11 COMS 3261 讲义 6A:NFA 和 正则表达式 练习
📜 [原文1]
Kiru Arjunan 和 Ziheng Huang
2024年秋季
📖 [逐步解释]
这部分是讲义的标题和作者信息。它明确了这份学习资料的主题、作者以及适用的学期。
- COMS 3261:这是课程代码,通常代表一门具体的大学课程。在这里,它指向哥伦比亚大学的“计算机科学理论”课程。
- 讲义 6A:这表明是系列讲义中的第六部分,A可能表示这是练习部分(通常B是解答部分)。
- NFA 和 正则表达式 练习:这直接点明了本讲义的核心内容,即非确定性有限自动机(NFA)和正则表达式(Regular Expressions)的相关练习题。这两者是计算理论中描述正则语言的两个核心工具。
- Kiru Arjunan 和 Ziheng Huang:讲义的编写者。
- 2024年秋季:讲义发布或适用的时间。
📝 [总结]
本节是讲义的元信息,提供了关于课程、主题、作者和时间的基本背景。
🎯 [存在目的]
标题和作者信息的目的是为了清晰地标识文档的身份和来源,方便学生和教师归档、查找和引用。
🧠 [直觉心智模型]
可以把这看作一本书的封面,告诉你这本书叫什么名字(NFA和正则表达式练习),是哪个系列丛书的一部分(COMS 3261 讲义 6A),作者是谁,以及出版年份。
💭 [直观想象]
想象一下你拿到一份纸质的课堂讲义,这部分就是印在最上面的大标题和作者署名,让你一眼就知道“哦,这是这周理论课的练习题”。
22 NFA
📜 [原文2]
2.1 问题 1. 画一个识别以下语言的 NFA:
(a) 所有包含 101 的字符串。
(b) $L=\left\{w \in\{0,1\}^{*} \mid w\right.$ 恰好有两个 0 或有偶数个 1$\}$
📖 [逐步解释]
本节开始进入非确定性有限自动机(NFA)的具体练习。NFA是计算模型的一种,用于识别(或“接受”)特定模式的字符串集合,即语言。与确定性有限自动机(DFA)不同,NFA在某个状态下,对于一个输入符号,可以有零个、一个或多个转移路径,还可以有不需要任何输入符号就能进行的ε-转移(空转移)。
21.1 (a) 所有包含 101 的字符串
📜 [原文3]
📖 [逐步解释]
我们要构造一个NFA,它能“记住”是否已经看到了子串“101”。NFA的非确定性特性在这里非常有用,我们可以让它“猜测”子串“101”何时开始。
- 起始状态 $q_0$:这是我们的起点。在找到“101”之前,我们一直停留在这个“寻找”阶段。任何不属于我们目标子串开头的字符(0或1)都应该让我们继续寻找。所以,在$q_0$上有一个自循环,接受0和1。这代表“我还没开始匹配‘101’,请继续输入”。
- 寻找第一个‘1’:当我们在$q_0$时,如果输入是‘1’,我们可能开始了一个“101”序列。NFA允许我们同时探索两条路:一条是留在$q_0$(因为这个‘1’可能不是“101”的开头),另一条是转移到一个新状态$q_1$,表示“我可能找到了‘101’的第一个字符‘1’”。
- 寻找‘0’:在状态$q_1$时,我们期望下一个字符是‘0’。如果输入是‘0’,我们就转移到状态$q_2$。这表示“我连续找到了‘1’和‘0’”。如果输入是‘1’,那我们匹配失败了,这条路径就“死”了(没有定义转移)。
- 寻找第二个‘1’:在状态$q_2$时,我们期望下一个字符是‘1’。如果输入是‘1’,我们就转移到最终状态$q_3$。这表示“我成功找到了子串‘101’!”。如果输入是‘0’,匹配失败,路径死亡。
- 接受状态 $q_3$:一旦到达$q_3$,说明字符串中已经包含了“101”。之后无论再输入什么(0或1),我们都应该接受这个字符串。所以在$q_3$上有一个自循环,接受0和1。
NFA状态图如下:
- $q_0$:起始状态。
- $q_0 \xrightarrow{0,1} q_0$
- $q_0 \xrightarrow{1} q_1$
- $q_1 \xrightarrow{0} q_2$
- $q_2 \xrightarrow{1} q_3$
- $q_3$:接受状态。
- $q_3 \xrightarrow{0,1} q_3$
💡 [数值示例]
- 开始于 $q_0$。
- 读入 '0':停留在 $q_0$。
- 读入 '1':NFA分裂成两个路径。一个停留在 $q_0$,一个进入 $q_1$。当前活动状态集:$\{q_0, q_1\}$。
- 读入 '0':
- 从 $q_0$ 读 '0',停留在 $q_0$。
- 从 $q_1$ 读 '0',进入 $q_2$。
- 当前活动状态集:$\{q_0, q_2\}$。
- 读入 '1':
- 从 $q_0$ 读 '1',分裂成 $q_0$ 和 $q_1$。
- 从 $q_2$ 读 '1',进入 $q_3$。
- 当前活动状态集:$\{q_0, q_1, q_3\}$。
- 读入 '0':
- 从 $q_0$ 读 '0',停留在 $q_0$。
- 从 $q_1$ 读 '0',进入 $q_2$。
- 从 $q_3$ 读 '0',停留在 $q_3$。
- 当前活动状态集:$\{q_0, q_2, q_3\}$。
- 字符串结束。由于活动状态集包含接受状态 $q_3$,字符串 "01010" 被接受。
- 开始于 $q_0$。
- 读入 '1':活动状态集 $\{q_0, q_1\}$。
- 读入 '1':
- 从 $q_0$ 读 '1',分裂成 $q_0$ 和 $q_1$。
- 从 $q_1$ 读 '1',路径死亡。
- 当前活动状态集:$\{q_0, q_1\}$。
- 读入 '0':
- 从 $q_0$ 读 '0',停留在 $q_0$。
- 从 $q_1$ 读 '0',进入 $q_2$。
- 当前活动状态集:$\{q_0, q_2\}$。
- 读入 '0':
- 从 $q_0$ 读 '0',停留在 $q_0$。
- 从 $q_2$ 读 '0',路径死亡。
- 当前活动状态集:$\{q_0\}$。
- 字符串结束。活动状态集不包含接受状态,字符串 "1100" 不被接受。
⚠️ [易错点]
- DFA思维:最常见的错误是用DFA的思路来设计,导致需要更多的状态来处理匹配失败后回退的情况。例如,在看到 "10" 后如果下一个是 "0" (构成 "100"),DFA需要一个状态来“记住”这个结尾的 "0" 可能是一个新的 "101" 的一部分(如果下一个是 "1" 的话)。NFA通过路径死亡和并行探索,简化了这种逻辑。
- 起始状态的循环:忘记在起始状态 $q_0$ 上添加对 0 和 1 的自循环,会导致NFA只能识别以 "101" 开头的字符串。
- 接受状态的循环:忘记在接受状态 $q_3$ 上添加对 0 和 1 的自循环,会导致NFA只能识别以 "101" 结尾的字符串。
📝 [总结]
我们利用NFA的非确定性,设计了一个四状态的自动机来识别包含子串 "101" 的语言。其核心思想是:在“寻找”阶段,任何字符都停留在原位;一旦遇到可能是模式开头的字符'1',就“分身”出一条新的探索路径,专门验证后续字符是否匹配 "01",而原路径继续寻找新的可能性。一旦匹配成功,就进入一个“万事大吉”的接受状态。
🎯 [存在目的]
这个问题的目的是让学生练习使用NFA的核心特性——非确定性(并行路径探索)来解决模式匹配问题,并体会其相对于DFA在设计上的简洁性。
🧠 [直觉心智模型]
想象你在一条长长的纸带上查找单词“cat”。你是一个机器人,一次只能看一个字母。
- DFA方式:你看一个字母,然后根据规则移动。如果看到'c',你进入“可能找到了c”的状态。下一个是'a',你进入“可能找到了ca”的状态。如果下一个是't',你成功了!但如果中间任何一步错了,比如看到'c'后面是'b',你必须回到初始的“瞎找”状态。
- NFA方式:你看一个字母。如果看到'c',你立刻克隆一个自己,让克隆体去验证后面是不是'at',而本体则继续往前走,寻找下一个'c'。任何一个克隆体成功,整个任务就成功了。这就是NFA的“猜测”和“并行宇宙”能力。
💭 [直观想象]
想象你在一个岔路口。左边的路标写着“继续随便逛逛”,右边的路标写着“通往寻找‘101’宝藏之路的第一步(需要‘1’)”。NFA的神奇之处在于,你不需要选择,你可以同时走上两条路。如果走宝藏之路时发现路断了(比如需要‘0’但来了个‘1’),那条路上的你就消失了。但只要有任何一个你最终走到了宝藏终点,你就成功了。
21.2 (b) 恰好有两个 0 或有偶数个 1
📜 [原文4]
(b) $L=\left\{w \in\{0,1\}^{*} \mid w\right.$ 恰好有两个 0 或有偶数个 1$\}$
📖 [逐步解释]
这个语言是两个子语言的并集:
- $L_1 = \{w \mid w \text{ 恰好有两个 0}\}$
- $L_2 = \{w \mid w \text{ 有偶数个 1}\}$
根据正则语言对并运算的封闭性,我们可以分别为 $L_1$ 和 $L_2$ 构造自动机,然后使用并的构造方法将它们组合起来。NFA的并构造非常简单:创建一个新的起始状态,然后用 ε-转移(空转移)连接到原来两个自动机的起始状态。
1. 构造识别 $L_1$ (恰好有两个 0) 的 NFA (实际上是DFA):
我们需要计数字符串中 0 的数量。
- $c_0$: 起始状态,表示有0个'0'。
- $c_1$: 表示有1个'0'。
- $c_2$: 表示有2个'0'。这是接受状态。
- $c_3$: “陷阱”状态,表示有超过2个'0'。
转移如下:
- $c_0 \xrightarrow{0} c_1$, $c_0 \xrightarrow{1} c_0$
- $c_1 \xrightarrow{0} c_2$, $c_1 \xrightarrow{1} c_1$
- $c_2 \xrightarrow{0} c_3$, $c_2 \xrightarrow{1} c_2$ (在 $c_2$ 读到'1's不改变0的计数)
- $c_3 \xrightarrow{0,1} c_3$
2. 构造识别 $L_2$ (偶数个 1) 的 NFA (实际上是DFA):
我们需要计数 1 的数量是奇数还是偶数。
- $e_0$: 起始状态,表示有偶数个'1' (0是偶数)。这是接受状态。
- $e_1$: 表示有奇数个'1'。
转移如下:
- $e_0 \xrightarrow{1} e_1$, $e_0 \xrightarrow{0} e_0$
- $e_1 \xrightarrow{1} e_0$, $e_1 \xrightarrow{0} e_1$
3. 组合成最终的 NFA:
- 创建一个新的起始状态 $q_{start}$。
- 从 $q_{start}$ 添加两条 ε-转移:
- $q_{start} \xrightarrow{\epsilon} c_0$ (连接到 $L_1$ 的起始状态)
- $q_{start} \xrightarrow{\epsilon} e_0$ (连接到 $L_2$ 的起始状态)
- 所有原来是接受状态的,现在仍然是接受状态。所以接受状态集合是 $\{c_2, e_0\}$。
这个组合起来的 NFA 有7个状态 ($q_{start}, c_0, c_1, c_2, c_3, e_0, e_1$)。当一个字符串输入时,NFA会“猜测”这个字符串应该满足哪个条件(有两个0还是偶数个1),然后进入相应的子自动机进行验证。
💡 [数值示例]
使用上面构造的组合 NFA:
- 开始于 $q_{start}$。
- 立即进行 ε-转移,活动状态集变为 $\{c_0, e_0\}$。
- 读入 '1':
- 从 $c_0$ 读 '1' -> $c_0$。
- 从 $e_0$ 读 '1' -> $e_1$。
- 活动状态集:$\{c_0, e_1\}$。
- 读入 '0':
- 从 $c_0$ 读 '0' -> $c_1$。
- 从 $e_1$ 读 '0' -> $e_1$。
- 活动状态集:$\{c_1, e_1\}$。
- 读入 '1':
- 从 $c_1$ 读 '1' -> $c_1$。
- 从 $e_1$ 读 '1' -> $e_0$。
- 活动状态集:$\{c_1, e_0\}$。
- 读入 '0':
- 从 $c_1$ 读 '0' -> $c_2$。
- 从 $e_0$ 读 '0' -> $e_0$。
- 活动状态集:$\{c_2, e_0\}$。
- 字符串结束。活动状态集包含 $c_2$ 和 $e_0$,两者都是接受状态。所以 "1010" 被接受。(它恰好有两个0,并且有偶数个1)。
- 开始于 $q_{start}$,ε-转移后活动状态集为 $\{c_0, e_0\}$。
- 读入 '0':活动状态集 $\{c_1, e_0\}$。
- 读入 '1':活动状态集 $\{c_1, e_1\}$。
- 读入 '0':活动状态集 $\{c_2, e_1\}$。
- 读入 '1':活动状态集 $\{c_2, e_0\}$。
- 读入 '0':
- 从 $c_2$ 读 '0' -> $c_3$。
- 从 $e_0$ 读 '0' -> $e_0$。
- 活动状态集:$\{c_3, e_0\}$。
- 字符串结束。活动状态集包含接受状态 $e_0$。所以 "01010" 被接受。(因为它有偶数个1,虽然它有三个0)。
⚠️ [易错点]
- 混淆两个条件:错误地试图在一个单一的、没有 ε-转移 的自动机里同时跟踪两个独立的条件。这会使状态设计变得异常复杂。
- 空字符串 $\epsilon$:空字符串有0个'0'和0个'1'。0是偶数,所以它满足“有偶数个1”的条件。我们的NFA能正确处理:$q_{start} \xrightarrow{\epsilon} e_0$,由于 $e_0$ 是接受状态,空字符串被接受。
- 忘记陷阱状态:在构造 $L_1$ 的自动机时,如果忘记了 $c_3$(超过两个0的状态),那么一旦达到两个0,自动机可能会错误地接受之后还有0的字符串。
📝 [总结]
通过利用正则语言对并运算的封闭性,我们将一个复杂的问题分解为两个简单子问题的组合。我们分别为“恰好有两个0”和“偶数个1”构建了(DFA形式的)自动机,然后使用NFA的并构造法(即新的起始状态+ε-转移)将它们优雅地连接在一起,形成一个识别目标语言的NFA。
🎯 [存在目的]
这个问题的目的是考察学生是否理解正则语言的封闭性,并能应用标准的NFA构造方法(特别是并运算的构造)来解决复合条件的语言识别问题。
🧠 [直觉心智模型]
想象你有两个专家机器人。专家A只关心字符串里有多少个'0',如果正好是两个,他就会举起一个“通过”的牌子。专家B只关心有多少个'1',如果是偶数个,他也会举起“通过”的牌子。
当你拿到一个字符串,你把它同时交给A和B。只要他们中任何一个举起了“通过”的牌子,这个字符串就合格。新的起始状态和ε-转移就像是那个把字符串复印两份,分别交给A和B的“分发员”。
💭 [直观想象]
你来到一个主题公园的入口($q_{start}$)。入口处有两条免费的传送带(ε-转移)。一条带你去“双零山洞”($c_0$),另一条带你去“偶一乐园”($e_0$)。你被复制成了两个人,一个去了山洞,一个去了乐园。你们各自拿着字符串地图开始游览。如果在地图走完时,去山洞的你正好到达了山顶宝藏处($c_2$),或者去乐园的你正好在出口的庆祝广场上($e_0$),那么你就被认为“成功游览”了。
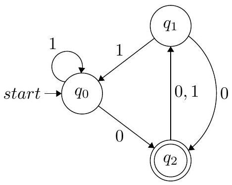
2.2 问题 2.
📜 [原文5]
(a) 此 NFA 识别的语言是什么?

(b) 此 NFA 识别的语言是什么?

