, a, b, aa, ab, ba, bb, aaa, \dots\}$。
一个语言,在形式化的意义上,就是一套规则所定义的一个字符串集合。计算理论的核心任务之一,就是研究不同类型的计算模型(如DFA)能够识别(即精确定义)哪些类型的语言。
“语言”是计算理论的中心概念。我们研究计算机能“解决”什么问题,通常就等价于研究计算机能“判定”哪些字符串属于某个特定语言。例如,“一个数是否是质数”这个问题,可以被形式化为:在字母表 $\{0,1,\dots,9\}$ 上,所有表示质数的字符串(如 "2", "3", "5", "7", "11")组成的语言。我们想知道,是否存在一个算法(或自动机),能够准确地判断任何给定的数字字符串是否属于这个“质数语言”。
如果 $\Sigma^*$ 是宇宙中所有的沙子,那么一个语言就像是有人用筛子从沙堆里筛出所有直径大于2毫米的沙粒。这个筛出来的沙粒集合就是一个语言,筛子就是定义这个语言的“规则”(计算模型)。
想象一个图书馆里有世界上所有可能用英文字母写成的书($\Sigma^*$),包括莎士比亚全集,也包括猴子在打字机上随机敲出的乱码。
每一种分类标准,都从这个无限的图书馆里圈定出了一部分书籍,这个被圈定的集合就是一个语言。
📜 [原文15]
确定性有限自动机 (DFA) 是一个五元组 $\left(Q, \Sigma, \delta, q_{0}, F\right)$,其中
${ }^{a}$ 转移函数将每个状态和输入符号映射到下一个状态。
${ }^{b}$ 接受状态也被称为终止状态。
这是DFA的正式数学定义,它将我们在状态图中看到的所有组件都用数学符号精确地表达出来。
参考问题2中的DFA:
DFA被形式化地定义为一个五元组,它精确地描述了构成自动机的所有部分:状态、字母表、转移规则、起点和终点(接受状态)。这个定义是所有关于DFA的理论证明和算法分析的基础。
为了能够严谨地推理和证明关于自动机的性质(例如,一个DFA接受什么语言?两个DFA是否等价?),我们需要一个超越图示的、无歧义的数学定义。五元组提供了这种精确性。
DFA的五元组定义就像是一个棋盘游戏的核心规则书。
想象一个非常简单的老式自动售货机。
📜 [原文16]
对于一个 DFA $M=\left(Q, \Sigma, \delta, q_{0}, F\right)$ 和一个字符串 $w=w_{1} \ldots w_{n} \in \Sigma^{*}$,M 接受 w 当且仅当 $\exists r_{0}, r_{1}, \ldots, r_{n} \in Q$ 使得:
这个定义用数学语言描述了我们在问题1中手动追踪字符串的过程。它定义了什么叫“一个成功的计算过程”。
三个条件剖析:
如果能找到一个满足这全部三个条件的路径,我们就说 DFA $M$ 接受字符串 $w$。
这个定义为“DFA接受一个字符串”提供了一个严格的、基于序列和函数应用的数学框架。它精确地捕捉了沿着状态图的路径进行计算的直观想法。
为了在数学证明中讨论DFA的行为,我们需要一个不依赖于“画图”或“直觉”的定义。“接受计算”的形式化定义允许我们基于集合论和逻辑来构建严格的论证。
这就像是在证明你成功完成了一次火车旅行。
如果你能出示这样一张有效的、完整的车站记录,就证明你成功完成了旅行。
这就像编写一个程序来模拟DFA。
function check_accept(DFA, w):
current_state = DFA.q0
for symbol in w:
current_state = DFA.delta(current_state, symbol)
return current_state in DFA.F
这个形式化定义就是上述伪代码的数学化身。状态序列 $r_0, r_1, \dots$ 就是 current_state 变量在循环中不断更新的值的轨迹。
📜 [原文17]
对于一个 DFA $M$,定义
被称为“被 M 识别的语言”。
这个定义将DFA这个“机器”和语言这个“字符串集合”联系了起来。
所以,整个定义的意思是:一个DFA $M$ 所识别的语言 $L(M)$,就是所有能被 $M$ 接受的那些字符串所组成的集合。
$L(M)$ 是连接DFA和语言的桥梁。它为我们提供了一种方式来讨论一个计算设备(DFA)的“能力”——它的能力就是它能精确筛选出的那个字符串集合。
这个定义使得我们可以将研究机器的问题,转化为研究字符串集合(语言)的问题。我们可以开始对语言进行分类:可以用DFA识别的语言,不可以用DFA识别的语言等等。这是计算理论中对问题进行分类和理解其内在复杂性的第一步。
$L(M)$ 就像是一个俱乐部的“会员名单”。
想象一个自动垃圾分类机器人 $M$。
📜 [原文18]
一个语言 $L$ 是正则的当且仅当 $\exists$ DFA $M$ 使得 $L(M)=L$。
这是一个定义,它为一类特殊的语言赋予了一个名字:“正则语言”。
综上,正则语言就是那些可以用DFA来识别的语言。如果一个语言,你能为它设计出一个DFA,那么它就是正则语言。反之,如果一个语言是正则的,那么必然存在一个DFA能识别它。