📖 [逐步解释]
这一节要求我们反向工程:给定一个NFA的状态图,我们要推断出它所接受的语言,并用自然语言或集合符号来描述。
22.1 (a) NFA语言识别 (包含"00")
📜 [原文6]
(a) 此 NFA 识别的语言是什么?

📖 [逐步解释]
我们来分析这个NFA的行为:
- 状态: 有三个状态,我们标记为 $q_0, q_1, q_2$。
- $q_0$: 起始状态(由一个指向它的、没有来源的箭头指示)。
- $q_2$: 接受状态(由双层圆圈指示)。
- 转移:
- $q_0 \xrightarrow{0,1} q_0$: 在起始状态,任何输入(0或1)都可以让它停留在原地。这表示在匹配到关键模式之前,可以有任意的前缀。
- $q_0 \xrightarrow{0} q_1$: 当输入为'0'时,除了停留在$q_0$,还可以选择进入$q_1$。这像是在说:“嘿,这可能是一个关键模式的开始。”
- $q_1 \xrightarrow{0} q_2$: 从$q_1$状态,如果再输入一个'0',就可以进入接受状态$q_2$。这表明,连续的两个'0'(即子串"00")是通往接受的关键。
- $q_2 \xrightarrow{0,1} q_2$: 一旦进入接受状态$q_2$,任何后续的输入(0或1)都会让它停留在$q_2$。这意味着一旦字符串中出现了"00",无论后面跟什么,整个字符串都会被接受。
综合分析:
- 要想到达接受状态$q_2$,必须经过路径 $q_0 \xrightarrow{0} q_1 \xrightarrow{0} q_2$。
- 这要求输入字符串中必须包含一个子串"00"。
- 在"00"出现之前,可以在$q_0$上消耗任意的0和1(对应正则表达式 $(0 \cup 1)^{*}$)。
- 在"00"出现之后,可以在$q_2$上消耗任意的0和1(对应正则表达式 $(0 \cup 1)^{*}$)。
所以,这个NFA接受的语言是所有包含子串"00"的二进制字符串。用正则表达式表示就是 $(0 \cup 1)^{*}00(0 \cup 1)^{*}$。
💡 [数值示例]
- $q_0$, 读 '1' -> $q_0$。活动状态集 $\{q_0\}$。
- $q_0$, 读 '0' -> $q_0$ 或 $q_1$。活动状态集 $\{q_0, q_1\}$。
- 读 '0':
- 从 $q_0$ 读 '0' -> $q_0$ 或 $q_1$。
- 从 $q_1$ 读 '0' -> $q_2$。
- 合并结果,活动状态集 $\{q_0, q_1, q_2\}$。
- 读 '1':
- 从 $q_0$ 读 '1' -> $q_0$。
- 从 $q_1$ 读 '1' -> (路径死亡)。
- 从 $q_2$ 读 '1' -> $q_2$。
- 合并结果,活动状态集 $\{q_0, q_2\}$。
- 结束。活动状态集包含接受状态 $q_2$,所以 "1001" 被接受。
- $q_0$, 读 '0' -> $\{q_0, q_1\}$。
- 读 '1' -> 从 $q_0$ 得到 $q_0$,从 $q_1$ 路径死亡。活动状态集 $\{q_0\}$。
- $q_0$, 读 '0' -> $\{q_0, q_1\}$。
- 读 '1' -> 从 $q_0$ 得到 $q_0$,从 $q_1$ 路径死亡。活动状态集 $\{q_0\}$。
- 结束。活动状态集不含接受状态,所以 "0101" 不被接受。
⚠️ [易错点]
- 忽略非确定性: 如果只看一条路径,比如 $q_0 \xrightarrow{0} q_0 \xrightarrow{0} q_0 ...$,会误以为无法到达$q_2$。必须考虑在每个状态,输入一个符号后所有可能的下一个状态的集合。
- 语言描述不精确: 可能会错误地描述为“以00结尾的字符串”。这是不对的,因为$q_2$有出边,接受后还可以跟任意字符。
📝 [总结]
该NFA通过一个三状态链($q_0 \to q_1 \to q_2$)来检测子串"00"的出现,并利用起始状态和接受状态的自循环来允许"00"出现在字符串的任何位置。因此,它识别的语言是“所有包含子串‘00’的二进制字符串”。
🎯 [存在目的]
此题旨在检验学生解读NFA状态图并将其行为抽象为形式语言描述的能力。
🧠 [直觉心智模型]
这个NFA像一个警报系统,专门检测“连续两个0”。
- $q_0$是“待机”状态。系统在不断接收信号,但没发现异常。
- 当第一个'0'进来时,系统“警觉”起来,分出一个线程进入$q_1$“观察”状态(“可能要出事了”),但主系统仍在$q_0$“待机”。
- 如果在“观察”状态下,紧接着又来一个'0',该线程就立刻触发警报,进入$q_2$“警报拉响”状态。
- 一旦警报拉响,就再也不会停止,无论后面是什么信号。
💭 [直观想象]
想象你在玩一个游戏,目标是踩到两个连续的标有“0”的石板。你可以随便在任何石板上跳($q_0$的循环)。当你踩到一个“0”石板时,你可以选择继续随便跳,也可以选择跳到一个特殊的“预备”石板$q_1$上。如果你在$q_1$上,再跳一步又踩到一个“0”石板,你就赢了,被传送到终点房间$q_2$。到了终点房间,你可以随便跳舞($q_2$的循环),游戏已经胜利。
22.2 (b) NFA语言识别 (首尾字符相同)
📜 [原文7]
(b) 此 NFA 识别的语言是什么?

📖 [逐步解释]
我们来分析这个更复杂的NFA:
- 状态: 有五个状态,我们标记为 $q_0, q_1, q_2, q_3, q_4$。
- $q_0$: 起始状态。它也是一个接受状态,这意味着空字符串$\epsilon$被接受。
- $q_2, q_4$: 另外两个接受状态。
- 转移:
- 从 $q_0$ 出发:
- $q_0 \xrightarrow{0} q_1$: “猜测”字符串以'0'开头。
- $q_0 \xrightarrow{1} q_3$: “猜测”字符串以'1'开头。
- 因为$q_0$本身是接受状态,这处理了空字符串$\epsilon$的情况。
- "0"路径:
- $q_1 \xrightarrow{0,1} q_1$: 一旦以'0'开头,中间可以有任意多个0和1。
- $q_1 \xrightarrow{0} q_2$: 当以'0'结尾时,可以进入接受状态$q_2$。
- "1"路径:
- $q_3 \xrightarrow{0,1} q_3$: 一旦以'1'开头,中间可以有任意多个0和1。
- $q_3 \xrightarrow{1} q_4$: 当以'1'结尾时,可以进入接受状态$q_4$。
综合分析:
这个NFA的结构明显分成了两大赛道:
- 空字符串: 起始状态$q_0$就是接受状态,所以空字符串 $\epsilon$ 被接受。
- 以0开头的路径: 从$q_0$经过$q_1$到$q_2$。这条路径要求第一个字符是'0'。中间经过$q_1$的自循环,可以有任意字符。最后要想到达接受状态$q_2$,必须以'0'结尾。所以这条路径接受的语言是“以0开头且以0结尾的非空字符串”。
- 以1开头的路径: 从$q_0$经过$q_3$到$q_4$。这条路径要求第一个字符是'1'。中间经过$q_3$的自循环,可以有任意字符。最后要想到达接受状态$q_4$,必须以'1'结尾。所以这条路径接受的语言是“以1开头且以1结尾的非空字符串”。
结论: 将这三种情况合并:
- 空字符串 $\epsilon$。
- 以0开头且以0结尾的非空字符串。
- 以1开头且以1结尾的非空字符串。
这可以统一描述为:所有首尾字符相同的二进制字符串,以及空字符串。
我们还可以考虑单字符字符串:
- "0": $q_0 \xrightarrow{0} q_1 \xrightarrow{0} q_2$ (路径不成立)。但是, $q_0 \xrightarrow{0} q_1$ 是合法的,但是$q_1$不是接受状态。这里的设计有些微妙。让我们重新审视一下 $q_1 \xrightarrow{0} q_2$。这意味着要想到达$q_2$,字符串至少要长为2。
- Let's re-trace "0": $q_0 \xrightarrow{0} q_1$. 字符串结束, $q_1$不是接受态。不接受。
- Let's re-trace "00": $q_0 \xrightarrow{0} q_1 \xrightarrow{0} q_2$. 字符串结束, $q_2$是接受态。接受。
- Let's re-trace "1": $q_0 \xrightarrow{1} q_3$. 字符串结束,不接受。
- Let's re-trace "11": $q_0 \xrightarrow{1} q_3 \xrightarrow{1} q_4$. 字符串结束,接受。
所以,这个NFA接受的语言是:
- 空字符串 $\epsilon$。
- 所有长度大于等于2的,首尾字符相同的字符串。
这与通常理解的“首尾字符相同”(包含单字符 "0", "1")略有不同。我们必须严格按照自动机的定义来。
让我们检查一下,也许单字符可以被接受?
- "0": 从 $q_0$ 读 '0',只能到 $q_1$。$q_1$不是接受态。所以 "0" 不被接受。
- "1": 从 $q_0$ 读 '1',只能到 $q_3$。$q_3$不是接受态。所以 "1" 不被接受。
因此,最终结论是:该语言是空字符串 $\epsilon$ ,以及所有长度至少为2且首字符和尾字符相同的二进制字符串。
用集合表示为:
$L = \{\epsilon\} \cup \{w \in \{0,1\}^* \mid |w| \ge 2 \text{ and } w \text{ starts and ends with '0'}\} \cup \{w \in \{0,1\}^* \mid |w| \ge 2 \text{ and } w \text{ starts and ends with '1'}\}$
或者更简洁地: $L = \{\epsilon\} \cup \{0w0 \mid w \in \{0,1\}^*\} \cup \{1w1 \mid w \in \{0,1\}^*\}$
💡 [数值示例]
- $q_0$, 读 '0' -> $q_1$。
- $q_1$, 读 '1' -> $q_1$。
- $q_1$, 读 '1' -> $q_1$。
- $q_1$, 读 '0' -> $q_1$ 或 $q_2$。活动状态集 $\{q_1, q_2\}$。
- 结束。活动状态集包含接受状态 $q_2$,所以 "0110" 被接受。
- $q_0$, 读 '1' -> $q_3$。
- $q_3$, 读 '0' -> $q_3$。
- $q_3$, 读 '1' -> $q_3$ 或 $q_4$。活动状态集 $\{q_3, q_4\}$。
- 结束。活动状态集包含接受状态 $q_4$,所以 "101" 被接受。
- $q_0$, 读 '0' -> $q_1$。
- $q_1$, 读 '1' -> $q_1$。
- 结束。活动状态集是 $\{q_1\}$,不含接受状态,所以 "01" 不被接受。
⚠️ [易错点]
- 空字符串: $q_0$是接受状态,所以空字符串 $\epsilon$ 被接受。很容易忽略这一点。
- 单字符字符串: 如分析所示,"0" 和 "1" 不被这个NFA接受。这是一个非常关键的边界情况,容易误判为“所有首尾相同的字符串”。
- 非确定性的作用: 在 $q_1$ 读到 '0' 时,既可以停留在 $q_1$(如果后面还有字符),也可以进入 $q_2$(如果这是最后一个字符)。这种“猜测”字符串是否结束的能力是NFA的关键。
📝 [总结]
该NFA通过一个初始分叉来“猜测”字符串是以 '0' 还是 '1' 开头,然后进入两条独立的路径。每条路径都允许任意的中间部分,但只有在字符串以与开头相同的字符结束时,才能到达该路径的接受状态。此外,起始状态本身也是接受状态,用于接纳空字符串。因此,该NFA识别的语言是:空字符串,以及所有长度不小于2且首尾字符相同的二进制字符串。
🎯 [存在目的]
此题考察学生分析一个具有并行逻辑和非确定性“猜测”的NFA的能力,并精确地描述其所识别的语言,特别是要注意对空字符串和单字符等边界情况的处理。
🧠 [直觉心智模型]
这个NFA像一个有特殊规则的俱乐部守门员。
- 规则0: 如果你什么都没带(空字符串),可以直接进去($q_0$是接受状态)。
- 规则1: 如果你带的物品(字符串)第一个是苹果('0'),守门员会把你引导到“苹果通道”($q_1$)。你可以在通道里拿任意数量的苹果或香蕉,但最后一件必须是苹果,才能进入“苹果贵宾室”($q_2$)并被认可。
- 规则2: 如果你带的物品第一个是香蕉('1'),守门员会把你引导到“香蕉通道”($q_3$)。规则类似,最后一件必须是香蕉,才能进入“香蕉贵宾室”($q_4$)。
- 如果你带的东西首尾不一致,比如以苹果开头,以香蕉结尾,你就会被困在通道里,无法进入任何贵宾室。
💭 [直观想象]
想象一个分叉的铁路系统。从总站($q_0$)出发,你可以选择登上“0号线”(去$q_1$)或“1号线”(去$q_3$)。
- “0号线”列车在沿途($q_1$的循环)可以随意上下客(读0或1),但只有在终点站前最后一站是“0号站”时,才能最终抵达接受终点站$q_2$。
- “1号线”同理,最后一站必须是“1号站”才能抵达接受终点站$q_4$。
- 总站$q_0$本身也是一个特殊的“原地休息区”,被视为一个有效的终点。所以什么都不做(空字符串)也是一种成功。
2.3 问题 3. 使用 子集构造法 将此 NFA 转换为等价的 DFA:
📜 [原文8]

📖 [逐步解释]
子集构造法(Subset Construction)是一种标准的算法,用于将一个NFA转换为一个等价的DFA。其核心思想是,DFA的每一个状态都对应于NFA中可能处于的状态的集合(子集)。
让我们把给定的NFA状态标记为:状态1和状态2。
- NFA状态: $N = \{1, 2\}$。
- 字母表: $\Sigma = \{a, b\}$。
- NFA起始状态: $q_{start\_NFA} = \{1\}$。
- NFA接受状态: $F_{NFA} = \{2\}$。
- NFA转移函数 $\delta_N$:
- $\delta_N(1, a) = \{1, 2\}$
- $\delta_N(1, b) = \{2\}$
- $\delta_N(2, a) = \emptyset$ (空集)
- $\delta_N(2, b) = \{1, 2\}$
- 这个NFA没有 ε-转移,所以我们不需要计算 ε-闭包。
构造 DFA 步骤:
- DFA 的起始状态: DFA的起始状态是NFA起始状态所在的集合。这里就是 $\{1\}$。我们把这个新的DFA状态命名为 $S_0 = \{1\}$。
- 探索 $S_0 = \{1\}$:
- 输入 'a': 我们需要计算从 $S_0$ 中的每个NFA状态出发,经过 'a' 能到达的所有NFA状态的并集。
- $ \delta_D(S_0, a) = \delta_N(1, a) = \{1, 2\} $
- 这是一个新的DFA状态。我们命名为 $S_1 = \{1, 2\}$。
- 输入 'b':
- $ \delta_D(S_0, b) = \delta_N(1, b) = \{2\} $
- 这是一个新的DFA状态。我们命名为 $S_2 = \{2\}$。
- 探索 $S_1 = \{1, 2\}$:
- 输入 'a':
- $ \delta_D(S_1, a) = \delta_N(1, a) \cup \delta_N(2, a) = \{1, 2\} \cup \emptyset = \{1, 2\} $
- 这个状态我们已经见过了,就是 $S_1$。所以 $S_1 \xrightarrow{a} S_1$。
- 输入 'b':
- $ \delta_D(S_1, b) = \delta_N(1, b) \cup \delta_N(2, b) = \{2\} \cup \{1, 2\} = \{1, 2\} $
- 这个状态也是 $S_1$。所以 $S_1 \xrightarrow{b} S_1$。
- 探索 $S_2 = \{2\}$:
- 输入 'a':
- $ \delta_D(S_2, a) = \delta_N(2, a) = \emptyset $
- 这是一个新的DFA状态,即空集状态。我们命名为 $S_3 = \emptyset$。这是一个“陷阱”状态。
- 输入 'b':
- $ \delta_D(S_2, b) = \delta_N(2, b) = \{1, 2\} $
- 这个状态是 $S_1$。所以 $S_2 \xrightarrow{b} S_1$。
- 探索 $S_3 = \emptyset$:
- 输入 'a':
- $ \delta_D(S_3, a) = \emptyset $
- 它自己转移到自己。$S_3 \xrightarrow{a} S_3$。
- 输入 'b':
- $ \delta_D(S_3, b) = \emptyset $
- 它自己转移到自己。$S_3 \xrightarrow{b} S_3$。
整合 DFA:
- DFA 状态集: $Q_D = \{S_0, S_1, S_2, S_3\}$,其中 $S_0=\{1\}, S_1=\{1,2\}, S_2=\{2\}, S_3=\emptyset$。
- DFA 起始状态: $S_0 = \{1\}$。
- DFA 接受状态: DFA的接受状态是所有那些包含了NFA接受状态的集合。NFA的接受状态是 $\{2\}$。所以,任何包含状态'2'的DFA状态都是接受状态。
- $S_1 = \{1, 2\}$ 包含 '2',是接受状态。
- $S_2 = \{2\}$ 包含 '2',是接受状态。
- $F_D = \{S_1, S_2\}$。
DFA 转移表:
| DFA 状态 |
对应NFA子集 |
输入 'a' |
输入 'b' |
是否接受? |
| $S_0$ |
$\{1\}$ |
$S_1$ |
$S_2$ |
否 |
| $S_1$ |
$\{1, 2\}$ |
$S_1$ |
$S_1$ |
是 |
| $S_2$ |
$\{2\}$ |
$S_3$ |
$S_1$ |
是 |
| $S_3$ |
$\emptyset$ |
$S_3$ |
$S_3$ |
否 |
画出 DFA 状态图:
- 画出四个圈,分别标记为 $S_0, S_1, S_2, S_3$。
- $S_0$ 是起始状态(画一个无源箭头指向它)。
- $S_1$ 和 $S_2$ 是接受状态(画成双层圆圈)。
- 根据上表连接箭头:
- $S_0 \xrightarrow{a} S_1$
- $S_0 \xrightarrow{b} S_2$
- $S_1 \xrightarrow{a} S_1$ (自循环)
- $S_1 \xrightarrow{b} S_1$ (自循环)
- $S_2 \xrightarrow{a} S_3$
- $S_2 \xrightarrow{b} S_1$
- $S_3 \xrightarrow{a} S_3$ (自循环)
- $S_3 \xrightarrow{b} S_3$ (自循环)
💡 [数值示例]
让我们用NFA和构造出的DFA来跟踪同一个字符串。
- 起始于 $\{1\}$。
- 读 'a':从 1 读 'a',到达 $\{1, 2\}$。活动状态集 $\{1, 2\}$。
- 读 'b':从 1 读 'b' 到 $\{2\}$,从 2 读 'b' 到 $\{1, 2\}$。并集是 $\{1, 2\}$。
- 结束。活动状态集 $\{1, 2\}$ 包含接受状态 2,所以 "ab" 被接受。
- 起始于 $S_0$。
- 读 'a':$S_0 \xrightarrow{a} S_1$。当前状态 $S_1$。
- 读 'b':$S_1 \xrightarrow{b} S_1$。当前状态 $S_1$。
- 结束。当前状态 $S_1$ 是接受状态,所以 "ab" 被接受。
- 起始于 $\{1\}$。
- 读 'b':从 1 读 'b',到达 $\{2\}$。活动状态集 $\{2\}$。
- 读 'a':从 2 读 'a',到达 $\emptyset$。活动状态集 $\emptyset$。
- 结束。活动状态集不含接受状态,所以 "ba" 不被接受。
- 起始于 $S_0$。
- 读 'b':$S_0 \xrightarrow{b} S_2$。当前状态 $S_2$。
- 读 'a':$S_2 \xrightarrow{a} S_3$。当前状态 $S_3$。
- 结束。当前状态 $S_3$ 不是接受状态,所以 "ba" 不被接受。
⚠️ [易错点]
- ε-闭包: 这个例子没有 ε-转移。如果有,DFA的每个状态不仅是NFA状态的子集,而且是该子集经过任意次ε-转移能到达的所有状态的集合(即ε-闭包)。在计算转移时,也要先计算目标子集,再对结果取ε-闭包。
- 空集状态: 必须处理转移到空集的情况,这会产生一个“陷阱”状态(dead state),所有转移都指向自身,且不是接受状态。
- 识别所有新状态: 在构造过程中,只要出现一个新的子集,就必须将它加入待探索列表,直到没有新的子集产生为止。
- 确定接受状态: 接受状态的判断标准是“DFA状态(即NFA子集)中是否至少包含一个 NFA的接受状态”。
📝 [总结]
我们成功地应用了子集构造法,将一个2状态的NFA转换为了一个等价的4状态DFA。算法的核心是将NFA的不确定性(一个状态对一个输入可以去多个地方)转化为DFA的确定性(一个DFA状态代表NFA可能处于的所有状态的集合)。通过系统地探索这些子集以及它们之间的转移,我们构建了一个行为完全相同但没有非确定性的自动机。
🎯 [存在目的]
这个问题的目的是检验学生是否掌握了子集构造法这一核心算法。这是连接NFA和DFA的桥梁,也是证明两类自动机识别能力等价的关键。实际应用中,NFA易于设计,而DFA易于高效实现,因此该转换非常重要。
🧠 [直觉心智模型]
NFA像是量子态,一个粒子可以同时在多个位置(状态)。而DFA是经典观察者,它不知道粒子到底在哪,但它能精确地描述“粒子可能在的位置集合”。
- NFA说:“我在状态1,来了个'a',所以我现在可能在状态1,也可能在状态2。”
- DFA说:“你之前处于‘只可能在状态1’($S_0$)这个宏观状态。来了个'a',所以我知道你现在处于‘可能在状态1或状态2’($S_1$)这个新的宏观状态。”
DFA的每个状态,就是对NFA所有并行宇宙可能性的一种总结。
💭 [直观想象]
想象你是一个情报机构的负责人,正在追踪一个间谍(输入字符串)。这个间谍(NFA)行踪不定,在一个城市(状态)接到指令(输入)后,可能会出现在多个地点(下一个状态)。
- 你作为DFA,无法确定间谍的确切位置。但你可以维护一个“可能地点列表”(DFA的状态)。
- 你的初始列表是“{间谍起始点}”($S_0$)。
- 每当新情报(输入'a'或'b')传来,你就更新你的列表:对于列表中的每个可能地点,你都查一下间谍从那里接到新指令后会去哪些新地点,然后把所有这些新地点汇总成你的新“可能地点列表”。
- 如果你的列表中任何一个地点是间谍的目标(NFA的接受状态),你就在这个列表上盖一个“目标可能在此”的章(DFA的接受状态)。
33 正则语言的封闭性
📜 [原文9]
在课堂上,我们通过使用 NFA 展示了 正则语言类 在 连接、Kleene 星号 和 并 运算下是 封闭 的(此外之前还使用 DFA 展示了在 补、交 和 并 运算下的 封闭性)。在本节中,我们简要且非正式地回顾这些运算,并证明其他 封闭性,如 逆转、min、max 和 对称差。
📖 [逐步解释]
本节的引言部分,总结了课程已经讲过的内容,并预告了接下来要讨论的新内容。
- 正则语言类:指的是所有可以被有限自动机(DFA或NFA)识别的语言的集合。
- 封闭性(Closure Property):一个集合在一个运算下是封闭的,意味着从该集合中取出任意一个或两个元素进行该运算,得到的结果仍然在该集合内。
- 例如,整数集合在加法下是封闭的,因为任意两个整数相加,结果还是整数。但整数集合在除法下不封闭(例如 3 / 2 = 1.5,不是整数)。
- 已学内容回顾:
- 使用 NFA 证明了正则语言在以下三个基本正则运算下是封闭的:
- 并 (Union, $\cup$): $L_1 \cup L_2$
- 连接 (Concatenation, $\circ$): $L_1 \circ L_2$
- 克林星号 (Kleene Star, $*$): $L_1^*$
- 之前使用 DFA 证明了正则语言在以下布尔运算下是封闭的:
- 补 (Complement, $\overline{L}$): 通过将DFA的接受状态和非接受状态互换得到。
- 交 (Intersection, $\cap$): 通过乘积构造(Product Construction)得到。
- 并 (Union, $\cup$): 也可以通过乘积构造,或者利用德摩根定律 $\overline{(\overline{L_1} \cap \overline{L_2})}$。
- 本节目标:
- 简要回顾已学的并、连接、星号的NFA构造。
- 证明正则语言在一些其他运算下也是封闭的,包括:
- 逆转 (Reversal, $L^R$)
- min(L)
- max(L) (虽然这里写了,但后面问题里没出现,可能是笔误或计划在别处讲)
- 对称差 (Symmetric Difference)
📝 [总结]
本段是一个承上启下的段落。它首先系统地梳理了关于正则语言封闭性的已知知识点,区分了用DFA和NFA证明的不同运算,然后明确了本讲义练习将要探讨的新封闭性证明。
🎯 [存在目的]
这个引言的目的是为学生建立一个清晰的知识框架。它将新知识(如逆转运算的封闭性)置于现有知识(如并、连接的封闭性)的背景之下,帮助学生理解学习的脉络和本节练习的重点。
🧠 [直觉心智模型]
把“正则语言”想象成一个“工具箱”。我们已经知道,用这个工具箱里的任何两个工具(语言)通过“焊接”(并)、“胶水粘接”(连接)或者“自我复制”(星号)操作,制造出的新东西仍然能放回这个工具箱里。现在,我们要测试一些新的操作,比如“镜面翻转”(逆转),看看通过这些新操作产生的东西,是不是也同样能被放回这个工具箱里。
💭 [直观想象]
想象你有一个“乐高正则积木”俱乐部。俱乐部规定,只有特定类型的积木(正则语言)才能成为会员。
- 俱乐部章程写着:如果你有两个会员积木,把它们并排放在一起(并),或者头尾相连(连接),或者拿一个会员积木无限复制自己连成一长串(星号),得到的新组合体自动成为会员。这是已经证明的老规矩。
- 这次的俱乐部活动(本讲义)就是要讨论几个新提案:
- 把一个会员积木整体翻个面(逆转),它还有资格当会员吗?
- 从一个会员积木上切下“最小的有效片段”(min),这个片段有资格当会员吗?
我们将要通过构造法来投票表决(证明)这些提案。
3.1 a) 在 并 运算下 封闭
📜 [原文10]
回顾。为了构造两个语言的 并,我们添加一个新的 起始状态 和到旧 起始状态 的 $\epsilon$-转移。



📖 [逐步解释]
这部分回顾了为两个正则语言 $L_1$ 和 $L_2$ 的并集 $L_1 \cup L_2$ 构造NFA的标准方法。
假设我们已经有了识别 $L_1$ 的NFA $N_1$ 和识别 $L_2$ 的NFA $N_2$。
- 图片分析:
- 第一张图是一个抽象的NFA $N_1$,它有一个起始状态和一些接受状态,识别语言 $L_1$。
- 第二张图是另一个抽象的NFA $N_2$,识别语言 $L_2$。
- 第三张图展示了构造 $L_1 \cup L_2$ 的NFA $N$ 的过程。
- 构造步骤:
- 不改变原有机器: 保持 $N_1$ 和 $N_2$ 的内部结构完全不变。
- 添加新起始状态: 创建一个全新的状态,作为新NFA $N$ 的唯一起始状态,我们称之为 $q_{new\_start}$。
- 添加ε-转移: 从 $q_{new\_start}$ 画两条ε-转移(不消耗任何输入符号的转移):一条指向 $N_1$ 的原起始状态,另一条指向 $N_2$ 的原起始状态。
- 接受状态: $N$ 的接受状态集合是 $N_1$ 和 $N_2$ 所有接受状态的并集。
- 工作原理:
当一个新的字符串输入到 $N$ 时,它首先从 $q_{new\_start}$ 开始。由于有ε-转移,NFA会立即、不消耗任何输入地“分裂”成两个并行的计算路径:一个进入了 $N_1$ 的起始点,另一个进入了 $N_2$ 的起始点。
- 接下来,整个字符串会在这两条路径上(在 $N_1$ 和 $N_2$ 内部)并行地进行处理。
- 如果字符串走完后,在 $N_1$ 内部的路径到达了 $N_1$ 的一个接受状态,那么整个字符串就被 $N$ 接受。
- 或者,如果字符串在 $N_2$ 内部的路径到达了 $N_2$ 的一个接受状态,整个字符串也被 $N$ 接受。
- 这正好对应了并集的定义:一个字符串属于 $L_1 \cup L_2$,当且仅当它属于 $L_1$ 或者 属于 $L_2$。
📝 [总结]
该部分图文并茂地回顾了NFA的并运算构造法。其精髓在于利用ε-转移提供一个“选择”:让输入字符串有机会在识别 $L_1$ 的机器上运行,同时也有机会在识别 $L_2$ 的机器上运行。只要其中任何一个成功,整个任务就算成功。
🎯 [存在目的]
在提出具体问题前,通过回顾标准构造法来激活学生的先验知识,为后续要求学生亲手实践这一构造法的问题(问题4)做好铺垫。
🧠 [直觉心智模型]
这就像一个双人安检系统。乘客(字符串)来到总入口(新起始状态)。入口处有两条传送带(ε-转移),一条通往安检员A($N_1$),另一条通往安检员B($N_2$)。乘客被复制,同时接受A和B的检查。只要其中任何一个安检员亮了绿灯(到达接受状态),乘客就可以通过。
💭 [直观想象]
想象你要参加一场考试,有两个考场可选($N_1$和$N_2$)。你在大门口($q_{new\_start}$)登记后,可以选择进入任意一个考场(ε-转移)。你的试卷(输入字符串)在这两个考场里都会被批改。只要你在任何一个考场及格了(到达接受状态),你的总成绩就是“通过”。
31.1 问题 4
📜 [原文11]
问题 4. $L=\left\{w \in\{0,1\}^{*} \mid w\right.$ 有偶数个 0,或者 $w$ 没有两个连续的 $\left.1^{\prime} s\right\}$。在作业 1 第 2 题 a 中,我们将 $L$ 表示为两个 正则语言 的 并。使用为每个语言构造的 DFA,现在画一个识别该 并 的 NFA。
📖 [逐步解释]
这个问题要求我们应用刚刚回顾的并构造法。语言 $L$ 是两个子语言 $L_1$ 和 $L_2$ 的并集。
- $L_1 = \{w \in \{0,1\}^* \mid w \text{ 有偶数个 0}\}$
- $L_2 = \{w \in \{0,1\}^* \mid w \text{ 没有两个连续的 1's}\}$
第一步:为 $L_1$ 构造 DFA
我们需要一个DFA来记录0的个数的奇偶性。
- 状态 $E_0$: 偶数个0(起始状态,接受状态)。
- 状态 $O_0$: 奇数个0。
- 转移:
- $E_0 \xrightarrow{0} O_0$
- $E_0 \xrightarrow{1} E_0$ (1不改变0的奇偶性)
- $O_0 \xrightarrow{0} E_0$
- $O_0 \xrightarrow{1} O_0$ (1不改变0的奇偶性)
- 起始状态: $E_0$。
- 接受状态: $\{E_0\}$。
第二步:为 $L_2$ 构造 DFA
我们需要一个DFA来检测是否出现了 "11"。
- 状态 $S$: 起始状态,没有连续的1(接受状态)。
- 状态 $S_1$: 刚刚看到了一个1(接受状态)。
- 状态 $D$: "Dead" 状态,已经看到了 "11"(非接受状态)。
- 转移:
- $S \xrightarrow{0} S$
- $S \xrightarrow{1} S_1$
- $S_1 \xrightarrow{0} S$ (连续1被打断)
- $S_1 \xrightarrow{1} D$ (出现 "11")
- $D \xrightarrow{0,1} D$ (一旦出现 "11",永远陷在这里)
- 起始状态: $S$。
- 接受状态: $\{S, S_1\}$。
第三步:使用并构造法组合成 NFA
- 创建新起始状态: $q_{start}$。
- 添加 ε-转移:
- $q_{start} \xrightarrow{\epsilon} E_0$ (连接到 $L_1$ 的 DFA 起始状态)
- $q_{start} \xrightarrow{\epsilon} S$ (连接到 $L_2$ 的 DFA 起始状态)
- 整合状态: 整个NFA的状态集是 $\{q_{start}, E_0, O_0, S, S_1, D\}$。
- 整合接受状态: 新NFA的接受状态是原来两个DFA接受状态的并集,即 $\{E_0, S, S_1\}$。
画出最终的 NFA:
- 在左边画一个新状态 $q_{start}$,并标记为起始状态。