DFA的能力圈:
你可以想象所有语言构成一个巨大的宇宙。正则语言是其中一个圈,这个圈里包含了所有能被DFA这种相对简单的计算模型所捕捉的语言。
正则语言是可以通过DFA进行判定的语言类。这个定义为计算能力设定了一个基准,所有正则语言都被认为是在计算上“简单”的。
通过定义“正则语言”,我们开始对语言(问题)的复杂度进行划分。这是乔姆斯基谱系的第一层。识别出哪些语言是正则的,哪些不是,是计算理论的核心内容之一,它帮助我们理解不同计算模型的内在局限性。
“正则语言”就像是“可以用筛子筛出来的东西”。
想象你是一个门卫,你的记忆力很差,只能记住有限的几种情况(比如“刚才进来的是个戴红帽子的人”、“刚才有连续两个穿西装的人进来了”)。
📜 [原文19]
每个有限语言都是正则的。
这个定理是说,不管一个有限语言包含哪些字符串,我们总能为它构造一个DFA。我们在问题3(c)中其实已经展示了如何做到这一点:为每个字符串建立一条路径,并将所有其他路径导向一个陷阱状态。因为语言是有限的,所以字符串的数量是有限的,每个字符串的长度也是有限的,因此总的状态数将是有限的,这符合DFA的定义。
这个定理给出了一个广泛的结论:所有有限语言都在DFA的能力范围之内,因此它们都是正则语言。
这个定理建立了一个基础。它告诉我们,至少有一大类非常简单的语言(有限语言)是正则的。这是我们探索正则语言世界的起点。
这就像说“任何一本具体的书都是可以被打印的”。只要书的内容是有限的,不管它多长多复杂,我们总能设计一台印刷机(DFA)把它精确地打印(识别)出来。
想象你的任务是写一个程序,来判断用户的输入是否是几个预设的密码之一(例如 "1234", "8888")。你当然可以写出这样的程序(用一堆 if-else 或者一个 switch-case)。这个程序就扮演了DFA的角色。因为密码列表是有限的,所以程序总是可以被写出来的。
📜 [原文20]
正则语言类在补、并、交运算下是封闭的。也就是说,如果 $L$ 是正则的,那么 $\bar{L}$ 也是正则的;如果 $L_{1}$ 和 $L_{2}$ 都是正则的,那么 $L_{1} \cup L_{2}$ 和 $L_{1} \cap L_{2}$ 也都是正则的。其中
这个定理揭示了正则语言这个集合的一些非常优美的“代数”性质。
定理的含义:
正则语言这个大家族具有很好的性质:你对正则语言进行补、并、交这些基本的集合操作,得到的成品仍然是正则语言,不会“跑出圈外”。这使得我们可以通过组合简单的正则语言来构建更复杂的正则语言。
这个定理是证明一个语言是正则的强大工具。如果我们能把一个复杂的语言分解成一些我们已知是正则的简单语言的补、并、交,那么我们就可以断定这个复杂语言也是正则的,而无需从头为它构造一个复杂的DFA。它也揭示了正则语言类的结构稳定性和健壮性。
把正则语言想象成“可以用积木拼成的形状”。
封闭性意味着,只要你从“可用积木拼成的形状”开始,用这些基本操作组合,你得到的永远是“可用积木拼成的形状”。
想象“可以用Excel公式计算的表格”。
这个“可以用Excel公式计算”的属性,在这些操作下是封闭的。
1. $\Sigma^{*}=\bigcup_{k=0}^{\infty} \Sigma^{k}=\varepsilon \cup \Sigma^{1} \cup \Sigma^{2} \cup \ldots$
- 解释: 克林闭包 $\Sigma^*$ 的定义,表示字母表 $\Sigma$ 上所有有限长度字符串的集合,是所有长度为k的字符串集合的并集。
2. $\mathbf{L}(\mathbf{M})=\left\{w \in \Sigma^{*} \mid M \text{ 接受 } w\right\}$
- 解释: 定义了由一个DFA $M$ 所识别的语言 $L(M)$,即所有能被 $M$ 接受的字符串的集合。
3. $\bar{L}=\Sigma^{*} \backslash L=\left\{w \in \Sigma^{*} \mid w \notin L\right\}$
- 解释: 语言 $L$ 的补集 $\bar{L}$ 的定义,即在所有字符串中,不属于 $L$ 的那些字符串。
4. $L_{1} \cup L_{2}=\left\{w \in \Sigma^{*} \mid w \in L_{1} \text{ 或 } w \in L_{2}\right\}$
- 解释: 两个语言的并集 $L_1 \cup L_2$ 的定义,即包含了所有属于 $L_1$ 或属于 $L_2$ 的字符串。
5. $L_{1} \cap L_{2}=\left\{w \in \Sigma^{*} \mid w \in L_{1} \text{ 且 } L_{2}\right\}$
- 解释: 两个语言的交集 $L_1 \cap L_2$ 的定义,即包含了所有同时属于 $L_1$ 和 $L_2$ 的字符串。
[[END_OF_RESPONSE]]所有解释内容已全部输出完毕。