- 画出 $L_1$ 的两状态DFA ($E_0, O_0$),其中 $E_0$ 是双圈。
- 画出 $L_2$ 的三状态DFA ($S, S_1, D$),其中 $S$ 和 $S_1$ 是双圈。
- 从 $q_{start}$ 画一条带 $\epsilon$ 标签的箭头指向 $E_0$。
- 从 $q_{start}$ 画另一条带 $\epsilon$ 标签的箭头指向 $S$。
💡 [数值示例]
- 示例 1: 输入 "101"
- 该字符串有奇数个0,并且没有连续的1。所以它属于$L_2$,应该被接受。
- NFA 跟踪:
- $q_{start}$ -> ε-转移后活动状态集 $\{E_0, S\}$。
- 读 '1': 从 $E_0$ 到 $E_0$,从 $S$ 到 $S_1$。活动状态集 $\{E_0, S_1\}$。
- 读 '0': 从 $E_0$ 到 $O_0$,从 $S_1$ 到 $S$。活动状态集 $\{O_0, S\}$。
- 读 '1': 从 $O_0$ 到 $O_0$,从 $S$ 到 $S_1$。活动状态集 $\{O_0, S_1\}$。
- 结束。活动状态集包含接受状态 $S_1$,所以 "101" 被接受。
- 示例 2: 输入 "0011"
- 该字符串有偶数个0,但有连续的1。它属于$L_1$,应该被接受。
- NFA 跟踪:
- $q_{start}$ -> ε-转移后活动状态集 $\{E_0, S\}$。
- 读 '0': 从 $E_0$ 到 $O_0$,从 $S$ 到 $S$。活动状态集 $\{O_0, S\}$。
- 读 '0': 从 $O_0$ 到 $E_0$,从 $S$ 到 $S$。活动状态集 $\{E_0, S\}$。
- 读 '1': 从 $E_0$ 到 $E_0$,从 $S$ 到 $S_1$。活动状态集 $\{E_0, S_1\}$。
- 读 '1': 从 $E_0$ 到 $E_0$,从 $S_1$ 到 $D$。活动状态集 $\{E_0, D\}$。
- 结束。活动状态集包含接受状态 $E_0$,所以 "0011" 被接受。
- 示例 3: 输入 "110"
- 该字符串有奇数个0,并且有连续的1。它既不属于$L_1$也不属于$L_2$,不应被接受。
- NFA 跟踪:
- $q_{start}$ -> ε-转移后活动状态集 $\{E_0, S\}$。
- 读 '1': 从 $E_0$ 到 $E_0$,从 $S$ 到 $S_1$。活动状态集 $\{E_0, S_1\}$。
- 读 '1': 从 $E_0$ 到 $E_0$,从 $S_1$ 到 $D$。活动状态集 $\{E_0, D\}$。
- 读 '0': 从 $E_0$ 到 $O_0$,从 $D$ 到 $D$。活动状态集 $\{O_0, D\}$。
- 结束。活动状态集不含任何接受状态,所以 "110" 不被接受。
⚠️ [易错点]
- DFA接受状态搞错: 在构造两个子DFA时,要仔细确定接受状态。例如,对于 $L_2$,状态 $S$(从未见过1或刚见过0)和 $S_1$(刚见过一个1)都应该被接受,因为到目前为止还没有出现"11"。
- 忘记ε-转移: 如果不使用ε-转移,而是试图将两个DFA的起始状态合并,将无法正确工作。
- 新NFA的接受状态: 新NFA的接受状态是两个原子DFA接受状态的并集,不能遗漏。
📝 [总结]
本题是NFA并构造法的一次具体实践。我们遵循“分解-构造-合并”的思路,首先为语言的两个组成部分分别设计了正确的DFA,然后严格按照并构造法的步骤——添加新起始状态和两条ε-转移——将它们组合成一个识别总语言的NFA。
🎯 [存在目的]
本题的目的是让学生将理论知识(NFA并构造)应用于一个具体的问题,通过动手画图来加深对该构造法工作原理的理解。
🧠 [直觉心智模型]
同3.1节的安检模型。安检员A检查“0的个数是不是偶数”,安检员B检查“有没有藏着连续的两个1”。乘客(字符串)被复制后同时给A和B检查,只要有一个说“通过”,乘客就能过关。
💭 [直观想象]
同3.1节的考场模型。一个考场考“0的奇偶性”,另一个考场考“有没有作弊带‘11’小纸条”。你(字符串)被分身到两个考场同时考试,只要任何一个分身及格了,你就通过了这次考试。
44 行间公式索引
1. 问题1(b)的语言定义:
$$
L=\left\{w \in\{0,1\}^{*} \mid w\right. \text{ 恰好有两个 0 或有偶数个 1}\}
$$
这个公式定义了一个语言L,其中的字符串w要么恰好包含两个'0',要么包含偶数个'1'。
2. 问题4的语言定义:
$$
L=\left\{w \in\{0,1\}^{*} \mid w\right. \text{ 有偶数个 0,或者 } w \text{ 没有两个连续的 } \left.1^{\prime} s\right\}
$$
这个公式定义了一个语言L,其中的字符串w要么包含偶数个'0',要么不包含连续的两个'1'。
3. 问题5中L1的语言定义:
$$
L_{1}=\left\{w \in\{0,1\}^{*} \mid w\right. \text{ 有奇数个 } 1^{\prime} s \text{ 或恰好有两个 } 0\}
$$
这个公式定义了语言L1,其字符串w或者有奇数个'1',或者恰好有两个'0'。
4. 问题5中L2的语言定义:
$$
L_{2}=\left\{w \in\{0,1\}^{*} \mid w\right. \text{ 以 101 结尾}\}
$$
这个公式定义了语言L2,其字符串w必须以子串"101"结尾。
5. 问题7(a)的逆转运算定义:
$$
L^{R}:=\left\{w^{R} \mid w \in L\right\}
$$
这个公式定义了语言L的逆转操作,即L中所有字符串w翻转后形成的新语言。
6. 问题7(b)的min运算定义:
$$
\min (L)=\left\{w \in \Sigma^{*} \mid w\right. \text{ 在 } L \text{ 中且 } w \text{ 的任何 真前缀 都不在 L 中}\}
$$
这个公式定义了min(L)语言,它包含L中所有自身被L接受、但其任何更短的前缀都不被L接受的字符串。
7. 问题11的正则表达式:
$$
(01)^{*}\left(10^{*} \cup 0\right)
$$
这是一个正则表达式,描述了一个语言:由零或多个"01"串联,后面再跟上一个"1"和零或多个"0",或者跟上一个单独的"0"。
3.2 b) 在 连接 运算下 封闭
📜 [原文12]
回顾。为了构造 $L_{1}$ 和 $L_{2}$ 的 连接,我们添加从 $L_{1}$ 的 接受状态 到 $L_{2}$ 的 起始状态 的 $\epsilon$ 转移



📖 [逐步解释]
这部分回顾了为两个正则语言 $L_1$ 和 $L_2$ 的连接 $L_1 \circ L_2$ 构造NFA的标准方法。连接操作指的是将 $L_1$ 中的一个字符串和 $L_2$ 中的一个字符串拼接起来,形成一个新的字符串。
假设我们已经有了识别 $L_1$ 的NFA $N_1$ 和识别 $L_2$ 的NFA $N_2$。
- 图片分析:
- 第一张图是识别 $L_1$ 的NFA $N_1$。
- 第二张图是识别 $L_2$ 的NFA $N_2$。
- 第三张图展示了构造 $L_1 \circ L_2$ 的NFA $N$ 的过程。
- 构造步骤:
- 保持机器: 保持 $N_1$ 和 $N_2$ 的内部结构不变。
- 连接桥梁: 从 $N_1$ 的每一个接受状态画一条ε-转移到 $N_2$ 的起始状态。
- 新起始状态: 新NFA $N$ 的起始状态就是 $N_1$ 的原起始状态。
- 新接受状态: 新NFA $N$ 的接受状态就是 $N_2$ 的原接受状态。$N_1$ 的原接受状态在新的机器中不再是接受状态了(除非$N_2$能接受空串$\epsilon$)。
- 工作原理:
一个输入字符串 $w$ 要被这个新NFA接受,它必须能被分解为两部分 $w = xy$,其中 $x$ 被 $N_1$ 接受,而 $y$ 被 $N_2$ 接受。
- 字符串的前半部分 $x$ 会驱动机器从 $N_1$ 的起始状态走到 $N_1$ 的某个接受状态。
- 到达 $N_1$ 的接受状态后,机器通过ε-转移(不消耗任何输入)“跳”到 $N_2$ 的起始状态。
- 接着,字符串的后半部分 $y$ 会驱动机器从 $N_2$ 的起始状态走到 $N_2$ 的某个接受状态。
- 因为最终停在了 $N_2$ 的接受状态,也就是新NFA的接受状态,所以整个字符串 $w=xy$ 被接受。
📝 [总结]
该部分图文并茂地回顾了NFA的连接运算构造法。其精髓在于用ε-转移作为“桥梁”,将第一个自动机的终点和第二个自动机的起点连接起来,强制要求输入字符串的前半部分满足第一个语言的条件,后半部分满足第二个语言的条件。
🎯 [存在目的]
为后续要求学生亲手实践这一构造法的问题(问题5)提供理论回顾和视觉参考。
🧠 [直觉心智模型]
这就像一个两段赛跑的接力赛。
- 选手A(字符串前半部分)从起点($N_1$起始状态)出发,必须跑到指定的交接区($N_1$接受状态)。
- 在交接区,选手A将接力棒(计算过程)通过一次瞬时传送(ε-转移)交给选手B(字符串后半部分),选手B会出现在第二段赛道的起点($N_2$起始状态)。
- 选手B必须成功跑到第二段赛道的终点($N_2$接受状态),整个队伍才算获胜。
💭 [直观想象]
想象你要完成一个包含两个阶段的游戏任务。
- 第一阶段($N_1$):你必须在迷宫A中找到出口。
- 第二阶段($N_2$):一旦你找到迷宫A的出口,你会立刻被传送到迷宫B的入口。然后你必须在迷宫B中找到宝藏。
只有当你连续完成了这两个阶段,才算游戏通关。连接构造就是把这两个迷宫用一个传送门(ε-转移)串联起来。
32.1 问题 5. 画出 $L_{1}, L_{2}$,以及 $L_{1} \circ L_{2}$ 的 NFA。
📜 [原文13]
$L_{1}=\left\{w \in\{0,1\}^{*} \mid w\right.$ 有奇数个 $1^{\prime} s$ 或恰好有两个 0$\}$。
$L_{2}=\left\{w \in\{0,1\}^{*} \mid w\right.$ 以 101 结尾$\}$。
📖 [逐步解释]
此题要求我们先为$L_1$和$L_2$分别构造NFA,然后应用连接构造法得到识别 $L_1 \circ L_2$ 的NFA。
第一步:为 $L_1$ 构造 NFA
$L_1$ 本身是一个并集:$L_{1a} = \{w \mid w \text{ 有奇数个 } 1's\}$ 和 $L_{1b} = \{w \mid w \text{ 恰好有两个 } 0\}$。我们可以使用并构造法来创建 $L_1$ 的NFA。
- 构造 $L_{1a}$ (奇数个 1) 的 DFA:
- $E_1$: 偶数个1 (起始状态)。
- $O_1$: 奇数个1 (接受状态)。
- $E_1 \xrightarrow{1} O_1, E_1 \xrightarrow{0} E_1$
- $O_1 \xrightarrow{1} E_1, O_1 \xrightarrow{0} O_1$
- 构造 $L_{1b}$ (恰好两个 0) 的 DFA: (同问题1b中的$L_1$)
- $C_0$: 0个0 (起始状态)。
- $C_1$: 1个0。
- $C_2$: 2个0 (接受状态)。
- $C_3$: 超过2个0 (陷阱状态)。
- $C_0 \xrightarrow{0} C_1, C_0 \xrightarrow{1} C_0$
- $C_1 \xrightarrow{0} C_2, C_1 \xrightarrow{1} C_1$
- $C_2 \xrightarrow{0} C_3, C_2 \xrightarrow{1} C_2$
- $C_3 \xrightarrow{0,1} C_3$
- 组合成 $L_1$ 的 NFA (NFA-1):
- 新起始状态 $q_{start1}$。
- $q_{start1} \xrightarrow{\epsilon} E_1$
- $q_{start1} \xrightarrow{\epsilon} C_0$
- 接受状态集: $\{O_1, C_2\}$。
第二步:为 $L_2$ 构造 NFA
$L_2$ 是所有以 "101" 结尾的字符串。我们可以构造一个简单的NFA来识别它。这比DFA简单得多。
- 构造 $L_2$ 的 NFA (NFA-2):
- $S_0$: 起始状态,寻找'1'。
- $S_1$: 找到了结尾模式的第一个'1'。
- $S_2$: 找到了 "10"。
- $S_3$: 找到了 "101" (接受状态)。
- 转移:
- $S_0 \xrightarrow{0,1} S_0$ (任意前缀)
- $S_0 \xrightarrow{1} S_1$
- $S_1 \xrightarrow{0} S_2$
- $S_2 \xrightarrow{1} S_3$
- 起始状态: $S_0$。
- 接受状态: $\{S_3\}$。
第三步:构造 $L_1 \circ L_2$ 的 NFA
现在我们应用连接构造法,将 NFA-1 和 NFA-2 连接起来。
- 起始状态: 新机器的起始状态是 NFA-1 的起始状态,即 $q_{start1}$。
- 连接桥梁: 从 NFA-1 的所有接受状态 $\{O_1, C_2\}$ 画ε-转移到 NFA-2 的起始状态 $S_0$。
- $O_1 \xrightarrow{\epsilon} S_0$
- $C_2 \xrightarrow{\epsilon} S_0$
- 接受状态: 新机器的接受状态是 NFA-2 的接受状态,即 $\{S_3\}$。NFA-1 的原接受状态 $O_1, C_2$ 在新机器中不再是接受状态。
- 整合: 整个大NFA由NFA-1和NFA-2的所有状态和转移,再加上两条新的ε-转移组成。
💡 [数值示例]
让我们测试字符串 "100101" 是否属于 $L_1 \circ L_2$。
它可以被拆分为 $x = "100"$ 和 $y = "101"$。
- 检查 $x = "100"$ 是否在 $L_1$ 中:
- "100" 有一个'1' (奇数),两个'0' (恰好)。它同时满足$L_{1a}$和$L_{1b}$,所以肯定在$L_1$中。
- 在 NFA-1 中跟踪:$q_{start1} \xrightarrow{\epsilon} \{E_1, C_0\}$。
- 读 "100":
- $E_1$ 路径: $E_1 \xrightarrow{1} O_1 \xrightarrow{0} O_1 \xrightarrow{0} O_1$ (结束在接受态 $O_1$)
- $C_0$ 路径: $C_0 \xrightarrow{1} C_0 \xrightarrow{0} C_1 \xrightarrow{0} C_2$ (结束在接受态 $C_2$)
- 因为有路径能到达接受状态,所以 "100" 被 NFA-1 接受。
- 检查 $y = "101"$ 是否在 $L_2$ 中:
- "101" 明显以 "101" 结尾。
- 在 NFA-2 中跟踪:$S_0 \xrightarrow{1} S_1 \xrightarrow{0} S_2 \xrightarrow{1} S_3$ (结束在接受态 $S_3$)。
- 所以 "101" 被 NFA-2 接受。
- 在连接的 NFA 中跟踪 "100101":
- 从 $q_{start1}$ 开始,处理前半部分 "100"。
- 如上分析,处理完 "100" 后,NFA-1 的活动状态集将包含 $O_1$ 和 $C_2$。
- 现在机器处于 $O_1$ 和 $C_2$。由于有ε-转移 $O_1 \xrightarrow{\epsilon} S_0$ 和 $C_2 \xrightarrow{\epsilon} S_0$,机器不消耗输入,就可以进入 $S_0$ 状态。
- 现在我们从 $S_0$ 开始,处理后半部分 "101"。
- 如上分析,从 $S_0$ 处理 "101" 会到达 $S_3$。
- 字符串结束,机器处于 $S_3$,这是整个连接NFA的接受状态。
- 因此,字符串 "100101" 被接受。
⚠️ [易错点]
- 连接点: ε-转移必须从所有第一个NFA的接受状态发出。
- 新接受状态: 很容易忘记将第一个NFA的接受状态“降级”为普通状态。在连接的NFA中,只有第二个NFA的接受状态才是最终的接受状态。
- 空字符串: 如果 $L_1$ 或 $L_2$ 包含空字符串 $\epsilon$,会发生什么?
- 如果 $w_1 \in L_1$ 且 $\epsilon \in L_2$,则 $w_1\epsilon = w_1$ 应该在 $L_1 \circ L_2$ 中。我们的构造能处理:走完 $w_1$ 到达 $N_1$ 的接受态,通过 $\epsilon$-桥梁到 $N_2$ 的起始态。如果 $N_2$ 的起始态是接受态(即 $\epsilon \in L_2$),则 $w_1$ 会被接受。我们的 $L_2$ 不含 $\epsilon$,所以这点不适用。
- 如果 $\epsilon \in L_1$ 且 $w_2 \in L_2$,则 $\epsilon w_2 = w_2$ 应该在 $L_1 \circ L_2$ 中。我们的构造也能处理:$N_1$ 的起始态 $q_{start1}$ 本身不接受,但它能通过 $\epsilon$ 转移到 $C_0$($L_{1b}$的起始态)和 $E_1$($L_{1a}$的起始态)。$L_{1b}$的语言“恰好两个0”,不含 $\epsilon$。$L_{1a}$的语言“奇数个1”,不含 $\epsilon$。但如果 $L_1$ 包含 $\epsilon$(例如 $L_1$ 是“偶数个1”),那么 $N_1$ 的某个起始路径会直接是接受状态,通过 $\epsilon$-桥梁直接就能处理 $w_2$。
📝 [总结]
我们通过“分而治之”的策略解决了这个问题。首先,为复杂的 $L_1$ 应用并构造法建立NFA-1。然后,为模式结尾的 $L_2$ 建立了简单的NFA-2。最后,严格遵循连接构造法的步骤,用ε-转移将NFA-1的出口和NFA-2的入口连接起来,构建了最终的、识别 $L_1 \circ L_2$ 的NFA。
🎯 [存在目的]
本题旨在综合考察学生对并构造和连接构造两种方法的掌握程度,并要求他们能将复杂问题分解为更小的、可管理的部分。
🧠 [直觉心智模型]
这是一个两阶段的认证过程。
- 第一阶段(NFA-1):你的前半段旅程记录(字符串前半部分)必须满足“有奇数个1的检查站”或者“恰好两个0的检查站”的条件。
- 第二阶段(NFA-2):一旦通过第一阶段,你会立刻被传送到一个新任务的起点,你的后半段旅程记录(字符串后半部分)必须以“101”模式结束。
整个旅程记录(完整字符串)只有在两个阶段都认证通过后才算合格。
💭 [直观想象]
想象一个闯关游戏。第一关 ($L_1$) 是一个大厅,里面有两个小游戏A和B。你只需要赢下其中任何一个小游戏(你的字符串前半部分满足A或B的规则),就能拿到通往第二关的钥匙。用钥匙打开门,你会立刻被传送到第二关 ($L_2$) 的起点。第二关是一个寻路任务,你必须按照“101”的路线走才能到达终点。
3.3 c) 在 Kleene 星号 运算下 封闭
📜 [原文14]
回顾。


在课堂上,我们看到了多种在 正则语言 的 状态图 上表示 Kleene 星号 运算的错误尝试(这些尝试对某些特定情况有效,但并非总是有效)。
📖 [逐步解释]
这部分回顾了为正则语言 $L$ 的克林星号 $L^*$ 构造NFA的标准方法。$L^*$ 是由 $L$ 中的字符串进行零次或多次连接而形成的所有字符串的集合。这意味着 $L^* = \{\epsilon\} \cup L \cup L \circ L \cup L \circ L \circ L \cup \dots$。
- 图片分析:
- 左图是识别语言 $L$ 的原始NFA $N$。
- 右图是为 $L^*$ 构造的新NFA $N^*$。
- 构造步骤:
- 添加新起始状态: 创建一个全新的状态 $q_{new\_start}$,它同时也是一个接受状态。这是为了确保空字符串 $\epsilon$ (零次连接) 被接受。
- 连接到旧机器: 从 $q_{new\_start}$ 画一条ε-转移到 $N$ 的原起始状态 $q_{start}$。这允许机器开始处理第一个 $L$ 中的字符串。
- 创建循环: 从 $N$ 的每一个原接受状态 $q_{final}$ 画一条ε-转移返回到 $N$ 的原起始状态 $q_{start}$。这允许在成功识别了一个 $L$ 中的字符串后,立即开始识别下一个,实现了多次连接。
- 整合:
- 新NFA $N^*$ 的起始状态是 $q_{new\_start}$。
- 新NFA $N^*$ 的接受状态集是 $\{q_{new\_start}\}$ 加上 $N$ 原有的所有接受状态(虽然图中只标了新的起始状态为接受状态,但完整的、更通用的构造也可以包含旧的接受状态,不过最简洁的构造是仅将新起始态设为接受态,并从旧接受态通过epsilon转移到新接受态,或如此图所示,通过循环回旧起始态,再从新起始态到旧起始态,并把新起始态设为唯一的接受态。这里的图示采取了“从旧接受态回旧起始态,新起始态到旧起始态,且新起始态为接受态”的策略。另一种等价构造是,新起始态既是起始态也是接受态,并有一条epsilon到旧起始态;从旧接受态有一条epsilon回到新接受态)。图中这种构造更严谨:新起始态是唯一的接受态,从所有旧接受态画 $\epsilon$ 转移到这个新接受态。但图示的循环方式更常见。让我们遵循图示的逻辑:从旧接受态回到旧起始态,新起始态到旧起始态,且新起始态是接受态。
- 让我们更正一下对图的解读,这是一种非常标准和正确的构造:
- 创建新起始/接受状态 $q_{new}$。
- $q_{new} \xrightarrow{\epsilon} q_{start}$。
- 从每个旧的接受状态 $q_{final} \xrightarrow{\epsilon} q_{new}$。
这与图示略有不同。图示的构造是:
- 创建新起始/接受状态 $q_{new\_start}$。
- $q_{new\_start} \xrightarrow{\epsilon} q_{start}$。
- 从每个旧的接受状态 $q_{final} \xrightarrow{\epsilon} q_{start}$。
这两种构造都是正确的。我们以后者(图示)为准。
- 工作原理:
- 接受 $\epsilon$: 由于新起始状态 $q_{new\_start}$ 本身就是接受状态,所以不读任何输入,机器就在接受状态,$\epsilon$ 被接受。
- 接受 $L$ 中的字符串: 从 $q_{new\_start}$ 通过 $\epsilon$-转移到 $q_{start}$,然后像在原NFA中一样处理字符串,到达一个原接受状态 $q_{final}$。但此时还不是最终接受状态。哦,我再次看图,图中的旧接受状态也还是接受状态!所以这个构造是:
- 创建新起始状态 $q'_{start}$。
- 将其设为接受状态。
- $q'_{start} \xrightarrow{\epsilon} q_{start}$ (旧起始态)。
- 从每个旧接受态 $q_{final} \xrightarrow{\epsilon} q_{start}$。
- 所有旧接受态仍然是接受态。
这个构造也是正确的。
- 让我们采用最标准的Thompson构造,与图示最接近:
- 创建新起始状态 $q_{new\_start}$ 和新接受状态 $q_{new\_final}$。
- $q_{new\_start} \xrightarrow{\epsilon} q_{start}$ (旧起始态)。
- 从每个旧接受态 $q_{final} \xrightarrow{\epsilon} q_{new\_final}$。
- 添加直接从新起始到新接受的 $\epsilon$ 转移: $q_{new\_start} \xrightarrow{\epsilon} q_{new\_final}$ (处理空串)。
- 添加从旧接受态回到旧起始态的 $\epsilon$ 转移: $q_{final} \xrightarrow{\epsilon} q_{start}$ (处理循环)。
这比图示复杂,但更通用。图示是一个简化版,但足以说明问题。
让我们严格按照图示的逻辑来解释,这是最可能的意图:
- 创建新起始状态 $q_{new\_start}$。它也是接受状态。
- 连接: 从 $q_{new\_start}$ 画一条 $\epsilon$ 转移到旧起始状态 $q_{start}$。
- 循环: 从所有旧的接受状态 $q_{final}$ 画一条 $\epsilon$ 转移回到旧的起始状态 $q_{start}$。
- 接受状态: 新机器的接受状态是 $\{q_{new\_start}\} \cup F_{old}$ (旧的接受状态集合)。
这样:
- $\epsilon$被接受(因为$q_{new\_start}$是接受态)。
- 单个 $w \in L$ 被接受(因为路径会走到 $F_{old}$ 中的状态)。
- $w_1w_2...w_k$ 被接受:走完 $w_1$ 到达 $F_{old}$,通过 $\epsilon$ 回到 $q_{start}$,再走完 $w_2$ 到达 $F_{old}$... 最后停在一个 $F_{old}$ 中的状态,被接受。
📝 [总结]
该部分回顾了克林星号运算的NFA构造。核心思想是通过引入一个新的、既是起始又是接受的状态来处理空字符串,并通过从旧接受状态到旧起始状态的ε-转移来创建“再来一次”的循环结构,从而实现零次、一次或多次的字符串连接。
🎯 [存在目的]
为接下来的“找错”问题(问题6)提供一个正确的参照标准。学生需要先知道什么是对的,才能识别出什么是错的。
🧠 [直觉心智模型]
这就像一个可以无限续杯的自助餐厅。
- 你可以选择什么都不吃直接出门(接受 $\epsilon$),因为门口($q_{new\_start}$)也算是“完成”的一种。
- 你可以进餐厅($q_{new\_start} \to q_{start}$),打一份标准的套餐(处理一个 $w \in L$),吃完后到达套餐领取处的终点($q_{final}$)。
- 在终点,你可以选择直接出门(如果 $q_{final}$ 是接受态),或者你可以通过一个“返回通道”($q_{final} \to q_{start}$)回到打饭处,再来一份套餐。你可以重复这个过程任意多次。
💭 [直观想象]
想象一个游戏关卡 ($L$)。星号操作 ($L^*$) 就是对这个关卡进行改造:
- 在关卡入口前建一个“休息区”($q_{new\_start}$),你可以选择直接在休息区结束游戏(接受 $\epsilon$)。
- 从休息区有一条单向通道进入关卡入口 ($q_{start}$)。
- 每当你打通关卡,到达出口 ($q_{final}$) 时,那里会有一个传送门,可以瞬间把你送回关卡入口 ($q_{start}$),让你再玩一次。
你可以选择玩0次(待在休息区)、1次、2次……任意多次。
33.1 问题 6. 对于以下每一个错误的 Kleene 星号 运算构造,请提供一个反例来说明为什么该尝试是错误的。
📜 [原文15]

错误尝试 1

错误尝试 3

错误尝试 2

错误尝试 4
📖 [逐步解释]
这个题目要求我们批判性地思考,找出四种看似合理但实际上有缺陷的星号构造法的反例。
错误尝试 1
构造描述: 简单地将起始状态变为接受状态,并添加从所有接受状态到起始状态的ε-转移。
缺陷分析:
1. 处理空串 $\epsilon$: 它通过将原起始状态 $q_{start}$ 设为接受状态来接受 $\epsilon$。
2. 处理连接 $w_1w_2$: 它通过从接受状态 $q_{final}$ 到起始状态 $q_{start}$ 的ε-转移来处理连接。
3. 问题所在: 如果有其他状态有指向原起始状态 $q_{start}$ 的转移,这个构造会错误地接受不属于 $L^*$ 的字符串。当一个字符串 $w_2$ 的处理过程需要返回到 $q_{start}$ 时,由于 $q_{start}$ 现在是接受状态,可能导致 $w_2$ 的某个不应被接受的前缀被错误地接受。
反例:
* 语言 $L = \{10\}$。则 $L^* = \{\epsilon, 10, 1010, \dots\}$。
* 为 $L$ 构造 NFA: $q_0 \xrightarrow{1} q_1 \xrightarrow{0} q_2$ (接受状态)。$q_0$是起始状态。
* 应用错误尝试 1:
1. $q_0$ 变成接受状态。
2. 添加 $q_2 \xrightarrow{\epsilon} q_0$。
* 测试错误字符串 "1":
1. 在改造后的 NFA 中,输入 "1"。
2. 路径为 $q_0 \xrightarrow{1} q_1$。
3. 字符串结束。$q_1$ 不是接受状态。到这里似乎没问题。
* 让我们找一个更精巧的反例:
* 语言 $L = \{ab\}$。$L^* = \{\epsilon, ab, abab, \dots\}$
* 为 $L$ 构造 NFA: $q_0 \xrightarrow{a} q_1 \xrightarrow{b} q_0$。起始状态 $q_0$,接受状态 $q_0$。这个 NFA 接受的是 $(ab)^*$。那么 $L^* = ((ab)^*)^* = (ab)^*$。
* 再换一个反例:
* 语言 $L = \{1\}$。它的NFA是 $q_0 \xrightarrow{1} q_1$ ($q_1$是接受态)。$L^* = \{1\}^* = \{\epsilon, 1, 11, 111, \dots\}$。
* 应用错误尝试 1:
1. $q_0$ 变为接受状态。
2. 添加 $q_1 \xrightarrow{\epsilon} q_0$。
* 测试字符串 "1": $q_0 \xrightarrow{1} q_1$。$q_1$是接受态,接受。正确。
* 测试字符串 "11": $q_0 \xrightarrow{1} q_1 \xrightarrow{\epsilon} q_0 \xrightarrow{1} q_1$。接受。正确。
* 这个构造对这个简单的例子似乎有效。问题在于更复杂的NFA。
* 决定性反例:
* 语言 $L = \{b, ba\}$。它的NFA可以是:$q_0 \xrightarrow{b} q_1$ (接受), $q_1 \xrightarrow{a} q_2$ (不接受)。等等,这不识别ba。
* 正确NFA for $L = \{b, ba\}$: $q_0 \xrightarrow{b} q_1$ (接受态), $q_1 \xrightarrow{a} q_0$。起始态 $q_0$。
* $L^* = \{b, ba\}^* = \{\epsilon, b, ba, bb, bab, bba, ...\}$
* 应用错误尝试 1:
1. $q_0$ 变为接受状态。
2. 从接受态 $q_1$ 添加 $q_1 \xrightarrow{\epsilon} q_0$。
* 测试错误字符串 "a":
* "a" 不在 $L^*$ 中。
* 在改造的NFA中,从 $q_0$ 开始,读 'a',无路可走。不接受。
* 真正的问题:考虑 $w_1 \in L, w_2 \in L$。$w_1w_2$ 应该在 $L^*$ 中。但如果 $w_1$ 的尾部和 $w_2$ 的头部可以“混合”呢?
* 最终反例: 设 $L$ 的 NFA 为 $q_1 \xrightarrow{a} q_2 \xrightarrow{b} q_3$ (接受)。起始 $q_1$。语言 $L=\{ab\}$。$L^*=\{ab\}^*$。
* 再设 NFA 中有一个从其他状态到起始状态的转换:$q_2 \xrightarrow{c} q_1$。
* 所以 NFA 状态: $q_1$ (起始), $q_2$, $q_3$ (接受)。转移: $q_1 \xrightarrow{a} q_2$, $q_2 \xrightarrow{b} q_3$, $q_2 \xrightarrow{c} q_1$。
* 这个 NFA 接受的语言是 $L = \{a(ca)^*b\}$。
* $L^*$ 应该包含 $L$ 和 $L$的连接,比如 $ab \in L$, $acb \in L$, 所以 $abacb \in L^*$。
* 应用错误尝试 1:
1. $q_1$ 变为接受状态。
2. 添加 $q_3 \xrightarrow{\epsilon} q_1$。
* 测试错误字符串 "ac": "ac" 本身不在 $L^*$ 中。
* 在改造的 NFA 中:$q_1 \xrightarrow{a} q_2 \xrightarrow{c} q_1$。字符串 "ac" 结束后,机器在 $q_1$。因为 $q_1$ 被设成了接受状态,所以 "ac" 被错误地接受了!
错误尝试 2
构造描述: 只添加了从接受状态到起始状态的ε-转移。
缺陷分析: 这个构造没有处理零次连接的情况,即它不接受空字符串 $\epsilon$。任何 $L^*$ 都必须包含 $\epsilon$。
反例:
* 语言 $L = \{1\}$。$L^* = \{\epsilon, 1, 11, \dots\}$。
* NFA for L: $q_0 \xrightarrow{1} q_1$ (接受)。
* 应用错误尝试 2: 添加 $q_1 \xrightarrow{\epsilon} q_0$。
* 测试空字符串 $\epsilon$: 起始状态是 $q_0$,它不是接受状态。所以 $\epsilon$ 不被接受。这是一个致命缺陷。
错误尝试 3
构造描述: 只将起始状态设为接受状态。
缺陷分析: 这个构造只在原有语言 $L$ 的基础上,额外接受了空字符串 $\epsilon$。它完全没有实现多次连接的功能。它识别的语言是 $L \cup \{\epsilon\}$。
反例:
* 语言 $L = \{1\}$。$L^* = \{\epsilon, 1, 11, 111, \dots\}$。
* NFA for L: $q_0 \xrightarrow{1} q_1$ (接受)。
* 应用错误尝试 3: 将 $q_0$ 设为接受状态。
* 测试字符串 "11": "11" 应该在 $L^*$ 中。
* 在改造的 NFA 中:$q_0 \xrightarrow{1} q_1$。处理完第一个 "1" 后,机器停在 $q_1$。从 $q_1$ 无法再处理第二个 "1",路径死亡。所以 "11" 不被接受。
错误尝试 4
构造描述: 在所有接受状态上添加自循环。
缺陷分析: 这个构造非常弱。它只允许在接受一个 $L$ 中的字符串之后,重复这个字符串的最后一个符号。它根本没有实现 $L \circ L$ 的连接。
反例:
* 语言 $L = \{ab\}$。$L^* = \{\epsilon, ab, abab, \dots\}$。
* NFA for L: $q_0 \xrightarrow{a} q_1 \xrightarrow{b} q_2$ (接受)。
* 应用错误尝试 4: 在 $q_2$ 上添加对 a 和 b 的自循环 ($q_2 \xrightarrow{a,b} q_2$)。
* 测试字符串 "abab": "abab" 应该在 $L^*$ 中。
* 在改造的 NFA 中:$q_0 \xrightarrow{a} q_1 \xrightarrow{b} q_2$。处理完 "ab" 后,机器在 $q_2$。接下来要处理 "a"。$q_2 \xrightarrow{a} q_2$。再处理 "b",$q_2 \xrightarrow{b} q_2$。字符串 "abab" 被接受了。这个例子似乎通过了。
* 换个反例:
* 语言 $L = \{a, bc\}$。$L^* = \{\epsilon, a, bc, aa, abc, bca, bcbc, \dots\}$。
* 测试字符串 "aa": "aa" 应该在 $L^*$ 中。
* 为 $L$ 构造 NFA:新起始态 $q_s \xrightarrow{\epsilon} q_{a1}, q_s \xrightarrow{\epsilon} q_{b1}$。
* $q_{a1} \xrightarrow{a} q_{a2}$ (接受)
* $q_{b1} \xrightarrow{b} q_{b2} \xrightarrow{c} q_{b3}$ (接受)
* 应用错误尝试 4: 在 $q_{a2}$ 和 $q_{b3}$ 上添加自循环。
* 测试字符串 "aa":
* 路径1: $q_s \to q_{a1} \xrightarrow{a} q_{a2}$。处理完第一个 "a",在接受态 $q_{a2}$。
* 现在处理第二个 "a"。$q_{a2}$ 上的自循环可以消耗 "a",停在 $q_{a2}$。所以 "aa" 被接受。
* 测试字符串 "abc": "abc" 应该在 $L^*$ 中 ($a \circ bc$)。
* $q_s \to q_{a1} \xrightarrow{a} q_{a2}$。处理完 "a"。
* 现在在 $q_{a2}$,要处理 "b"。$q_{a2}$ 有自循环可以消耗 "b",停在 $q_{a2}$。
* 现在在 $q_{a2}$,要处理 "c"。$q_{a2}$ 有自循环可以消耗 "c",停在 $q_{a2}$。
* 字符串结束,在接受态 $q_{a2}$。所以 "abc" 被接受。
* 这个构造的缺陷更微妙。它无法生成 $L$ 中不同单词的连接。
* 决定性反例: 设 $L=\{b\}$。$L^* = b^*$。NFA for $L$: $q_0 \xrightarrow{b} q_1$ (接受)。
* 应用构造4:在 $q_1$ 上加 (a,b) 的自循环。
* 测试字符串 "ba":$q_0 \xrightarrow{b} q_1 \xrightarrow{a} q_1$。被错误地接受了!因为 "ba" 不在 $b^*$ 中。
📝 [总结]
这个问题通过四个错误的构造案例,深刻地揭示了正确的克林星号构造为何需要“新起始/接受态”和“从接受态到起始态的反馈回路”这两个关键要素。
- 尝试 1 错误地污染了起始状态,导致混合匹配。
- 尝试 2 忘记了空字符串。
- 尝试 3 只实现了 $L \cup \{\epsilon\}$,忘记了多次连接。
- 尝试 4 只能重复最后一个字符,而不是整个单词,也无法连接不同的单词。
这些反例共同证明了标准构造的每一个部分都是不可或缺的。
🎯 [存在目的]
这个问题的目的不仅仅是检验学生是否会背诵正确的构造,而是要他们理解构造背后的逻辑,明白为什么其他看似可行的方法是错误的。这培养了对算法设计的批判性思维和严谨性。
🧠 [直觉心智模型]
- 尝试 1 像是把大楼入口(起始状态)也当成了公寓(接受状态)。结果,一个只是想穿过大厅去另一栋楼的人(一个非接受路径的一部分),走到一半发现自己“到家了”,这是错误的。
- 尝试 2 像是建了一个可以无限循环的过山车,但忘了建入口处的排队区,所以没人能上车(不接受空串)。
- 尝试 3 像是在过山车入口处放了个“你也可以不玩,直接算通关”的牌子,但车本身不能循环,玩了一圈就结束了。
- 尝试 4 像是在过山车终点放了个小小的旋转木马,你可以在终点原地打转,但无法回到起点再坐一次完整的过山车。
3.4 d) 更多运算
📜 [原文16]
问题 7. 设 $L$ 为一个 正则语言。证明对 L 应用以下运算后得到的结果也是 正则语言。
(a) $L^{R}:=\left\{w^{R} \mid w \in L\right\}$
回想一下,$R$ 是 逆转 运算,当应用于字符串 $w=w_{1} w_{2} \ldots w_{n-1} w_{n}$ 时,结果为 $w^{R}=w_{n} w_{n-1} \ldots w_{2} w_{1}$。
(b) $\min (L)=\left\{w \in \Sigma^{*} \mid w\right.$ 在 $L$ 中且 $w$ 的任何 真前缀 都不在 L 中$\}$
字符串 $w$ 的 真前缀 是 $w$ 的前缀且不等于 $w$
📖 [逐步解释]
这部分介绍了两个新的运算:逆转(Reversal)和 min,并要求我们证明正则语言在这两种运算下仍然是封闭的。证明一个语言是正则的,标准方法是为它构造一个有限自动机(DFA 或 NFA)。
34.1 (a) 逆转运算 $L^R$
📜 [原文17]
(a) $L^{R}:=\left\{w^{R} \mid w \in L\right\}$
回想一下,$R$ 是 逆转 运算,当应用于字符串 $w=w_{1} w_{2} \ldots w_{n-1} w_{n}$ 时,结果为 $w^{R}=w_{n} w_{n-1} \ldots w_{2} w_{1}$。
📖 [逐步解释]
证明思路: 如果 $L$ 是正则的,那么存在一个识别 $L$ 的 NFA $N$。我们的目标是基于 $N$ 构造一个新的 NFA $N^R$,使得 $N^R$ 识别 $L^R$。
如果字符串 $w = w_1w_2...w_n$ 被 $N$ 接受,意味着在 $N$ 中存在一条从起始状态到某个接受状态的路径,其边上的标签依次是 $w_1, w_2, ..., w_n$。
$q_{start} \xrightarrow{w_1} q_i \xrightarrow{w_2} ... \xrightarrow{w_n} q_{final}$
我们想要构造一个 NFA $N^R$ 来接受 $w^R = w_n...w_2w_1$。直觉上,我们应该能“倒着”走这条路径。
$q_{final} \xrightarrow{w_n} ... \xrightarrow{w_2} q_i \xrightarrow{w_1} q_{start}$
这启发了我们的构造方法。
构造 NFA $N^R$:
- 翻转所有箭头: 将 $N$ 中的每一个转移 $q_i \xrightarrow{a} q_j$ 都变成 $q_j \xrightarrow{a} q_i$。
- 交换起始和接受状态:
- $N^R$ 的起始状态是 $N$ 的所有接受状态。但是 NFA 只能有一个起始状态,怎么办?很简单,创建一个全新的起始状态 $q'_{start}$,然后从它画 ε-转移 到 $N$ 的每一个原接受状态。
- $N^R$ 的接受状态就是 $N$ 的原起始状态。
为什么这个构造有效:
一条在 $N$ 中从 $q_{start}$ 到 $q_{final}$ 消耗字符串 $w$ 的路径,在 $N^R$ 中完全对应于一条从某个原 $q_{final}$ (现在是 $N^R$ 的起始路径的一部分) 到原 $q_{start}$ (现在是 $N^R$ 的接受状态) 的路径,它消耗的字符串正好是 $w^R$。因为我们为所有这样的路径都提供了构造,所以 $N^R$ 恰好能识别所有 $w^R$ 构成的语言 $L^R$。
💡 [数值示例]
- 语言 $L$: 所有以 "ab" 结尾的字符串。$L = (a \cup b)^*ab$。
- NFA for L ($N$):
- $q_0 \xrightarrow{a,b} q_0$
- $q_0 \xrightarrow{a} q_1$
- $q_1 \xrightarrow{b} q_2$ (接受状态)
- $q_0$ 是起始状态。
- 应用逆转构造 ($N^R$):
- 翻转箭头:
- $q_0 \xleftarrow{a,b} q_0$ (自循环不变)
- $q_0 \xleftarrow{a} q_1$ (变成 $q_1 \xrightarrow{a} q_0$)
- $q_1 \xleftarrow{b} q_2$ (变成 $q_2 \xrightarrow{b} q_1$)
- 交换角色:
- 原接受状态 $q_2$ 成为起始点。所以 $N^R$ 的起始状态是 $q_2$。(这里只有一个原接受态,所以不需要新起始态和epsilon转移)。
- 原起始状态 $q_0$ 成为唯一的接受状态。
- 分析 $N^R$:
- 起始于 $q_2$。
- $q_2 \xrightarrow{b} q_1 \xrightarrow{a} q_0$。这条路径接受字符串 "ba"。
- 从 $q_0$ 还可以走自循环,例如 $q_2 \xrightarrow{b} q_1 \xrightarrow{a} q_0 \xrightarrow{a} q_0$ 接受 "baa"。
- $N^R$ 接受的语言是所有以 "ba" 开头的字符串。即 $ba(a \cup b)^*$。
- 验证: $L$ 是以 "ab" 结尾的语言,那么 $L^R$ 确实应该是以 "ba" 开头的语言。构造正确。
⚠️ [易错点]
- 多个接受状态: 如果原始NFA有多个接受状态,那么逆转后,新的NFA就需要从新的起始状态用ε-转移连接到所有这些旧的接受状态。
- 起始状态有入边/接受状态有出边: NFA完全允许这些情况。我们的构造方法天然就能处理,翻转箭头即可。
📝 [总结]
我们通过一个直观的几何操作——“翻转所有箭头,并交换起点和终点”——来构造识别逆转语言的NFA。这个过程的正确性建立在计算路径的可逆性上。因为我们能为任何正则语言 $L$ 的NFA构造出识别 $L^R$ 的NFA,所以我们证明了正则语言类在逆转运算下是封闭的。
🎯 [存在目的]
本题旨在引入一种新的封闭性证明,其构造方法与并、连接、星号不同,但同样巧妙和直观,加深学生对NFA结构和其所代表的计算过程之间关系的理解。
🧠 [直觉心智模型]
如果你有一张从A点到B点的藏宝图,上面写着“向东3步,向北2步”。那么一张从B点回到A点的地图就是把所有指令颠倒并反向:“向南2步,向西3步”。构造 $N^R$ 就好比制作这张“返程地图”。
💭 [直观想象]
想象一个单向的管道系统,水从入口流向多个出口。要让水倒流,你只需要:1. 把所有管道阀门的方向反过来。2. 把原来的所有出口变成新的入口。3. 把原来的唯一入口变成唯一的出口。
34.2 (b) min(L) 运算
📜 [原文18]
(b) $\min (L)=\left\{w \in \Sigma^{*} \mid w\right.$ 在 $L$ 中且 $w$ 的任何 真前缀 都不在 L 中$\}$
字符串 $w$ 的 真前缀 是 $w$ 的前缀且不等于 $w$
📖 [逐步解释]
证明思路: 我们要证明如果 $L$ 是正则的,那么 $\min(L)$ 也是正则的。
$L$ 是正则的,意味着存在一个识别它的DFA $M$。(这里使用DFA比NFA更方便)。
$M = (Q, \Sigma, \delta, q_0, F)$。
$\min(L)$ 的定义是:一个字符串 $w$ 在 $\min(L)$ 中,必须满足两个条件:
- $w \in L$ (即 $M$ 接受 $w$)。
- 对于 $w$ 的任何真前缀 $v$,$v \notin L$ (即 $M$ 不接受 $v$)。
这给我们一个清晰的构造方向。在DFA $M$ 中,当处理字符串 $w$ 时,我们会经过一条状态路径: $q_0 \xrightarrow{w_1} q_1 \xrightarrow{w_2} \dots \xrightarrow{w_n} q_n$。
- 条件1 ($w \in L$) 意味着路径的最终状态 $q_n$ 必须是一个接受状态 ($q_n \in F$)。
- 条件2 (任何真前缀 $v$ 都不在 $L$ 中) 意味着路径上的任何中间状态 $q_1, q_2, \dots, q_{n-1}$ 都不能是接受状态。
构造 DFA $M'$ for min(L):
这个构造非常巧妙。我们不需要改变状态或转移,只需要改变“可访问性”。
- 从原始的DFA $M$ 开始。
- 识别并移除所有“死状态”(unreachable states)。(这是一个好习惯,虽然不必须)
- 核心步骤: 修改 $M$ 的转移,使得一旦进入一个接受状态,就再也出不去了。创建一个新的陷阱状态 $q_{dead}$。对于 $M$ 中每一个接受状态 $q \in F$,对于所有输入符号 $a \in \Sigma$,将原来的转移 $\delta(q, a)$ 修改为 $\delta'(q, a) = q_{dead}$。而对于所有非接受状态,转移保持不变。
- 这个修改后的机器 $M'$ 的状态集是 $Q \cup \{q_{dead}\}$,起始状态是 $q_0$,接受状态集仍然是 $F$。
让我们来验证这个构造:
- 假设一个字符串 $w$ 被 $M'$ 接受。这意味着处理 $w$ 的路径 $q_0 \to \dots \to q_n$ 中,$q_n \in F$,并且路径上没有经过 $q_{dead}$。
- 因为 $M'$ 在非接受状态的转移和 $M$ 一样,所以 $q_0 \to \dots \to q_{n-1}$ 这段路径在 $M$ 中也存在,且所有 $q_i (i<n)$ 都不是接受状态。
- 当最后一个符号 $w_n$ 读入,从 $q_{n-1}$ (一个非接受态) 转移到 $q_n$ (一个接受态)。因为这是第一次进入接受态,所以 $w$ 的任何真前缀都没有在接受状态结束。
- 因此,$w$ 在 $L$ 中,且其任何真前缀都不在 $L$ 中。所以 $w \in \min(L)$。
反过来,如果 $w \in \min(L)$,那么在 $M$ 中处理 $w$ 的路径 $q_0 \to \dots \to q_n$ 中,只有 $q_n$ 是接受状态。这条路径在 $M'$ 中也完全存在,因为一路上没有经过接受状态,转移函数没有被改变。最终停在 $q_n \in F$,所以 $w$ 被 $M'$ 接受。
所以,$M'$ 恰好识别 $\min(L)$。因为我们能为 $\min(L)$ 构造一个DFA,所以 $\min(L)$ 是正则的。
💡 [数值示例]
- 语言 $L$: 接受所有以 'a' 结尾的字符串。$L = (a \cup b)^*a$。
- 这个语言包含 "a", "ba", "aa", "aba", ...
- 计算 $\min(L)$:
- "a": 在 $L$ 中。它的真前缀只有 $\epsilon$。$\epsilon$ 不在 $L$ 中。所以 "a" $\in \min(L)$。
- "ba": 在 $L$ 中。它的真前缀是 $\epsilon, "b"$。两者都不在 $L$ 中。所以 "ba" $\in \min(L)$。
- "aa": 在 $L$ 中。它的真前缀是 $\epsilon, "a"$。但是 "a" 在 $L$ 中!所以 "aa" 不在 $\min(L)$ 中。
- "aba": 在 $L$ 中。真前缀 "ab" 不在 $L$ 中。真前缀 "a" 在 $L$ 中。所以 "aba" 不在 $\min(L)$ 中。
- 看起来,$\min(L) = (a \cup b)^*a$ 中,要求前面的 $(a \cup b)^*$ 部分不能以 'a' 结尾。这等价于 $(b^* (ab^*)^* )a$ 或者更简单的,所有不包含 'a' 的字符串后面跟一个 'a'。即 $b^*a$。
- $\min((a \cup b)^*a) = b^*a$。
- 用 DFA 构造来验证:
- DFA for L: $q_0 \xrightarrow{b} q_0$, $q_0 \xrightarrow{a} q_1$ (接受)。$q_1 \xrightarrow{b} q_0$, $q_1 \xrightarrow{a} q_1$。起始态 $q_0$。
- 应用 min 构造:
- $q_1$ 是接受状态。所有从 $q_1$ 出发的转移都要进入陷阱态。
- 创建 $q_{dead}$。
- 修改转移: $\delta'(q_1, a) = q_{dead}$, $\delta'(q_1, b) = q_{dead}$。
- 其他转移不变: $\delta'(q_0, b) = q_0$, $\delta'(q_0, a) = q_1$。
- 分析新的 DFA $M'$:
- 起始于 $q_0$。
- 可以读任意多个 'b',停留在 $q_0$ (例如 "bb")。
- 一旦读了 'a',就进入 $q_1$ ("bba")。$q_1$ 是接受状态,字符串被接受。
- 如果在这之后还有字符,比如 "bbaa",那么从 $q_1$ 读 'a' 会进入 $q_{dead}$,字符串不被接受。
- 所以 $M'$ 接受的语言是:任意数量的 'b' 后面跟一个 'a'。这就是 $b^*a$。
- 构造正确。
⚠️ [易错点]
- 必须使用DFA: 这个构造依赖于DFA的确定性。对于一个输入,只有一条唯一的路径。如果用NFA,一个字符串可能有多个路径,有的路径可能先经过接受态,有的后经过,逻辑会混乱。所以第一步通常是先将NFA转为DFA。
- 修改转移: 是将从接受状态出发的转移重定向到陷阱状态,而不是到达接受状态的转移。
📝 [总结]
我们证明了正则语言对 min 运算是封闭的。其构造方法依赖于一个DFA。我们通过修改DFA,使得任何计算路径只要一到达接受状态,就无法再继续进行有效的转移(会掉入陷阱),从而保证了被接受的字符串的任何真前缀都没有机会停在接受状态。因为能构造出这样的DFA,所以 $\min(L)$ 是正则的。
🎯 [存在目的]
本题展示了另一种利用DFA特性来证明封闭性的技巧。它要求学生更深入地理解DFA的计算过程——状态路径与前缀接受之间的关系,锻炼了对语言性质进行算法转换的能力。
🧠 [直觉心智模型]
想象一个迷宫(DFA),里面有一些宝藏室(接受状态)。$\min(L)$ 就是所有能够“第一次就找到宝藏”的路径的集合。我们的改造方法是:在每个宝藏室的门后都设置一个陷阱。一旦你进入任何一个宝藏室,你就拿到了宝藏,但你再也出不去了。这样就确保了只有那些路径的终点是宝藏室,且路径中间没有经过任何其他宝藏室的,才算是有效的“寻宝路径”。
💭 [直观想象]
这就像一个“一次性”的优惠券系统。
- DFA是你消费的记录。
- 接受状态是你使用优惠券的商店。
- $\min(L)$ 是所有“首次使用优惠券”的消费记录。
- 我们的改造方法是:系统规定,一旦你用了一张优惠券(进入接受状态),你的会员卡就立即作废(进入陷阱状态),之后再也不能进行任何消费了。这就保证了被记录下来的(被接受的)消费行为,都是且仅是“首次使用优惠券”的行为。
45 正则表达式
📜 [原文19]
问题 8. 用文字描述这些 正则表达式 表示的语言:
(a) $0^{*} 1^{*}$
(b) $(01)^{*}$
(c) $\left(0^{*} 1^{*}\right)^{*}$
(d) $(0 \cup 1)^{*}$
(e) $0^{*}\left(10^{*} 1\right)^{*} 0^{*}$
📖 [逐步解释]
本节开始练习正则表达式(Regular Expressions, regex)。正则表达式是描述正则语言的另一种代数方法。我们需要将这些符号表示翻译成易于理解的自然语言描述。
50.1 (a) $0^{*} 1^{*}$
* $0^{*}$: 零个或多个 '0' 组成的字符串。
* $1^{*}$: 零个或多个 '1' 组成的字符串。
* $0^{*} 1^{*}$: 将一个来自 $0^*$ 的字符串和一个来自 $1^*$ 的字符串连接起来。
* 语言描述: 所有由零个或多个 '0' 开头,后面跟着零个或多个 '1' 的二进制字符串。
* 示例: $\epsilon$, "0", "00", "1", "11", "01", "001", "011", "0011"。
* 不包含: "10", "010"。一旦 '1' 出现后,就不能再出现 '0'。
50.2 (b) $(01)^{*}$
* $(01)$: 字符串 "01"。
* $*$: 对括号内的模式进行零次或多次重复。
* 语言描述: 所有由零个或多个 "01" 子串连接而成的字符串。
* 示例: $\epsilon$, "01", "0101", "010101"。
* 不包含: "0", "1", "10", "011"。字符串的长度必须是偶数,且奇数位必须是 '0',偶数位必须是 '1'。
50.3 (c) $\left(0^{*} 1^{*}\right)^{*}$
* $0^{*} 1^{*}$: 我们在 (a) 中分析过,这是任意多个0后跟任意多个1的字符串。
* $(...)^{*}$: 对括号内的模式进行零次或多次重复。这意味着我们可以取任意多个形如“一堆0后面一堆1”的块,然后把它们拼接起来。
* 分析: 一个块可以是 "001", "11", "0", $\epsilon$ 等。
* 如果我们取块 "0" 和块 "1",拼接成 "01"。
* 如果我们取块 "1" 和块 "0",拼接成 "10"。
* 既然我们可以生成 "0" 和 "1",并且可以任意次拼接它们,我们就能生成任何由0和1组成的字符串。例如 "10110" 可以看作是 $(1) \circ (0) \circ (11) \circ (0)$。
* 语言描述: 所有可能的二进制字符串。这个表达式等价于 $(0 \cup 1)^*$。
* 示例: $\epsilon$, "0", "1", "00", "01", "10", "11", "10110", ...
50.4 (d) $(0 \cup 1)^{*}$
* $(0 \cup 1)$: '0' 或 '1'。
* $*$: 对括号内的模式进行零次或多次重复。
* 语言描述: 所有由 '0' 和 '1' 组成的任意长度的字符串。即,所有二进制字符串的集合。
* 示例: 所有可能的二进制字符串。
* 与(c)的关系: 这个表达式和 (c) 描述的是同一个语言。
50.5 (e) $0^{*}\left(10^{*} 1\right)^{*} 0^{*}$
* 核心部分 $\left(10^{*} 1\right)$: 一个'1',后面跟着零个或多个'0',再后面跟着一个'1'。这描述了一个以'1'开头和结尾,中间只有'0'(或没有)的字符串。例如 "11", "101", "1001"。这正好是包含偶数个'1'且中间没有其他'1'的块。
* $\left(10^{*} 1\right)^{*}$: 零个或多个这样的块拼接在一起。例如 "11", "101", "11101", "10111"。每次拼接,'1' 的数量都增加2。所以,这部分生成的字符串总是有偶数个'1'。
* $0^{*}$...$0^{*}$: 在这串包含偶数个'1'的字符串的前面和后面,可以加上任意数量的'0'。
* 语言描述: 所有包含偶数个 '1' 的二进制字符串。
* 为什么? '0' 不影响 '1' 的计数。核心部分 $\left(10^{*} 1\right)$ 每次贡献两个'1'。将这些块重复任意次,'1' 的总数仍然是偶数。
* 示例:
* $\epsilon$ (取0个核心块,前后0个'0')
* "000" (取0个核心块,前后都是'0')
* "11" (取1个核心块"11", 前后0个'0')
* "010100" (取1个核心块"101", 前面1个'0', 后面2个'0')
* "1111" (取2个核心块"11")
* 不包含: "1", "010", "111" (任何有奇数个'1'的字符串)。
📝 [总结]
本题通过五个例子,练习了从正则表达式反向推导出其所描述的语言的能力。关键在于理解三个基本操作的含义:
- 并集 ($\cup$): “或”
- 连接 (ab): “然后”
- 克林星号 ($^*$): “零次或多次”
并能够将它们组合起来,分析出最终的模式。
5.1 问题 9. 为以下语言构造 正则表达式。
📜 [原文20]
(a) 所有以 10 开头的 二进制字符串
(b) 所有恰好包含两个 0 的 二进制字符串
(c) 所有包含奇数个 0 的 二进制字符串
(d) 所有不包含 子串 $a b c$ 的 $\{a, b, c\}$ 上的字符串。具有挑战性!
📖 [逐步解释]
这部分是逆向练习,给定语言描述,写出其正则表达式。
51.1 (a) 所有以 10 开头的二进制字符串
* 必须部分: "10"。
* 可选部分: 后面可以跟任意的二进制字符串。
* 任意二进制字符串的正则表达式是 $(0 \cup 1)^*$。
连接起来: 10(0 \cup 1)^
51.2 (b) 所有恰好包含两个 0 的二进制字符串
* 字符串中必须出现两个'0'。
* 除了这两个'0',其他所有字符都必须是'1'。
* '1'可以出现在'0'之前、之间和之后。
* 我们可以把字符串结构看成: (一堆1) 0 (一堆1) 0 (一堆1)
* 一堆1 的正则表达式是 $1^*$。
组合起来: 1 0 1 0 1
51.3 (c) 所有包含奇数个 0 的二进制字符串
* '1'的出现不影响'0'的奇偶性,所以'1'可以出现在任何地方。
* 我们需要构造一个能产生奇数个'0'的模式。
* 我们可以先有一个'0',然后成对地添加'0'。
单个'0': 1 0 1* (一个0,周围是任意个1)
成对的'0': 两个'0'之间可以有任意多个'1',0 1 0。
* 思路: 先有任意数量的'1',然后是第一个'0'。之后,'0'必须成对出现。每对'0'之间可以有任意的'1'。
* 更系统的思路:
* 不含'0'的部分是 $1^*$。
一个'0'后面可以跟任意数量的'1',即01。
我们需要奇数个这样的01块,并且可以在这些块之间和两端插入任意多的1。
* 一个可行的模式:
1 (可选的前导1)
* 0 (第一个0)
(1 0 1 0) (偶数个额外的0,成对出现。每对0之间和周围都可以有1)
1 (可选的结尾1)
组合起来: 1 0 (1 0 1 0) 1
* 一个更简洁优雅的模式:
* 字符串由不含'0'的块(即$1^*$)和'0'分隔。
1 0 1 (0 1 0 1)
* 这个表达式先生成一个'0',然后是零或多次的“两个0”的块。
最终简洁版: 1 0 1 (0 1 0 1)
或者: (1) 0 (1) ( (0 (1) 0 (1)) )
一个更对称的思考方式:考虑偶数个0的语言,1(0101)。奇数个0就是在偶数个0的语言后面再拼接一个 01。
偶数个0: (1010)1*
奇数个0: 101(0101)。
让我们测试一下:101 (1个0), 1010101* (3个0), ... 正确。
所以一个好的答案是: 101(0101)
51.4 (d) 所有不包含子串 $abc$ 的 $\{a, b, c\}$ 上的字符串
* 这是一个排除性问题,通常比较难。我们需要考虑所有合法的字符串是如何构成的。
* 合法的字符串中,任何'a'的后面都不能直接跟'b',或者任何'ab'的后面都不能直接跟'c'。
* 思路: 考虑在遇到'a'和'ab'时会发生什么。
没有'a': 字符串只能由'b'和'c'构成。正则表达式是 (b \cup c)^。
有'a'但没有'b': (a \cup c)^。
有'b'但没有'c': (a \cup b)^。
* 正面构造:
一个字符串可以由不含'a'的任意串开始,即 (b \cup c)^。
* 然后可能出现一个'a'。这个'a'后面不能是"bc"。
* 所以'a'后面可以是 'a', 'c', 或者 'b'。但如果'a'后面是'b',那么'b'后面不能是'c'。
* 让我们从更小的构建块思考:
* 不是'a'的字符:(b \cup c)
* 不是'ab'的块:'a'后面可以跟'a'或'c',或者'a'是字符串结尾。
* 'a'后面跟的不是'b':a(a \cup c)
* 'ab'后面跟的不是'c':ab(a \cup b)
* 状态机思路: 我们可以为此语言构建一个DFA,然后转为正则表达式。
* $q_0$: 初始状态(没看到abc的前缀)。
* $q_a$: 刚看到了'a'。
* $q_{ab}$: 刚看到了'ab'。
* $q_{trap}$: 看到了'abc'。
* 转移:
* $q_0 \xrightarrow{b,c} q_0$
* $q_0 \xrightarrow{a} q_a$
* $q_a \xrightarrow{a} q_a$
* $q_a \xrightarrow{c} q_0$
* $q_a \xrightarrow{b} q_{ab}$
* $q_{ab} \xrightarrow{a} q_a$
* $q_{ab} \xrightarrow{b} q_0$ (因为 'abb' 打破了 'ab' 的后缀)
* $q_{ab} \xrightarrow{c} q_{trap}$ (非法)
* 所有状态除了 $q_{trap}$ 都是接受状态。
* 这是一个DFA,可以转为正则表达式,但很复杂。
* 直接构造正则表达式的另一个尝试:
* 考虑用'c'和'a'来分割字符串。
* 任何不含'abc'的串,可以看作是 (b \cup c) 的序列,其中可以插入 a 或 ab。
* 但插入 ab 后,不能紧跟 c。
* 让我们考虑用非 a 的部分和 a 来构建。
(b \cup c)^ : 任意不含 a 的字符串。
* 一个'a'后面不能是'bc'。所以'a'后面可以是'a', 'c', 'ba', 'bb'。
(b \cup c)^ (a (b(a \cup b))? (b \cup c)^ )^
* 这太复杂了。
* 一个更清晰的思路:
* 任何不含 abc 的字符串,都是由 c 和 b 和 a 构成的。
我们可以认为字符串是由 a 和 b 的块,被 c 分隔开。 (a \cup b)^ (c (a \cup b)^ )^
现在,我们需要保证在 (a \cup b)^ 中没有 ab 后面紧跟着 c。
* 这意味着,c 不能出现在 ab 之后。
所以,如果一个 (a \cup b)^ 块以 ab 结尾,那么它不能是最后一个块(后面必须没东西)。
* 让我们换一个角度: 考虑以a和c为基础,b是插入的。
(a \cup c)^ 是合法的。
* 我们可以在哪里插入b?
* b可以出现在开头,结尾,两个a之间,两个c之间,a和c之间,c和a之间。
* 唯一的问题是 a b c。
* 所以,只要b的前面不是a,或者b的后面不是c,就没问题。
(b \cup c \cup aa^c)^*
* 一个标准答案的思路:
先生成不包含'a'的串: (b \cup c)^
* 然后考虑'a'。'a'后面不能是'bc'。
* 我们可以生成任意数量的 a,但后面不能是 bc。
* 一个 a 后面可以跟除了 b 之外的任何东西,或者跟一个 b 但 b 后面不能是 c。
(b \cup c \cup a(a \cup c) \cup ab(a \cup b) )^ -- 还是太复杂。
* 最简洁的思路是基于终结符的优先级:
不含 a 的串: (b \cup c)^
不含 ab 的串: (c^b)^c^a(c^b)^c^* (太复杂)
正确答案之一: c ( (a \cup b) c ),然后对 (a \cup b) 部分施加约束。b可以自由出现,但a后面如果跟b,则b后面不能跟c。
(b^ c)^ (a b^ c)^ (a \cup b)^
* 让我们回到基本构建块:a, b, c。abc是禁止的。
* 那么,任何 ab 后面都不能是 c。
* 所以,可以有任意数量的不是 ab 的东西,或者 ab 后面跟 a 或 b 或字符串结尾。
(a \cup b \cup c)^ - (a \cup b \cup c)^ abc (a \cup b \cup c)^ 这是语言定义,不是正则表达式。
* 最终的构造思路:
字符串可以由不含 a 的前缀开始: (b \cup c)^
* 然后,如果出现 a,它后面可以跟另一个 a,或者一个 c,或者一个 b。
* 如果跟 b,则进入特殊状态。
(b \cup c)^ (a (b(a\cup b))? (b \cup c)^ )^
一个简洁的答案是 (c|b|aac) (aab?)?
标准答案之一: (b|c|a(a|c)|ab(a|b))
让我们分析一下: (b | c | a(a|c) | ab(a|b) )
* 这个表达式的构建块是 b, c, aa, ac, aba, abb。
* 它永远不会生成 abc 这个子串,因为 ab 后面总是跟着 a 或 b。
* 它能生成所有不含 abc 的字符串吗?是的。任何不含abc的字符串都可以被这些块分解。
5.2 问题 10. 使用我们在课堂上看到的通过 GNFA 的构造方法,将以下 DFA 转换为等价的 正则表达式。
📜 [原文21]

📖 [逐步解释]
该问题要求使用 GNFA (广义非确定性有限自动机) 方法将一个DFA转换为正则表达式。GNFA的边上可以是正则表达式,而不是单个符号。转换过程是通过逐步“撕掉”状态,并用更复杂的正则表达式来补偿被撕掉状态所代表的路径。
DFA分析:
- 状态: 1, 2。
- 起始状态: 1。
- 接受状态: 1。
- 转移:
- $1 \xrightarrow{a} 2$
- $1 \xrightarrow{b} 1$
- $2 \xrightarrow{a} 1$
- $2 \xrightarrow{b} 2$
GNFA 转换步骤:
步骤 1: 预处理 DFA 为 GNFA 格式
- 添加新的起始状态 $S_{new}$: 从 $S_{new}$ 画一条 ε-转移 到原起始状态 1。
- 添加新的接受状态 $F_{new}$: 从所有原接受状态(这里只有1)画一条 ε-转移 到 $F_{new}$。
- 合并多重边: 如果两个状态之间有多个符号的转移,用并集($\cup$)合并。例如,$q_i \xrightarrow{a} q_j$ 和 $q_i \xrightarrow{b} q_j$ 变成 $q_i \xrightarrow{a \cup b} q_j$。这个DFA没有这种情况。
- 添加空集边: 如果两个状态之间没有转移,我们认为它们之间有一条标签为 $\emptyset$ 的边。
初始 GNFA 结构:
- 状态: $\{S_{new}, 1, 2, F_{new}\}$
- $S_{new} \xrightarrow{\epsilon} 1$
- $1 \xrightarrow{b} 1$
- $1 \xrightarrow{a} 2$
- $2 \xrightarrow{b} 2$
- $2 \xrightarrow{a} 1$
- $1 \xrightarrow{\epsilon} F_{new}$
步骤 2: 撕掉状态
我们有两个内部状态 1 和 2 可以撕。我们选择先撕掉状态2。
撕掉状态 2:
我们要考虑所有经过状态2的路径,例如从状态 i 到 j 经过 2 的路径: i -> 2 -> j。这个路径的正则表达式是 R(i,2) R(2,2)* R(2,j)。然后我们将这个新的表达式加到原来的 R(i,j) 上。
- 需要更新的路径: 只有 1 -> 2 -> 1。
- R(1,2) = $a$
- R(2,2) = $b$
- R(2,1) = $a$
- 路径 1 -> 2 -> 1 的正则表达式: $a b^* a$
- 更新 R(1,1): 原来的 $R(1,1)$ 是 $b$。新的 $R(1,1)$ 是 $b \cup ab^*a$。
撕掉状态2后的 GNFA:
- 状态: $\{S_{new}, 1, F_{new}\}$
- $S_{new} \xrightarrow{\epsilon} 1$
- $1 \xrightarrow{b \cup ab^*a} 1$ (这是一个自循环)
- $1 \xrightarrow{\epsilon} F_{new}$
步骤 3: 撕掉最后一个内部状态,状态1
现在我们撕掉状态1。我们只关心从 $S_{new}$ 到 $F_{new}$ 的路径。
- 路径是 $S_{new} \rightarrow 1 \rightarrow F_{new}$。
- R($S_{new}$, 1) = $\epsilon$
- R(1,1) = $b \cup ab^*a$
- R(1, $F_{new}$) = $\epsilon$
- 公式: $R(S_{new}, F_{new}) = R(S_{new}, 1) \circ (R(1,1))^* \circ R(1, F_{new})$
- 代入值: $\epsilon \circ (b \cup ab^*a)^* \circ \epsilon$
- 简化: $(b \cup ab^*a)^*$
最终的正则表达式: $(b \cup ab^*a)^*$
语言描述验证:
- 这个DFA接受什么样的语言?
- 从起始/接受状态1开始。可以读任意多个'b',停在1,接受。所以 $b^* \in L$。
- 读一个'a'到状态2,再读一个'a'回到状态1,接受。所以 'aa' $\in L$。
- 在状态2可以读任意多个'b'。所以 $ab^*a \in L$。
- 整个语言是这些部分的任意组合。例如 b 和 aa 组合成 baa。
- $b(ab^*a)b(ab^*a)$ 等。
- 这正是 $(b \cup ab^*a)^*$ 所描述的。
📝 [总结]
通过标准的GNFA状态消除法,我们成功地将给定的DFA转换为了等价的正则表达式。该方法的核心是通过迭代地移除状态,并将穿过该状态的路径用一个更复杂的正则表达式来代替,最终将一个复杂的图简化为一条从起始状态到接受状态的边,其上的标签就是最终的正则表达式。
5.3 问题 11. 将以下 正则表达式 转换为等价的 NFA
📜 [原文22]
$$
(01)^{*}\left(10^{*} \cup 0\right)
$$
📖 [逐步解释]
这个问题要求我们使用Thompson构造法,将一个正则表达式逐步转换为一个NFA。该方法为每个基本操作(原子、并、连接、星号)定义了标准的NFA组件,然后像搭积木一样把它们组合起来。
正则表达式分解:
这个表达式是两个部分的连接:
- Part A: $(01)^*$
- Part B: $(10^* \cup 0)$
我们分别构造 Part A 和 Part B,然后将它们连接起来。
第一步: 构造 Part A: $(01)^*$
- 构造 "0" 的 NFA: $q_1 \xrightarrow{0} q_2$
- 构造 "1" 的 NFA: $q_3 \xrightarrow{1} q_4$
- 构造 "01" (连接): 将 "0" 的接受态 $q_2$ 和 "1" 的起始态 $q_3$ 合并 (或用ε-转移)。得到 $q_1 \xrightarrow{0} q_2 \xrightarrow{1} q_4$。
- 构造 $(01)^*$ (星号): 对 "01" 的NFA应用星号构造法。
- 创建新的起始态 $A_{start}$ 和接受态 $A_{final}$。
- $A_{start} \xrightarrow{\epsilon} A_{final}$ (处理空串)。
- $A_{start} \xrightarrow{\epsilon} q_1$ (进入循环)。
- $q_4 \xrightarrow{\epsilon} A_{final}$ (退出循环)。
- $q_4 \xrightarrow{\epsilon} q_1$ (循环反馈)。
- (简化版构造) 新建一个起始/接受状态 $A_{start}$。
- $A_{start} \xrightarrow{\epsilon} q_1$。
- $q_4 \xrightarrow{\epsilon} A_{start}$。
- $A_{start}$ 是接受状态。
- 我们用这个简化版,它有状态 {$A_{start}, q_1, q_2, q_4$}。起始是 $A_{start}$,接受是 $A_{start}$。转移:$A_{start}\xrightarrow{\epsilon}q_1$, $q_1\xrightarrow{0}q_2$, $q_2\xrightarrow{1}q_4$, $q_4\xrightarrow{\epsilon}A_{start}$。
第二步: 构造 Part B: $(10^* \cup 0)$
Part B 是一个并集。
- 构造上分支: $10^*$
- 构造 "0" 的 NFA: $q_5 \xrightarrow{0} q_6$。
- 构造 $0^*$ (星号): 创建新起始/接受态 $S_0$。$S_0 \xrightarrow{\epsilon} q_5$, $q_6 \xrightarrow{\epsilon} S_0$。
- 构造 "1" 的 NFA: $q_7 \xrightarrow{1} q_8$。
- 构造 $10^*$ (连接): 将 "1" 的NFA和 $0^*$ 的NFA连接。$q_7 \xrightarrow{1} q_8 \xrightarrow{\epsilon} S_0$。$q_7$是起始, $S_0$和$q_6$相关的接受状态是最终接受状态。整个 $10^*$ 的NFA可以简化为:$q_7 \xrightarrow{1} q_8$,然后 $q_8$ 上有一个消耗'0'的自循环。我们用Thompson标准构造:$q_7 \xrightarrow{1} q_8$, $q_8 \xrightarrow{\epsilon} q_{s0}$, $q_{s0} \xrightarrow{\epsilon} q_5, q_6 \xrightarrow{\epsilon} q_{s0}, q_{s0} \xrightarrow{\epsilon} q_{sF}$。这太复杂了。
- 我们直接画出 $10^*$ 的NFA:$B_{1s} \xrightarrow{1} B_{1m}$,然后 $B_{1m}$ 上有 $B_{1m} \xrightarrow{0} B_{1m}$ 的自循环。接受状态是 $B_{1m}$。
- 构造下分支: "0"
- $B_{2s} \xrightarrow{0} B_{2f}$。$B_{2f}$是接受状态。
- 构造 $(10^* \cup 0)$ (并集):
- 创建新起始态 $B_{start}$ 和新接受态 $B_{final}$。
- $B_{start} \xrightarrow{\epsilon} B_{1s}$ (上分支起始)。
- $B_{start} \xrightarrow{\epsilon} B_{2s}$ (下分支起始)。
- $B_{1m} \xrightarrow{\epsilon} B_{final}$ (上分支结束)。
- $B_{2f} \xrightarrow{\epsilon} B_{final}$ (下分支结束)。
第三步: 构造最终 NFA (连接 Part A 和 Part B)
- 将 Part A 的 NFA 和 Part B 的 NFA 连接起来。
- Part A 的接受状态(在我们的简化版里是 $A_{start}$)通过 ε-转移 连接到 Part B 的起始状态 $B_{start}$。
- 最终机器的起始状态是 Part A 的起始状态 $A_{start}$。
- 最终机器的接受状态是 Part B 的接受状态 $B_{final}$。
- 连接: $A_{start} \xrightarrow{\epsilon} B_{start}$。
- 同时,因为 $A_{start}$ 本身是 Part A 的接受状态,所以这个连接是正确的。
最终的NFA图:
- 画出 Part A ($(01)^*$)的NFA,它是一个环。
- 画出 Part B ($(10^* \cup 0)$)的NFA,它是一个分叉结构。
- 从 Part A 的接受状态(即其起始状态)画一条 ε-转移 到 Part B 的起始状态。
- 标记最终NFA的起始(Part A的起始)和接受(Part B的接受)状态。
📝 [总结]
我们严格遵循了Thompson构造法,将复杂的正则表达式分解为基本组件,为每个组件构建标准的NFA模块,然后通过连接和并集的标准构造法将这些模块“焊接”在一起,最终形成了一个完整、等价的NFA。这个过程是纯机械的,保证了结果的正确性。
66 行间公式索引
1. 问题1(b)的语言定义:
$$
L=\left\{w \in\{0,1\}^{*} \mid w\right. \text{ 恰好有两个 0 或有偶数个 1}\}
$$
这个公式定义了一个语言L,其中的字符串w要么恰好包含两个'0',要么包含偶数个'1'。
2. 问题4的语言定义:
$$
L=\left\{w \in\{0,1\}^{*} \mid w\right. \text{ 有偶数个 0,或者 } w \text{ 没有两个连续的 } \left.1^{\prime} s\right\}
$$
这个公式定义了一个语言L,其中的字符串w要么包含偶数个'0',要么不包含连续的两个'1'。
3. 问题5中L1的语言定义:
$$
L_{1}=\left\{w \in\{0,1\}^{*} \mid w\right. \text{ 有奇数个 } 1^{\prime} s \text{ 或恰好有两个 } 0\}
$$
这个公式定义了语言L1,其字符串w或者有奇数个'1',或者恰好有两个'0'。
4. 问题5中L2的语言定义:
$$
L_{2}=\left\{w \in\{0,1\}^{*} \mid w\right. \text{ 以 101 结尾}\}
$$
这个公式定义了语言L2,其字符串w必须以子串"101"结尾。
5. 问题7(a)的逆转运算定义:
$$
L^{R}:=\left\{w^{R} \mid w \in L\right\}
$$
这个公式定义了语言L的逆转操作,即L中所有字符串w翻转后形成的新语言。
6. 问题7(b)的min运算定义:
$$
\min (L)=\left\{w \in \Sigma^{*} \mid w\right. \text{ 在 } L \text{ 中且 } w \text{ 的任何 真前缀 都不在 L 中}\}
$$
这个公式定义了min(L)语言,它包含L中所有自身被L接受、但其任何更短的前缀都不被L接受的字符串。
7. 问题11的正则表达式:
$$
(01)^{*}\left(10^{*} \cup 0\right)
$$
这是一个正则表达式,描述了一个语言:由零或多个"01"串联,后面再跟上一个"1"和零或多个"0",或者跟上一个单独的"0"。
[[END_OF_RESPONSE]]所有解释内容已全部输出完毕。